1
药物化学
1.14.3.1.5 五、提高药物的稳定性
五、提高药物的稳定性

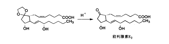
有些药物结构中存在易氧化、易水解的基团,在贮存过程中易失效。在体内的代谢速度也快。将这些不稳定的基团进行化学修饰,可增加药物的稳定性,并延长作用时间。

例如含有羰基的药物,由于羰基化学性质不活泼,制备前药时选择形成缩酮、Schiff碱、肟等。如前列腺素E2化学性质不稳定,因为其分子结构上含有β-羟基环戊酮和游离的羧基结构,在酸催化下易失水成不饱和环酮前列腺A2而失效,若将前列腺素E2的酮基制成乙二醇缩酮同时在羧基上酯化,得到稳定的固体产物,提高了化学稳定性。