企业突发环境事件风险评估指南(试行)
1 适用范围
本指南规定了企业突发环境事件风险(以下简称环境风险)评估的内容、程序和方法。
本指南适用于对可能发生突发环境事件的(已建成投产或处于试生产阶段的)企业进行环境风险评估。评估对象为生产、使用、存储或释放涉及(包括生产原料、燃料、产品、中间产品、副产品、催化剂、辅助生产物料、“三废”污染物等)表11突发环境事件风险物质及临界量清单中的化学物质(以下简称环境风险物质)以及其他可能引发突发环境事件的化学物质的企业。
本指南不适用于下列情况的环境风险评估:①涉及核设施与加工放射性物质的单位;②从事危险废物收集、贮存、利用、处置经营活动的单位;③从事危险化学品运输的车辆或单位;④尾矿库;⑤石油天然气开采设施;⑥军事设施;⑦石油天然气长输管道、城镇燃气管道;⑧加油站、加气站;⑨港口、码头。
2 规范性文件
本指南内容引用了下列文件中的条款。凡是不注日期的引用文件,其有效版本适用于本指南。
2.1 法律法规、规章、指导性文件
《环境保护法》;
《突发事件应对法》;
《安全生产法》;
《消防法》;
《危险化学品安全管理条例》;
《国务院关于加强环境保护重点工作的意见》(国发〔2011〕35号);
《突发事件应急预案管理办法》(国办发〔2013〕101号);
《突发环境事件信息报告办法》(环境保护部令第17号);
《危险化学品重大危险源监督管理暂行规定》(安全监管总局令第40号);
《危险化学品生产企业安全生产许可证实施办法》(安全监管总局令第41号);
《危险化学品建设项目安全监督管理办法》(安全监管总局令第45号);
《突发环境事件应急预案管理暂行办法》(环发〔2010〕113号);
《化学品环境风险防控“十二五”规划》(环发〔2013〕20号);
《建设项目环境影响评价分类管理名录(2008年版)》;
《产业结构调整指导目录》(最新年本);
《重点监管危险化工工艺目录》(2013年完整版);
《关于督促化工企业切实做好几项安全环保重点工作的紧急通知》(安监总危化〔2006〕10号)。
2.2 标准、技术规范
《危险化学品重大危险源辨识》(GB18218-2009);
《化工建设项目环境保护设计规范》(GB50483-2009);
《建筑设计防火规范》(GB50016-2006);
《石油化工企业设计防火规范》(GB50160-2008);
《储罐区防火堤设计规范》(GB50351-2005);
《化学品分类、警示标签和警示性说明安全规程》(GB20576-GB20602);
《石油化工企业给水排水系统设计规范》(SH3015-2003);
《石油化工污水处理设计规范》(GB50747-2012);
《环境影响评价技术导则 地下水环境》(HJ610-2011);
《建设项目环境风险评价技术导则》(HJ/T169-2004);
《废水排放去向代码》(HJ 523-2009);
《固定式压力容器安全技术监察规程》(TSG R0004-2009);
《化学品毒性鉴定技术规范》(卫监督发〔2005〕272号);
《事故状态下水体污染的预防与控制技术要求》(中国石油企业标准Q/SY1190-2013);
《水体污染事故风险预防与控制措施运行管理要求》(中国石油企业标准Q/SY1310-2010)。
2.3 其他参考资料
Emergency Response Guidebook 2012;
(网址http://wwwapps.tc.gc.ca/saf-sec-sur/3/erg-gmu/erg/ergmenu.aspx)
化学品安全技术说明书(Material Safety Data Sheet)。
3 术语与定义
下列术语和定义适用于本指南。
3.1 突发环境事件 突发环境事件是指突然发生,造成或可能造成环境污染或生态破坏,危及人民群众生命财产安全,影响社会公共秩序,需要采取紧急措施予以应对的事件。
3.2 环境风险 环境风险是指发生突发环境事件的可能性及突发环境事件造成的危害程度。
3.3 突发环境事件风险物质及临界量 突发环境事件风险物质及临界量是指本指南表11规定的某种(类)化学物质及其数量。
3.4 环境风险单元 环境风险单元是指长期或临时生产、加工、使用或储存环境风险物质的一个(套)生产装置、设施或场所或同属一个企业且边缘距离小于500米的几个(套)生产装置、设施或场所。
3.5 环境风险受体 环境风险受体是指在突发环境事件中可能受到危害的企业外部人群,具有一定社会价值或生态环境功能的单位或区域等。
3.6 清净下水 清净下水是指装置区排出的未被污染的废水,如间接冷却水的排水、溢流水等。
