1
药物化学
1.13.1.1.4 四、维生素K类
四、维生素K类

维生素K(Vitamin K)是一类含萘醌结构,具有凝血作用的维生素的总称。它广泛存在于绿色植物中。最初从苜蓿中得到的为维生素K1,从腐鱼肉中分离出维生素K2,后又相继合成K3和K4

维生素K类的基本结构分为两类。一类是2-甲基-1,4-萘醌的衍生物,3位上带有不同侧链,维生素K1的侧链为植基(phytyl)。维生素K2的侧链为不饱和长链烷基。依据侧链含碳数的不同,分别称K2(20),K2(35),均含有数目不同的异戊二烯结构单元。K3和K4分子的基本结构也是2-甲基-1,4-萘醌。维生素K的另一类基本结构为萘胺衍生物,如维生素K5、K6、K7等。其中有药用价值的是维生素K1、K2、K3和K4

维生素K类构效关系研究表明,将萘醌环中的醌基氢化,凝血活性几乎不变,但苯环被氢化后活性降至1/4~1/125。以噻吩代替萘醌中的苯环,活性锐减。将2位甲基换为乙基、烷氧基、烯丙基或氢原子,其活性降低;如换为氯原子,则成为维生素K的对抗物。当3位无取代烃基时(如维生素K3),活性最强;当3位引入具有4个异戊二烯单位(20个碳原子)脂肪链时(如维生素K1),活性略低于K3;如将维生素K1脂肪链增加两个异戊二烯单位(如维生素K2),凝血活性为K1的1/1.6。

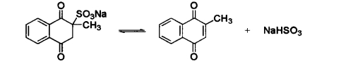
维生素K3(Vitamin K3

化学名为1,2,3,4-四氢-2-甲基-1,4-二氧-2-萘磺酸钠盐三水合物;(1,2,3,4-tetrahydro-2-methyl-1,4-dioxo-2-naphthalenesulfonic acid sodium salt trihydrate。又名亚硫酸氢钠甲萘醌(Menadionl Sodium Bisulfite)。

本品为白色结晶性粉末,溶于水(虽属于脂溶性维生素),易吸湿,遇光易变色。在水溶液中,本品与甲萘醌和亚硫酸氢钠间存在着平衡。当与空气中的氧气、酸或碱作用时,亚硫酸氢钠分解,平衡被破坏,甲萘醌从溶液中析出。

遇光或热会加速上述变化。加入氯化钠或焦亚硫酸钠可增加稳定性。将含有焦亚硫酸钠的本品水溶液贮存于惰性气体中,不会变黄或生成沉淀,但受日光照射,仍会变黄。

维生素K的生理功能主要是加速血液凝固,通过促进肝脏合成凝血酶原所必需的因子。

人体在通常情况下人体不会缺乏维生素K,因为维生素K在绿色植物中含量丰富,人体肠道中大肠埃希菌亦可产生维生素K。只有当长期口服抗生素或磺胺类药物,使肠道细菌生长被抑制或脂肪吸收受阻,或因食物中缺乏绿色蔬菜,才可能会发生维生素K缺乏症。新生婴儿由于肠道中缺乏细菌或吸收不良,可暂时出现维生素K缺乏症。

维生素K对于防治因维生素K缺乏所致的出血症,如新生儿出血、长期口服抗生素所致的出血症以及有出血倾向的肝昏迷、阻塞性黄胆等肝病有一定疗效。