1
药物化学
1.14.1.3.3 三、药物分子的电荷分布对药效的影响
三、药物分子的电荷分布对药效的影响

药物分子的作用靶点是以蛋白质为主要成分的生物大分子,蛋白质分子从组成上来讲是由各种氨基酸经肽键结合而成,在整个蛋白质的链上存在各种极性基团造成电子云密度的分布不均匀,有些区域的电子云密度较高,形成负电荷或部分负电荷;有的区域电子云密度比较低,即带有正电荷或部分正电荷。如果药物分子中的电子云密度分布正好和受体或酶的特定受体相适应时,由于电荷产生的静电引力,有利于药物分子与受体或酶结合,形成比较稳定的药物-受体或药物-酶的复合物而增加活性。

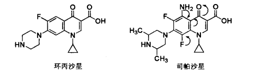
如喹诺酮类抗菌药的作用靶点是DNA螺旋酶,其中4位的酮基是重要的作用部位,当羰基的氧电荷密度增加时,有利于和DNA螺旋酶的电性相互结合。喹诺酮药物司帕沙星,其对金葡萄球菌的抑制活性比类似物环丙沙星强16倍。分析原因是由于5位氨基和8位F均是给电子基团,通过共轭效应增加了4位羰基氧上的电荷密度,使可帕沙星与DNA螺旋酶的结合作用增强而增加了对酶的抑制作用。

再如苯甲酸酯类局部麻醉药,在其结构中,苯环上取代基可通过共轭诱导对酯羰基上的电子云的密度分布产生影响。单纯的苯甲酸乙酯,其结构中没有任何取代基,其羰基的极性仅仅来自C—O原子的电负性,加上该酯羰基和苯环产生共轭,羰基的极性比较小。当苯甲酸酯中苯环的对位引入供电子基团氨基时,如普鲁卡因(Procaine),该对位氨基上的电子云通过共轭诱导效应,增加了酯羰基的极性,使药物与受体结合更牢,作用时间延长。若是在苯甲酸酯的苯环对位引入吸电子基团硝基时,如对硝基苯甲酸乙酯,由于硝基的吸电子效应,导致羰基的电子云流向苯环,使极性降低,故对硝基苯甲酸酯与受体的结合能力比母体化合物弱、麻醉作用降低。