1
土木工程材料(第4版)
1.15.1.1 11.1.1 石油沥青
11.1.1 石油沥青

石油沥青是石油原油经蒸馏提炼出各种轻质油(如汽油、柴油等)及润滑油后的残留物,再经加工而得的产品,颜色为褐色或黑褐色。采用不同产地的原油及不同的提炼加工方式,可以得到组成、性质各异的多种石油沥青品种。按用途不同将石油沥青分为道路石油沥青、建筑石油沥青、防水、防潮石油沥青和普通石油沥青。

(1)石油沥青的组分

由于沥青的化学组成十分复杂,对组成进行分析很困难,且化学组成并不能反映其性质的差异,所以一般不作沥青的化学分析,而从使用角度将沥青中化学成分及物理力学性质相近的成分划分为若干个组,称之为组分(或组丛)。各组分含量的多少与沥青的技术性质有着直接的关系。石油沥青的组分简介如下:

1)油分

油分为淡黄色至红褐色的油状液体,是沥青中分子量最小、密度最小的组分。石油沥青中油分的含量为40%~60%。油分赋予沥青以流动性。

2)树脂

树脂又称沥青脂胶,为黄色至黑褐色黏稠状物质(半固体),分子量比油分大。石油沥青中脂胶的含量为15%~30%,沥青脂胶使沥青具有良好的塑性和黏性。

3)地沥青质

地沥青质为深褐色至黑色固态无定形物质(固体粉末),分子量比树脂更大。地沥青质是决定石油沥青温度敏感性、黏性的重要组分,含量在10%~30%。其含量越高,沥青的温度敏感性越小,软化点越高,黏性越大,也越硬脆。

此外,石油沥青中还含有2%~3%的沥青碳和似碳物,呈无定形黑色固体粉末状,在石油沥青组分中分子量最大,它会降低石油沥青的黏结力。石油沥青中还含有蜡。蜡也会降低石油沥青的黏结力和塑性,同时对温度特别敏感,即温度稳定性差,故蜡是石油沥青的有害成分。

(2)石油沥青的技术性质

1)黏滞性

黏滞性又称黏性或稠度,它所反映的是沥青材料内部阻碍其相对流动和抵抗剪切变形的一种特性,也是沥青材料软硬、稀稠程度的表征。黏滞性的大小与组分及温度有关,若地沥青质含量较高,又有适量树脂,而油分含量较少时,则黏滞性较大;在一定温度范围内,当温度升高时,则黏滞性随之降低,反之则增大。

沥青黏滞性大小的表示有绝对黏度和相对黏度(条件黏度)两种。绝对黏度的测定方法因材而异,较为复杂,不便于工程上应用,工程上常用相对黏度来表示。测定相对黏度的主要方法有标准黏度法和针入度法。黏稠石油沥青(固体或半固体)的相对黏度是用针入度仪测定的针入度来表示。针入度值越小,表示黏度越大。

黏稠石油沥青的针入度是在规定温度(25±0.1)℃条件下,以规定质量的标准针,经历规定时间5 s贯入试样中的深度,以1/10 mm为单位表示。

对于液体石油沥青或较稀的石油沥青的相对黏度,可用标准黏度计测定的标准黏度表示。标准黏度是在规定温度(20℃、25℃、30℃或60℃)、规定直径(3 mm、5 mm或10 mm)的孔口流出50 cm3沥青所需的时间秒数,用符号表示,d为流孔直径,t为试样温度,T为流出50 cm3沥青所需的时间。2)塑性

塑性是石油沥青在外力作用下产生变形而不破坏,除去外力后,仍有保持变形后的形状的性质。

塑性好的沥青适应变形的能力强,在使用中能随建筑结构的变形而变形,沥青层保持完整而不开裂。当受到冲击、振动荷载时,能吸收一定的能量而不破坏,还能减少摩擦产生的噪声。故塑性好的沥青不仅能配制成性能良好的柔性防水材料,也是优良的道路路面材料。

石油沥青的塑性用延度来表示。延度越大,塑性越好。延度测定是把沥青制成“∞”形标准试件,置于延度仪内(25±0.5)℃水中,以(5±0.25)cm/min的速度拉伸,用拉断时的伸长度(cm)表示。