3.7 事故排水 事故排水是指事故状态下排出的含有泄漏物,以及施救过程中产生其他物质的生产废水、清净下水、雨水或消防水等。
4 环境风险评估的一般要求
4.1 有下列情形之一的,企业应当及时划定或重新划定本企业环境风险等级,编制或修订本企业的环境风险评估报告:
1)未划定环境风险等级或划定环境风险等级已满三年的。
2)涉及环境风险物质的种类或数量、生产工艺过程与环境风险防范措施或周边可能受影响的环境风险受体发生变化,导致企业环境风险等级变化的。
3)发生突发环境事件并造成环境污染的。
4)有关企业环境风险评估标准或规范性文件发生变化的。
4.2 企业可以自行编制环境风险评估报告,也可以委托相关专业技术服务机构编制。
4.3 新、改、扩建相关项目的环境影响评价报告中的环境风险评价内容,可作为所属企业编制环境风险评估报告的重要内容。
5 环境风险评估的程序
企业环境风险评估,按照资料准备与环境风险识别、可能发生突发环境事件及其后果分析、现有环境风险防控和环境应急管理差距分析、制定完善环境风险防控和应急措施的实施计划与划定突发环境事件风险等级五个步骤实施。
6 环境风险评估的内容
6.1 资料准备与环境风险识别
在收集相关资料的基础上,开展环境风险识别。环境风险识别对象包括:①企业基本信息;②周边环境风险受体;③涉及环境风险物质和数量;④生产工艺;⑤安全生产管理;⑥环境风险单元及现有环境风险防控与应急措施;⑦现有应急资源等。
对上述②至⑥按照10.1至10.3的要求,并综合考虑环境风险企业、环境风险传播途径及环境风险受体进行环境风险识别。制作企业地理位置图、厂区平面布置图、周边环境风险受体分布图,企业雨水、清净下水收集和排放管网图,污水收集和排放管网图以及所有排水最终去向图,并作为评估报告附件。
6.1.1 企业基本信息
列表说明下列内容:
1)单位名称,组织机构代码,法定代表人,单位所在地,中心经度,中心纬度,所属行业类别,建厂年月,最新改扩建年月,主要联系方式,企业规模,厂区面积,从业人数等(如为子公司,还需列明上级公司名称和所属集团公司名称)。
2)地形,地貌(如在泄洪区、河边、坡地),气候类型,年风向玫瑰图,历史上曾经发生过的极端天气情况和自然灾害情况(如地震、台风、泥石流、洪水等)。
3)环境功能区划情况以及最近一年地表水、地下水、大气、土壤环境质量现状。
6.1.2 现有应急资源情况
现有应急资源是指第一时间可以使用的企业内部应急物资、应急装备和应急救援队伍情况,以及企业外部可以请求援助的应急资源,包括与其他组织或单位签订应急救援协议或互救协议情况等。
应急物资主要包括处理、消解和吸收污染物(泄漏物)的各种絮凝剂、吸附剂、中和剂、解毒剂、氧化还原剂等;应急装备主要包括个人防护装备、应急监测能力、应急通信系统、电源(包括应急电源)、照明等。
按应急物资、装备和救援队伍,分别列表说明下列内容:
名称,类型(指物资、装备或队伍),数量(或人数),有效期(指物资),外部供应单位名称,外部供应单位联系人,外部供应单位联系电话等。
6.2 可能发生的突发环境事件及其后果情景分析
6.2.1 收集国内外同类企业突发环境事件资料
列表说明下列内容:
年份日期、地点、装置规模、引发原因、物料泄漏量、影响范围、采取的应急措施、事件损失、事件对环境及人造成的影响等。
6.2.2 提出所有可能发生突发环境事件情景
结合6.2.1的事件情景,列表说明并至少从以下几个方面分析可能引发或次生突发环境事件的最坏情景。
A.火灾、爆炸、泄漏等生产安全事故及可能引起的次生、衍生厂外环境污染及人员伤亡事故(例如,因生产安全事故导致有毒有害气体扩散出厂界,消防水、物料泄漏物及反应生成物,从雨水排口、清净下水排口、污水排口、厂门或围墙排出厂界,污染环境等);
B.环境风险防控设施失灵或非正常操作(如雨水阀门不能正常关闭,化工行业火炬意外灭火);
C.非正常工况(如开、停车等);
D.污染治理设施非正常运行;
E.违法排污;
F.停电、断水、停气等;
G.通信或运输系统故障;
H.各种自然灾害、极端天气或不利气象条件;
I.其他可能的情景。
6.2.3 每种情景源强分析
针对上述6.2.2提出的每种情景进行源强分析,包括释放环境风险物质的种类、物理化学性质、最小和最大释放量、扩散范围、浓度分布、持续时间、危害程度。
有关源强计算方法可参考《建设项目环境风险评价技术导则》(HJ/T169-2004)。
6.2.4 每种情景环境风险物质释放途径、涉及环境风险防控与应急措施、应急资源情况分析
