1
药物化学
1.12.1.2.7 七、非甾体抗炎药作用机制
七、非甾体抗炎药作用机制

炎症是机体对感染的一种防御机制,主要表现为红肿、疼痛。随着对炎症的生化基础研究的深入,新的炎症介质不断被发现,目前发现的有:组胺、5-羟色胺等生物胺类;激肽和炎症蛋白酶类;20余种血浆蛋白的补体系统;前列腺素、前列环素、血栓素A2、白三烯类(Leukotrienes,LTs)及血小板激活因子(Platelet Activating Factor,PAF)等类脂质介质;溶酶体酶(Lysosomal Enzymes)及淋巴因子等。研究炎症介质的化学结构及生物活性,寻找并合成这类介质的拮抗剂或介质生物合成的抑制剂,目的是阻断炎症介质的合成和释放,在酶和受体水平上拮抗炎症介质的作用,这是当前寻找新型有效消炎药的重要研究途径之一。

非甾体抗炎药的作用机制是1971年由Vane阐明的,该类药物是通过抑制环氧化酶(COX),阻断花生四烯酸转化为前列腺素(PG)而发挥药理作用。非甾体抗炎药对外源性前列腺素所引起的炎症、疼痛并无作用,间接说明其作用机制为抑制前列腺素的生物合成,而不是对抗前列腺素的作用。

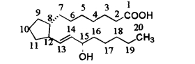
图19-9 前列腺素的一般结构

前列腺素是一种天然存在的20碳环戊脂肪酸衍生物,它们属于由磷脂膜自分泌产生的类花生酸化合物,这些由不饱和脂肪酸产生的衍生物包括前列腺素、凝血素、前列环素和细胞白三烯。前列腺素的结构如图19-9所示。所有天然存在的前列腺素都有与之一样的取代模板:一个15位的α-羟基和一个C-13位的反式双键。除非在C-8与C-12间是个双键,否则两个长链(有羧基的为α链及带羟基的为β链)保持反式的立体构型。前列腺素依据氧原子在C-9和C-11位置取代基的不同来分类,并用字母A、B、C、D、E、F、G、H和I标识。如在C-9位有一个酮基,C-11位有一个羟基的为PGE,而在两个位置有两个α羟基的为PGF。PGG和PGH是生物合成前列腺素的环内过氧化物的中间体。与环戊烷相连侧链上双键的编号用1、2、3标识,以标记不同的脂肪酸前体。下标2在C-5和C-6间有另外一个顺式双键,而下标3则表明在C-17和C-18间有第三个顺式双键存在。

前列腺素是由不饱和脂肪酸前体通过体内生物合成产生的。前列腺素中天然存在的不同数量的双键反映了其不同种类的前体。只含有一个双键的前列腺素源于8,11,14-二十碳三烯酸;而有两个双键的则源于花生四烯酸;含有三个双键的源于5,8,11,14,17-二十碳五烯酸。在人体中最常见的是花生四烯酸,因而含有两个双键的前列腺素在人体中起着及其重要的作用。当细胞膜受刺激时,由磷脂酶A2和磷脂酶C催化细胞膜磷脂水解释放花生四烯酸。释放出的花生四烯酸进一步通过两种途径完成生物转化:①在环氧化酶(COX)的作用下产生前列腺素、凝栓质、前列环素等;②在脂氧化酶的作用下产生细胞白三烯。甾体抗炎药(皮质类固醇)主要是通过抑制这些磷脂酶的活性而实现其功能的。而非甾体抗炎药的活性是通过抑制环氧化酶而体现的。

从花生四烯酸转化为前列腺素的生物合成途径见图19-10。

图19-10 从花生四烯酸生物合成前列腺素

(天津医科大学 王润玲)