3)温度敏感性

温度敏感性是指石油沥青的黏滞性和塑性随温度的升降而变化的性能。由于沥青是一种高分子非晶态热塑性物质,故没有固定的熔点。当温度升高时,沥青由固态或半固态(或称高弹态)逐渐软化,内部分子间产生相对滑动,即产生黏性流动,这种状态称为黏流态。反之,当温度降低时,沥青从黏流态逐渐凝固为固态,甚至变硬变脆,成为玻璃态。

沥青的温度敏感性大,则其黏滞性和塑性随温度的变化幅度就大。而工程中希望沥青材料具有较高的温度稳定性,因此,实际应用中,一是选用温度敏感性较小的沥青,二是通过加入滑石粉、石灰石粉等矿物填料,来减小其温度敏感性。

温度敏感性以软化点指标表示。由于沥青材料从固态至液态有一定的变态间隔,故规定以其中某一状态作为从固态转变到黏流态的起点,相应的温度称为沥青的软化点。

沥青软化点一般采用环球法测定。把沥青试样装入规定尺寸的铜环内,上置一直径为9.5 mm、质量为(3.50±0.05)g的标准钢球,浸入水或甘油中,以规定的速度升温(5℃/min),当沥青软化下垂至规定距离(25.0 mm)时的温度即为软化点,以℃计。

沥青在低温时常表现为脆性破坏,因此,沥青的脆点是反映其温度敏感性的另一个指标,它是指沥青从高弹态转变到玻璃态过程中的某一规定状态的相应温度。通常采用的费拉斯(Frass)脆点是涂于金属片的试样薄膜在特定条件下,因被冷却和弯曲而出现裂纹时的温度,以℃表示。该指标主要反映沥青的低温变形能力。寒冷地区应考虑所用沥青的脆点。沥青的软化点越高,脆点越低,其温度敏感性越小。

4)大气稳定性

大气稳定性是指石油沥青在热、阳光、氧气和潮湿等因素的长期综合作用下抵抗老化的性能,即沥青材料的耐久性。

热可以加速沥青分子的运动,引起轻质油分挥发,并促进化学反应进行,导致沥青技术性能降低。尤其是在施工加热(160~180℃)时,由于有空气中的氧参与共同作用,会使沥青性质产生严重的劣化。因此,施工中加热温度不能过高,时间不能过长。

日光(特别是紫外线)对沥青照射后,会产生光化学反应,促使氧化速度加快。

空气中的氧在加热的条件下,会促使沥青组分对其吸收,并产生脱氧作用,使沥青组分发生递变。

水与光、氧、热共同作用时能起催化剂的作用。

在以上因素的综合作用下,沥青中各组分将不断发生递变,低分子化合物将逐渐转变为高分子物质,即油分和树脂逐渐减少,而地沥青质逐渐增多。因此,石油沥青随着时间的推移,流动性和塑性会逐渐减小,硬脆性会逐渐增大,直至脆裂。这个过程称为石油沥青的“老化”。大气稳定性好的石油沥青抗老化性能强。

石油沥青的大气稳定性以加热蒸发损失百分率和加热前后针入度比来评定。其测定方法是:先测沥青试样的质量及其针入度,然后将试样置于烘箱中,在160℃下加热蒸发5 h,待冷却后再测定其质量及针入度。计算出蒸发损失质量占原质量的百分数,称为蒸发损失百分率;标出蒸发后针入度占原针入度的百分数,称为蒸发后针入度比。蒸发损失百分率越小及蒸发后针入度比越大,则表示沥青的大气稳定性越好,即老化越慢。

以上4种性质是石油沥青材料的重要技术性质,针入度、延度及软化点等3项指标是划分石油沥青牌号的依据。此外,还应了解石油沥青的其他性质(如溶解度、闪点及燃点),以评定沥青的品质和保证施工安全。