对可能造成地表水、地下水和土壤污染的,分析环境风险物质从释放源头(环境风险单元),经厂界内到厂界外,最终影响到环境风险受体的可能性、释放条件、排放途径,涉及环境风险与应急措施的关键环节,需要应急物资、应急装备和应急救援队伍情况。
对于可能造成大气污染的,依据风向、风速等分析环境风险物质少量泄漏和大量泄漏情况下,白天和夜间可能影响的范围,包括事故发生点周边的紧急隔离距离、事故发生地下风向人员防护距离。
6.2.5 每种情景可能产生的直接、次生和衍生后果分析
根据6.2.3和6.2.4的分析,从地表水、地下水、土壤、大气、人口、财产乃至社会等方面考虑并给出突发环境事件对环境风险受体的影响程度和范围,包括如需要疏散的人口数量,是否影响到饮用水水源地取水,是否造成跨界影响,是否影响生态敏感区生态功能,预估可能发生的突发环境事件级别等。
7 现有环境风险防控与应急措施差距分析
根据6.1和6.2的分析,从以下五个方面对现有环境风险防控与应急措施的完备性、可靠性和有效性进行分析论证,找出差距、问题,提出需要整改的短期、中期和长期项目内容。
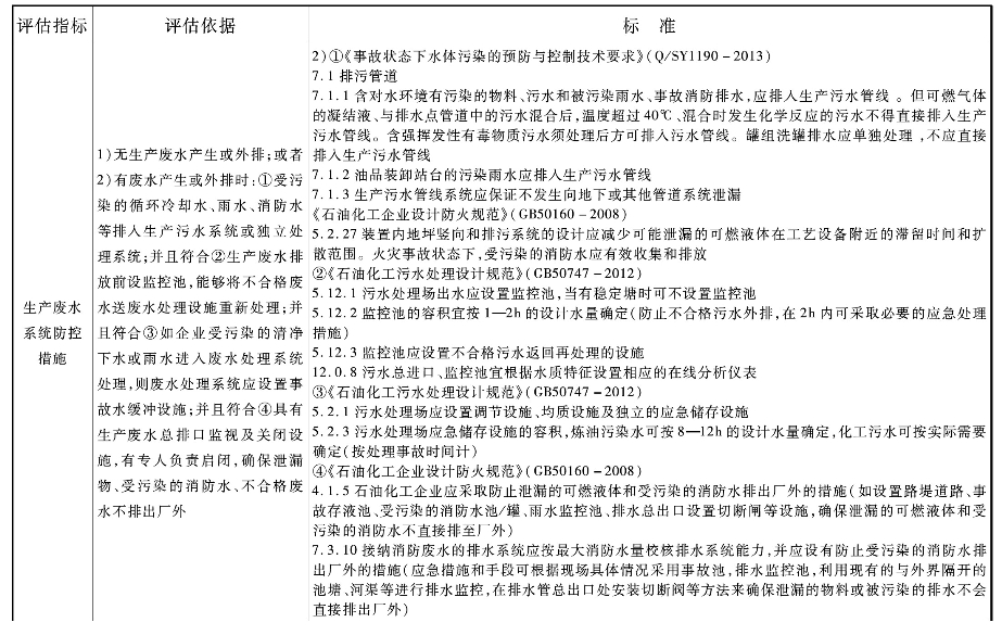
7.1 环境风险管理制度
1)环境风险防控和应急措施制度是否建立,环境风险防控重点岗位的责任人或责任机构是否明确,定期巡检和维护责任制度是否落实。
2)环评及批复文件的各项环境风险防控和应急措施要求是否落实。
3)是否经常对职工开展环境风险和环境应急管理宣传和培训。
4)是否建立突发环境事件信息报告制度,并有效执行。
7.2 环境风险防控与应急措施
1)是否在废气排放口、废水、雨水和清洁下水排放口对可能排出的环境风险物质,按照物质特性、危害,设置监视、控制措施,分析每项措施的管理规定、岗位职责落实情况和措施的有效性。
2)是否采取防止事故排水、污染物等扩散、排出厂界的措施,包括截流措施、事故排水收集措施、清净下水系统防控措施、雨水系统防控措施、生产废水处理系统防控措施等,分析每项措施的管理规定、岗位职责落实情况和措施的有效性。
3)涉及毒性气体的,是否设置毒性气体泄漏紧急处置装置,是否已布置生产区域或厂界毒性气体泄漏监控预警系统,是否有提醒周边公众紧急疏散的措施和手段等,分析每项措施的管理规定、岗位责任落实情况和措施的有效性。
7.3 环境应急资源
1)是否配备必要的应急物资和应急装备(包括应急监测)。
2)是否已设置专职或兼职人员组成的应急救援队伍。
3)是否与其他组织或单位签订应急救援协议或互救协议(包括应急物资、应急装备和救援队伍等情况)。
7.4 历史经验教训总结
分析、总结历史上同类型企业或涉及相同环境风险物质的企业发生突发环境事件的经验教训,对照检查本单位是否有防止类似事件发生的措施。
7.5 需要整改的短期、中期和长期项目内容
针对上述排查的每一项差距和隐患,根据其危害性、紧迫性和治理时间的长短,提出需要完成整改的期限,分别按短期(3个月以内)、中期(3—6个月)和长期(6个月以上)列表说明需要整改的项目内容,包括整改涉及的环境风险单元,环境风险物质,目前存在的问题(环境风险管理制度、环境风险防控与应急措施、应急资源),可能影响的环境风险受体。
8 完善环境风险防控与应急措施的实施计划
针对需要整改的短期、中期和长期项目,分别制定完善环境风险防控和应急措施的实施计划。实施计划应明确环境风险管理制度、环境风险防控措施、环境应急能力建设等内容,逐项制定加强环境风险防控措施和应急管理的目标、责任人及完成时限。
每完成一次实施计划,都应将计划完成情况登记建档备查。
对于因外部因素致使企业不能排除或完善的情况,如环境风险受体的距离和防护等问题,应及时向所在地县级以上人民政府及其有关部门报告,并配合采取措施消除隐患。
9 划定企业环境风险等级
完成短期、中期或长期的实施计划后,应及时修订突发环境事件应急预案,并按照第10节中划定或重新划定企业环境风险等级,并记录等级划定过程,包括:
1)计算所涉及环境风险物质数量与其临界量比值(Q)。
2)逐项计算工艺过程与环境风险控制水平值(M),确定工艺过程与环境风险控制水平。
3)判断企业周边环境风险受体是否符合环评及批复文件的卫生或大气防护距离要求,确定环境风险受体类型(E)。
4)确定企业环境风险等级,按要求表征级别。
10 企业突发环境事件风险等级划分方法
通过定量分析企业生产、加工、使用、存储的所有环境风险物质数量与其临界量的比值(Q),评估工艺过程与环境风险控制水平(M)以及环境风险受体敏感性(E),按照矩阵法对企业突发环境事件风险(以下简称环境风险)等级进行划分。环境风险等级划分为一般环境风险、较大环境风险和重大环境风险三级,分别用蓝色、黄色和红色标识。评估程序如图1所示。

