1
药物化学
1.14.1.3.4 四、药物的立体结构对药效的影响
四、药物的立体结构对药效的影响

药物所作用的受体、酶、离子通道等生物大分子,都是蛋白质,有一定的三维空间结构,在药物和受体相互作用时,两者之间原子或基团的空间互补程度对药物的吸收、分布、排泄均有立体选择性,因此药物分子的立体结构会导致药效上的差异。药物与受体结合时,彼此间立体结构的匹配度越好,三维结构契合度越高,所产生的生物活性越强。药物立体结构对药效的影响主要有药物的手性(光学异构)、几何异构和构象异构。

(一)药物分子的手性及手性药物

当药物分子结构中引入手性中心后,得到一对互为实物与镜像的对映异构体。这些对映异构体的理化性质基本相似,仅仅是旋光性有所差别。含有手性特征的药物称作手性药物。一对手性药物在体内所经受的物理、化学影响与过程是不同的,在体内的吸收、分布及代谢过程均有所不同,以及对受体靶点的作用也会有很大差异,因而对映体之间所呈现的药理和毒副作用有明显差别。这种差异一般有五种情况。

(1)对映体异构体之间具有等同的药理活性和强度。当手性药物的两个对映体之间的药理作用和强度,以及与消旋体之间没有明显差异,产生这样结果的原因是药物的手性中心不在与受体结合的部位,则手性中心对受体作用时的影响就很小。从科学和经济的角度考虑,无需开发成单一的立体异构体药物。如抗心律失常药物氟卡尼(Flecainide)的R型S型异构体对抗心律失常和心肌钠通道作用相同,吸收、分布、代谢、排泄性质也无显著差异,所以临床使用消旋的氟卡尼。

(2)对映体异构体之间产生相同的药理活性,但强弱不同。两个对映体有相似的药理活性,但作用强度有明显的差异。例如抗菌药物氧氟沙星其S-(-)-异构体的抑酶活性是R-(+)-型的9.3倍,是消旋体的1.3倍。氧氟沙星的吗啉环上含有一个手性碳原子,甲基在母核平面的取向不同,导致与酶活性中心结合的能力不同,故而抑制酶的活性不同。现左氟沙星已经取代了市场上使用的消旋氧氟沙星。

如:D(-)-异丙肾上腺素的支气管扩张作用为L(+)-异构体的50~800倍;抗坏血酸L(+)-异构体的活性为D(-)-异构体的20倍;氯霉素具1,3-丙二醇结构,四个旋光异构体中(1R,2R-D(-)-苏阿糖型生物活性最高;D(-)-肾上腺素的血管收缩作用较其L(+)-异构体强12~15倍。

这种差别可以用药物与受体的相互作用来解释。如R-(-)-肾上腺素的活性是其异构体S-(+)-肾上腺素的45倍,是因为前者与受体有A、B、C三个作用部位(图22-4),而后者的羟基不能与受体形成氢键,只有A、C两个结合部位,故活性下降。

图22-4 肾上腺素光学异构体与受体作用的特异性示意图

图中曲线是受体的示意图,A、B和C分别表示受体的三个作用部位

(3)对映体异构体中一个有活性,一个没有活性。手性药物中最常见的是只有一个异构体有药理活性,而另一个没有或几乎没有活性,表现出药物与生物靶点作用的立体选择性。例如芳乙醇胺类β-受体阻断剂索他洛尔的一对对映体的β阻断作用也有很大差异,R型异构体的活性远胜于S型异构体。芳乙醇胺与芳氧丙醇胺类(如阿替洛尔)的活性异构体的构型相反,分别是R和S构型,两种不同的构型并不矛盾,是因为由于确定绝对构型的原则所致。

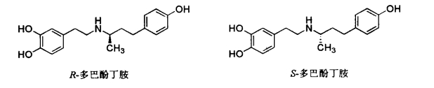
(4)对映异构体之间产生相反的活性。手性药物的两个对映体可有不同的药理活性,例如抗休克药多巴酚丁胺(-)型对映体对α1-受体的激动作用强于(+)型对映体,可使心肌收缩力增加,使外周血管收缩,而对β-受体呈拮抗作用;反之(+)型异构体对β-受体呈激动作用,虽然使心肌收缩力增强,但可使外周血管扩张。

利尿药依托唑啉的左旋体具有利尿作用,而其右旋体则有抗利尿作用。这种例子比较少见但需注意的是这类药物的对映异构体需拆分得到纯对映异构体才能使用,否则一个对映体将会抵消另一个对映体的部分药效。

(5)对映异构体之间产生不同类型的药理活性。这类例子比较多,如镇痛药丙氧酚,其右旋体产生镇痛活性,而左旋体则产生镇咳作用。S-(+)-氯胺酮具有麻醉作用,而其R-(-)-异构体则产生兴奋作用;麻黄碱可收缩血管,增高血压和舒张支气管,用作血管收缩药和平喘药,而它的光学异构体伪麻黄碱几乎没有收缩血管,增高血压的作用,只能作支气管扩张药。

手性药物是目前药物化学的一个热门领域,近年来,以手性药物的合成、分离、药效、毒理及体内代谢内容为主的研究已成为药物研究的一个重要组成部分。

(二)药物的几何异构及官能团的距离

几何异构是由双键或环的刚性或半刚性系统导致分子内旋转受到限制而产生的。由于几何异构体的产生,导致药物结构中的某些官能团在空间排列上的差异,不仅影响药物的理化性质,而且也改变药物的生理活性。如氯普噻吨,其顺式异构体的抗精神病作用比反式异构体强5~10倍,原因在于顺式异构体的构象与多巴胺受体的底物多巴胺的优势构象相近,而反式异构体的构象则相差太远。

(三)药物的构象异构体及取代基的空间排列

构象是由分子中单键的旋转而造成的分子内各原子不同的空间排列状态,这种构象异构体的产生并没有破坏化学键,而仅产生分子形状的变化。药物分子构象的变化与生物活性间有着极其重要的关系,这是由于药物与受体间相互作用时,要求其结构和构象产生互补性,这种互补的药物构象称为药效构象。药效构象不一定是药物的最低能量构象。不同构象异构体的生物活性有差异。

药物异构体与受体的作用可分为以下三种。

(1)相同的一种结构,因具有不同构象,可作用于不同受体,产生不同性质的活性。如组胺,可同时作用于组胺H1和H2受体。经对H1和H2受体拮抗剂的研究发现,组胺是以反式构象与H1受体作用(图22-5a),而以扭曲式构象与H2受体作用(图22-5b),故产生两种不同的药理作用。

图22-5 药物的构象对活性的影响

(2)只有特异性的优势构象才产生最大活性。如多巴胺,其反式构象是优势构象(图22-4c),而和多巴胺受体结合时也恰好是以该构象作用,故药效构象与优势构象为同一构象,而扭曲式构象(图22-4d)由于两个药效基团OH和NH2间的距离与受体不匹配,故没有活性。

(3)等效构象(Conformational equivalence),又称构象的等效性,是指药物没有相同的骨架,但有相同的药效团,并有相同的药理作用和最广义的相似构象。

例如乙烯雌酚反式异构体与雌二醇骨架不同,但两个酚羟基排列的空间距离和雌二醇的二个羟基的距离近似,表现出与雌二醇相同的生理活性。

通过构效关系研究和X-衍射晶体学研究,计算发现这些反式己烯雌酚与雌二醇有相似的药效构象,故产生相似的药理作用,把这种称为等效构象,等效构象是计算机辅助药物设计的重要基础。

(中国药科大学 向华)