1
土木工程材料(第4版)
1.9.8.4 5.8.4 混凝土的配制强度
5.8.4 混凝土的配制强度

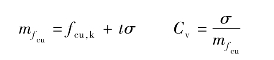
根据强度保证率的含义,如果所配制混凝土的强度平均值与混凝土的设计强度等级相等,则其强度保证率只有50%。因此,为了使混凝土达到所要求的强度保证率,必须使混凝土配制强度高于设计强度等级。

fcu,0=mfcu

式中:fcu,0——配制强度,MPa;

fcu,k——混凝土设计强度等级,MPa。

根据强度保证率的要求及施工控制水平,确定出t和σ或Cv值,用上式即可计算出混凝土的配制强度,从上式可以看出,若满足相同的强度保证率,施工控制水平愈差者,则混凝土配制强度越高,不利于节约水泥。

《混凝土结构工程施工规范》(GB 50666—2011)中规定,混凝土设计要求的强度保证率P为95%,查表5.20得t=1.654,则

式中的σ值可根据施工单位以往的生产质量水平进行测算,如果施工单位无历史统计资料时,σ值也可按表5.21选定。

表5.21 标准差σ值