图1 企业突发环境事件风险等级划分流程示意图
10.1 环境风险物质数量与其临界量比值(Q)
针对企业的生产原料、燃料、产品、中间产品、副产品、催化剂、辅助生产原料、“三废”污染物等,列表说明下列内容:
物质名称,化学文摘号(CAS号),目前数量和可能存在的最大数量,在正常使用和事故状态下的物理性质、化学性质、毒理学特性、对人体和环境的急性和慢性危害、伴生/次生物质,以及基本应急处置方法等,对照表11标明是否为环境风险物质。
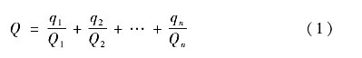
计算所涉及的每种环境风险物质在厂界内的最大存在总量(如存在总量呈动态变化,则按公历年度内某一天最大存在总量计算;在不同厂区的同一种物质,按其在厂界内的最大存在总量计算)与其在表11中对应的临界量的比值Q:
1)当企业只涉及一种环境风险物质时,计算该物质的总数量与其临界量比值,即为Q。
2)当企业存在多种环境风险物质时,则按式(1)计算物质数量与其临界量比值Q。

式中,q1,q2,...,qn——每种环境风险物质的最大存在总量;
Q1,Q2,...,Qn——每种环境风险物质的临界量。
当Q<1时,企业直接评为一般环境风险等级,以Q表示。
当Q≥1时,将Q值划分为:①1≤Q<10;②10≤Q<100;③Q≥100,分别以Q1、Q2和Q3表示。
10.2 生产工艺与环境风险控制水平(M)
采用评分法对企业生产工艺、安全生产控制、环境风险防控措施、环评及批复落实情况、废水排放去向等指标进行评估汇总,确定企业生产工艺与环境风险控制水平。评估指标及分值如表1和表2所示。
表1 企业生产工艺与环境风险控制水平评估指标表

