1
土木工程材料(第4版)
1.15.1.4 11.1.4 沥青混合料
11.1.4 沥青混合料

沥青混合料是沥青混凝土混合料和沥青碎石混合料的总称。沥青混凝土混合料是由适当比例的粗骨料、细骨料及填料与沥青在严格控制条件下拌和、压实后剩余空隙率小于10%的混合料,简称沥青混凝土;沥青碎石混合料是由适当比例的粗骨料、细骨料及少量填料(或不加填料)与沥青拌和、压实后剩余空隙率在10%以上的混合料,简称沥青碎石。沥青混合料主要用于道路工程铺筑路面。

(1)分类

沥青混合料的分类可以从不同角度进行,下面介绍常用的几种分类方式:

1)按胶结材料种类分

按胶结料种类分为石油沥青混合料和煤沥青混合料。

2)按施工温度分

按沥青混合料拌制和摊铺温度分为:

①热拌热铺混合料,即沥青与矿质骨料(简称矿料)在热态下拌和,热态下铺筑。

②常温沥青混合料,即采用乳化沥青或稀释沥青与矿料在常温下拌和、铺筑。

3)按骨料级配类型分

①连续级配沥青混合料,即混合料中的矿质骨料是按级配原则,从大到小各级粒径按比例搭配组成的。

②间断级配沥青混合料,即骨料级配组成中缺少一个或若干个粒径档次。

4)按混合料密实度分

①密级配沥青混合料,指连续级配、相互嵌挤密实的骨料与沥青拌和、压实后剩余空隙率小于10%的混合料。

②开级配沥青混合料,指级配主要由粗骨料组成,细骨料较少,骨料相互拨开,压实后剩余空隙率大于15%的开式混合料。

③半开级配沥青混合料,指由粗、细骨料及少量填料(或不加填料)与沥青拌和、压实后剩余空隙率在10%~15%的半开式混合料,也称为沥青碎石混合料。

5)按骨料最大粒径分

①粗粒式沥青混合料,指骨料最大粒径为26.5 mm或31.5 mm的混合料。

②中粒式沥青混合料,指骨料最大粒径为16 mm或19 mm的混合料。

③细粒式沥青混合料,指骨料最大粒径为9.5 mm或13.2 mm的混合料。

④砂粒式沥青混合料,指骨料最大粒径等于或小于4.75 mm的混合料。

(2)沥青混合料组成材料及结构

1)组成材料

沥青混合料的组成材料有沥青、粗骨料、细骨料和填料。

①沥青:应根据当地气候条件、施工季节气温、路面类型、施工方法等具体情况按表11.4选用沥青标号。煤沥青不宜用于热拌沥青混合料路面的表面层。

表11.4 热拌沥青混合料用石油沥青标号的选用(《沥青路面施工及验收规范》GB 50092—1996)

②粗骨料:所用粗骨料包括碎石、破碎砾石和矿渣等。粗骨料应该洁净、干燥、无风化、无杂质。压碎值和磨耗率等力学性能指标应满足规范要求。碱性的矿料与沥青黏结时,会发生化学吸附过程,在矿料与沥青的接触面上形成新的化合物,使黏结力增强,而酸性矿料表面与沥青不会形成化学吸附,故黏结力较低。为保证与沥青的黏附性符合有关规范要求,应采取下列抗剥离措施:

a.采用干燥的磨细消石灰或生石灰粉、水泥作为填料的一部分,其用量为矿料总量的1%~2%。

b.在沥青中掺加抗剥离剂。

c.将粗骨料用石灰浆处理后使用。

③细骨料:可采用天然砂、机制砂及石屑细骨料应该洁净、干燥、无风化、无杂质,有适当的颗粒组成,其质量应符合规范要求,并与沥青有良好的黏结能力。与沥青黏结性能较差的天然砂及用花岗石、石英岩等酸性石料破碎的机制砂或石屑,不宜用于高速公路、一级公路、城市快速路、主干路沥青面层。必须使用时,应采用抗剥离措施。

④填料:在沥青混合料中起填充作用的粒径小于0.075mm的矿质粉末称为填料。填料宜采用石灰岩或岩浆岩中的强基性岩石(憎水性石料)经磨细得到的矿粉,原石料中的泥土杂质应除去。矿粉要求干燥、洁净,其质量符合规范要求。当采用水泥、石灰、粉煤灰作填料时,其用量不宜超过矿料总量的2%。

2)组成结构

沥青混合料的组成结构有以下三类:

①悬浮-密实结构。采用连续型密级配骨料与沥青组成的混合料,经过多级密垛虽然可以获得很大的密实度,但是各级骨料均被次级骨料所隔开,不能直接靠拢形成骨架,有如悬浮于次级骨料及沥青胶浆之间,其组成结构如图11.1(a)所示。这种结构的沥青混合料,虽然黏聚力较强,但内摩擦角较小,因此其高温稳定性差。

②骨架-空隙结构。采用连续型开级配骨料与沥青组成的沥青混合料,粗骨料所占比例较高,细骨料则很少,甚至没有。粗骨料可以相互靠拢形成骨架,但由于细骨料过少,不足以填满粗骨料之间的空隙,因此形成骨架-空隙结构,如图11.1(b)所示。这种结构的混合料具有较大的内摩擦角,但黏结力较弱。

