1
土木工程材料(第4版)
1.16.1 实验1 土木工程材料基本物理性质试验
实验1 土木工程材料基本物理性质试验

土木工程材料基本性质的试验项目,不同种类的材料根据其用途和要求而定。经常试验的项目有如下几项:

(1)密度

试验以普通黏土砖或石材为例。

1)主要仪器

李氏瓶(如实验图1.1所示),天平(称量500 g、感量0.01 g),筛子(孔径0.2 mm或900孔/cm2),烘箱,干燥器,温度计等。

2)试验

①将试样磨细、过筛后放入烘箱内,以105~110℃的温度烘至恒重、然后放入干燥器中,冷却至室温备用。

②在李氏瓶中注入对试样不起化学反应的液体至突颈下部,记下刻度数。将李氏瓶放在盛水的容器中,试验过程中水温为20℃。

③用天平称取60~90 g试样。用小勺和漏斗将试样徐徐送入李氏瓶内(不能大量倾倒,那样会妨碍李氏瓶中的空气排出或使咽喉部位堵塞),至液面上升接近20 mL的刻度。称剩下的试样,计算送入李氏瓶中试样的质量m(g)。

④将注入试样后的李氏瓶中液面的读数,减去未注前的读数,得出试样的绝对体积V(cm3)。

3)结果计算

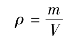
①按下式计算密度ρ(精确至0.01 g/cm3),即

实验图1.1 李氏瓶

②按规定以两次试验结果的平均值表示,两次相差不应大于0.02 g/cm3,否则重做试验。

(2)体积密度

1)主要仪器

天平(称量1 000g、感量0.1 g)、游标卡尺(精度0.1 mm)、烘箱等,如果试样较大时,可用台秤(称量10 kg、感量50 g)、直尺(精度为1 mm)。

2)试验

①将试件放入烘箱内,以105~110℃的温度烘至恒重,然后放入干燥器中,冷却至室温备用。

②用游标卡尺量出试件尺寸。

当试件为正方体或平行六面体时,以长、宽、高(a、b、c)各方向量上、中、下三处,各取三次平均值,计算体积:

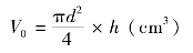
当试件为圆柱体时,以两个互相垂直的方向量直径,各方向量上、中、下三处,取六次的平均直径d,以互相垂直的两直径与圆周交界的四点上量高度,取四次的平均高度d。计算体积:

③用天平或台秤称质量m(g)。

3)结果计算

①按下式计算体积密度ρ′,即

②按规定以五次试验结果的平均值表示。

(3)孔隙率

将密度和表观密度代入下式计算孔隙率P(精确至0.01%),即

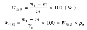
(4)吸水率试验

1)主要仪器

天平(称量1 000 g、感量0.1 g)、游标卡尺(精度0.1 mm)、烘箱、玻璃(或金属)盆等。

2)试验

将试件放入烘箱中,以105~110℃的温度烘至恒重,然后放入干燥器中,冷却至室温备用。

①用天平称其质量m(g),将试件放入金属盆或玻璃盆中,在盆底可放些垫条,如玻璃管或玻璃杆使试件底面与盆底不致紧贴,试件之间相隔1~2 cm,使水能够自由进入。

②加水至试件高的1/3处;过24 h后,再加水至高度的2/3处;再过24 h,又再加满水至试件上表面2 cm以上,再放置24 h。逐次加水能使试件孔隙中的空气逐渐逸出。

③取出试件,抹去表面水分,称其质量m1(g)。

④为检查试件是否吸水饱和,可将试件再浸入水中至高度的3/4处,过24 h重新称量,两次质量之差不得超过1%。

3)结果计算

按下列公式计算吸水率W,即

按规定以三个试件吸水率的平均值表示(精确至0.01%)。