续表

表2 企业生产工艺与环境风险控制水平表

10.2.1 生产工艺
列表说明企业生产工艺及其特征:生产工艺名称,反应条件(包括高温、高压、易燃、易爆),是否属于《重点监管危险化工工艺目录》或国家规定有淘汰期限的淘汰类落后生产工艺装备等。
按照表3评估企业生产工艺情况。具有多套工艺单元的企业,对每套生产工艺分别评分并求和。企业生产工艺最高分值为20分,超过20分则按最高分计。表3中的化工工艺名录将根据突发环境事件的发生状况和有关规定适时调整。
表3 企业生产工艺表

续表

注:1.高温指工艺温度≥300℃,高压指压力容器的设计压力(p)≥10.0MPa,易燃易爆等物质是指按照GB20576至GB20602《化学品分类、警示标签和警示性说明安全规范》所确定的化学物质;
2.指根据国家发展改革委发布的《产业结构调整指导目录》(最新年本)中有淘汰期限的淘汰类落后生产工艺装备。
10.2.2 安全生产管理
按照表4评估企业现有安全生产管理情况,并附相关证明文件。
表4 企业安全生产控制表

10.2.3 环境风险防控与应急措施
从生产装置、储运系统、公用工程系统、辅助生产设施及环境保护设施等方面,列表说明每个涉及环境风险物质的环境风险单元及其环境风险防控措施的实施和日常管理情况。
对照表5,列出每个风险单元所采取的水、大气等环境风险防控措施,包括截流措施、事故排水收集措施、清净下水系统防控措施、雨排水系统防控措施、生产废水处理系统防控措施;毒性气体泄漏紧急处置装置和毒性气体泄漏监控预警措施;环评及批复的其他风险防控措施落实情况等。
按照表5评估企业环境风险防控与应急措施情况。若企业具有一套收集措施,兼具或部分兼具收集泄漏物、受污染的清净下水、雨水、消防水功能,应按表5对照相应功能要求分别评分。
表5 企业环境风险防控与应急措施表

续表

续表

续表

10.2.4 雨排水、清净下水、生产废水排放去向
列表说明企业雨排水、清净下水、经处理后的生产废水排放去向、受纳水体名称、受纳水体汇入河流及所属水系,受纳水体的年平均流速流量和最大流速流量等。按照表6评估各类水的排放去向。
表6 企业雨排水、清净下水、生产废水排放去向表