溶解度是指石油沥青在有机溶剂(如三氯乙烯、四氯化碳等)中溶解的百分率,以表示石油沥青中有效物质的含量,即纯净程度。

闪点(也称闪火点)是指加热沥青至挥发出的可燃气体与空气的混合物在规定条件下与火焰接触,初次闪火(有蓝色闪光)时的沥青温度(℃)。

燃点(也称着火点)指加热沥青产生的气体与空气的混合物,与火焰接触能持续燃烧5 s以上,此时沥青的温度即为燃点(℃)。燃点温度约比闪点温度约高10℃。

闪点和燃点的高低表明沥青引起火灾或爆炸的可能性大小,在运输、贮存和加热使用时应予以注意。沥青加热温度不允许超过闪点,更不能达到燃点。例如建筑石油沥青闪点约230℃,在熬制时一般温度为185~200℃,为安全起见,沥青还应与火焰隔离。

(3)石油沥青的技术标准及选用

1)石油沥青的技术标准

表11.1、表11.2列出了各品种石油沥青的技术标准。由表11.1可看出,道路石油沥青、建筑石油沥青都是按针入度指标划分牌号。同一品种石油沥青材料中,牌号越小,沥青越硬;牌号越大,沥青越软。同时随着牌号增大,沥青的黏性减小(针入度增大),塑性增大(延度增大),温度敏感性增大(软化点降低)。

防水、防潮石油沥青按针入度指数划分牌号,还增加了保证低温变形性能的脆点指标。随着牌号增大,其针入度指数增大,温度敏感性减小,脆点降低,应用温度范围扩大。

表11.1 各品种石油沥青的技术标准

表11.2 重交通道路石油沥青的技术要求(GB/T 15180—2010)

2)石油沥青的选用

选用沥青材料时,应根据工程性质(道路、房屋、防腐等)及当地气候条件,所处工程部位(屋面或地下等)来选用不同品种和牌号的沥青。

道路石油沥青牌号较多,主要用于道路路面或车间地面等工程。用于二级以下公路和城市次干路、支路路面,应选用中、轻交通量道路石油沥青;用于高速公路、一级公路和城市快速路、主干道路路面,应选用重交通量道路石油沥青。一般拌制成沥青混合料使用。道路石油沥青还可作密封材料、黏结剂及沥青涂料等。

建筑石油沥青黏性大,耐热性较好,且塑性较好,可用于制造油毡、油纸、防水涂料和沥青胶,主要用于屋面及地下防水、沟槽防水、防腐蚀及管道防腐等工程。一般屋面防水用沥青材料的软化点应比当地夏季屋面最高温度高20℃以上,以避免夏季沥青软化流淌,但软化点也不宜过高,否则冬季易发生低温冷脆开裂。

防水、防潮石油沥青的温度稳定性较好,适合作油毡的涂覆材料及建筑屋面和地下防水的黏结材料。牌号从3号到5号,沥青温度敏感性逐渐变小。6号沥青质地较软,温度敏感性也小,主要适用于寒冷地区的屋面及其他防水防潮工程。

普通石油沥青含蜡较多,一般含量大于5%,有的高达20%以上(称多蜡石油沥青),故温度敏感性较大。因此,在工程中只能与其他种类石油沥青掺配使用,而不宜在工程中单独使用。

3)石油沥青的掺配与稀释

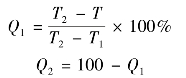
当不能获得合适牌号的沥青时,可采用两种牌号的石油沥青掺配使用,但不能与煤沥青相掺。两种石油沥青的掺配比例可用下式估算:

式中:Q1——较软石油沥青用量,%;

Q2——较硬石油沥青用量,%;

T——掺配后的石油沥青软化点,℃;

T1——较软石油沥青软化点,℃;

T2——较硬石油沥青软化点,℃。

以估算的掺配比例和其邻近的比例(±5%~±10%)进行试配。将沥青混合熬制均匀,测定其软化点,然后绘制掺配比-软化点关系曲线,即可从曲线上确定所要求的掺配比例,也可采用针入度指标按上法估算及试配。

当沥青过于黏稠影响使用时,可以加入溶剂进行稀释,但必须采用同一产源的油料作稀释剂。例如,石油沥青采用汽油、煤油、柴油等石油产品系列的轻质油料作稀释剂,而煤沥青则采用煤焦油、重油、蒽油等煤产品系列的油料作稀释剂。