③密实-骨架结构。采用间断型密级配骨料与沥青组成的沥青混合料,由于缺少中间粒径的骨料,较多的粗骨料可以形成空间骨架,同时又有相当数量的细骨料可将骨架的空隙填满,如图11.1(c)所示。这种结构不仅具有较强的黏结力,内摩擦角也较大,因此组合料的抗剪强度较高。

图11.1 三种典型沥青混合料结构组成示意图

(3)沥青混合料的技术性质

沥青混合料构筑的路面除了承受汽车等荷载的反复作用外,同时还要受到各种自然因素的影响,为了保证路面的安全性、舒适性、快速及耐久,沥青混合料必须满足下列技术要求。

1)高温稳定性

沥青路面在高温时,由于沥青混合料的抗剪强度不足或塑性变形过大会产生推挤、拥包等破坏。因此,高温稳定性是沥青混合料的一个重要的技术性质。

沥青混合料高温稳定性是指在夏季高温(通常取60℃)条件下,经车辆荷载反复作用后不产生车辙和波浪等病害的性能。

我国现行国家标准《沥青路面施工与验收规范》(GB 50092—1996)规定,采用马歇尔稳定度试验来评价沥青混合料的高温稳定性,对于高速公路、一级公路和城市快速路、主干路沥青路面的上面层和中面层的沥青混合料,还应通过动稳定度试验以检验其抗车辙能力。

①马歇尔稳定度试验

该试验主要测定马歇尔稳定度和流值。

马歇尔稳定度是指标准尺寸试件在规定温度和加荷速度下,在马歇尔试验仪中最大的破坏荷载(kN);流值是达到最大破坏荷载时试件的垂直变形(以0.1 mm计)。

②车辙试验

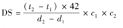
目前的方法是用标准成型方法,制成300 mm×300 mm×500 mm的沥青混合料试件,在60℃下(根据需要,在寒冷地区,也可采用45℃或其他温度,但应在报告中注明),以一定荷载的橡胶轮(轮压为0.7 MPa)在同一轨迹上做一定时间的反复行走,测定其在变形稳定期每增加1 mm变形的碾压次数,即动稳定度,(次/mm)。

式中:DS——沥青混合料的动稳定度,次/mm;

d1——时间t1(一般为45 min)时的变形量,mm;

d2——时间t2(一般为60 min)时的变形量,mm;

42——每分钟行走次数,次/min;

c1、c2——试验机、试样的修正系数。

2)低温抗裂性

沥青路面在低温下的破坏主要是由于沥青混合料的抗拉强度不足或变形能力较差而出现低温收缩开裂。低温抗裂性的指标,目前尚处于研究阶段,未列入技术标准。现在普遍采用的方法是测定沥青混合料的低温劲度和温度收缩系数,计算低温收缩时在路面中所出现的温度应力与沥青混合料的抗拉强度对比,来预估沥青路面的开裂温度。

3)耐久性

沥青混合料的耐久性直接关系到沥青路面的使用年限。影响沥青混合料耐久性的因素,除了沥青的化学性质、矿料的矿物成分外,沥青混合料的空隙率、沥青用量也是重要的影响因素。

从耐久性的角度出发,沥青混合料的空隙率应尽量小,以防止水和阳光中紫外线对沥青的老化作用。但从沥青混合料的高温稳定性考虑,空隙率又应大一些,以备夏季沥青材料膨胀。从两个方面考虑,一般沥青混凝土应留有3%~10%的空隙。

沥青用量与路面耐久性也有很大关系。沥青用量较少时,沥青膜变薄,混合料的延伸能力降低,脆性增加。同时,如果沥青用量偏少,将使混合料空隙率增大,沥青膜暴露较多,加速沥青老化,而且增大了渗水率,增强了水对沥青的剥落作用,使沥青与矿料的黏附力降低。而沥青用量过多会使混合料的内摩阻力显著降低,黏结力下降,从而降低了混合料的抗剪强度。因此,需要确定一个沥青最佳用量,通常以马歇尔稳定度试验来确定。

我国现行规范采用空隙率、饱和度和残留稳定度等指标来表征沥青混合料耐久性。

4)抗滑性

为保证汽车安全快速行驶,要求沥青路面具有一定的抗滑性。路面表层矿料的抗滑性对路面的抗滑性有直接的贡献。我国现行国家标准(GB 50092—1996)对抗滑层骨料有磨光值、道瑞磨耗值和冲击值三项指标要求。高速公路的抗滑层骨料一般选用抗滑性能好的玄武岩、安山岩等材料。沥青用量过多对路面抗滑性不利,沥青含蜡量高对路面抗滑性也有明显的不利影响。

5)施工和易性

影响沥青混合料施工和易性的主要因素是矿料级配。若粗细骨料的颗粒大小差距过大,缺乏中间粒径,混合料容易产生离析;若细料太少,沥青层不容易均匀地分布在粗颗粒表面,反之,细料过多则使拌和困难。