10.3 环境风险受体敏感性(E)
列出企业周边所有环境风险受体情况:
以企业厂区边界计,周边5公里范围内大气环境风险受体(包括居住、医疗卫生、文化教育、科研、行政办公、重要基础设施、企业等主要功能区域内的人群、保护单位、植被等)和土壤环境风险受体(包括基本农田保护区、居住商用地)情况,并列表说明下列内容:名称,规模(人口数、级别或面积),中心经度,中心纬度,距企业距离(米),相对企业方位,服务范围(取水口填写),联系人和联系电话。
企业雨水排口(含泄洪渠),清净下水排口,废水总排口下游10公里范围内水环境风险受体(包括饮用水水源保护区、自来水厂取水口、自然保护区、重要湿地、特殊生态系统、水产养殖区、鱼虾产卵场、天然渔场等)情况,以及按最大流速计,水体24小时流经范围内涉及国界、省界、市界等情况,并列表说明下列内容:名称,规模(级别或面积),中心经度,中心纬度,据企业距离(米),相对企业方位,服务范围(取水口填写),联系人和联系电话。
根据环境风险受体的重要性和敏感程度,由高到低将企业周边的环境风险受体分为类型1、类型2和类型3,分别以E1、E2和E3表示,如表7所示。如果企业周边存在多种类型环境风险受体,则按照重要性和敏感度高的类型计。
10.4 企业环境风险等级划分
根据企业周边环境风险受体的3种类型,按照环境风险物质数量与临界量比值(Q)、生产工艺过程与环境风险控制水平(M)矩阵,确定企业环境风险等级。
企业周边环境风险受体属于类型1时,按表8确定环境风险等级。
表7 企业周边环境风险受体情况划分表

表8 类型1(E1)——企业环境风险分级表

企业周边环境风险受体属于类型2时,按表9确定环境风险等级。
表9 类型2(E2)——企业环境风险分级表

企业周边环境风险受体属于类型3时,按表10确定环境风险等级。
表10 类型3(E3)——企业环境风险分级表

10.5 级别表征
企业环境风险等级可表示为“级别(Q值代码+工艺过程与环境风险控制水平代码+环境风险受体类型代码)”,例如,Q值范围为1≤Q<10,环境风险受体为类型1,工艺过程与环境风险控制水平为M3类的企业突发环境事件环境风险等级可表示为“重大(Q1M3E1)”。
表11 突发环境事件风险物质及临界量清单表

续表

续表

续表

续表

续表

续表

续表

续表

续表

续表

续表

续表

续表

续表

说明:本表共规定了310种(类)化学物质及其临界量,说明如下:
1.关于分类
第一部分共238种(其中有12种属重点环境管理危险化学品,见备注栏),以物质的化学文摘号(CAS)由小到大排序。序号235和236分别是剧毒化学物质和有毒化学物质,剧毒化学物质是根据《化学品毒性鉴定技术规范》附录1-C“急性毒性分级标准”鉴定为剧毒的物质,有毒化学物质是根据“急性毒性分级标准”鉴定为高毒、中等毒或低毒的化学物质。
第二部分全部为重点环境管理危险化学品,共72种。
2.关于临界量
*代表该种物质临界量确定参考了GB18218-2009。**代表该种物质临界量确定参考了欧盟《塞维索指令》。
3.本清单中的化学物质将根据需要适时调整。
表12 企业环境风险防控与应急措施实行标准对照表

续表

续表

续表

续表

续表

续表

续表

续表

10.6 企业突发环境事件风险评估报告编制大纲
企业突发环境事件风险评估报告编制大纲主要包括前言、总则、资料准备与环境风险识别、突发环境事件及其后果分析、现有环境风险防控和应急措施差距分析、完善环境风险防控和应急措施的实施计划、企业突发环境事件风险等级等主要内容,详细大纲如下:
1 前言
2 总则
2.1 编制原则
2.2 编制依据
包括政策法规、技术指南、标准规范、其他文件。
3 资料准备与环境风险识别
3.1 企业基本信息
3.2 企业周边环境风险受体情况
3.3 涉及环境风险物质情况
3.4 生产工艺
3.5 安全生产管理
3.6 现有环境风险防控与应急措施情况
3.7 现有应急物资与装备、救援队伍情况
4 突发环境事件及其后果分析
4.1 突发环境事件情景分析
4.2 突发环境事件情景源强分析
4.3 释放环境风险物质的扩散途径、涉及环境风险防控与应急措施、应急资源情况分析
4.4 突发环境事件危害后果分析
5 现有环境风险防控和应急措施差距分析
6 完善环境风险防控和应急措施的实施计划
7 企业突发环境事件风险等级
8 附图
企业地理位置图、厂区平面布置图、周边环境风险受体分布图,企业雨水、清净下水收集、排放管网图、污水收集、排放管网图以及所有排水最终去向图。