1
药物化学
1.12.1.2.5 五、1,2-苯并噻嗪类
五、1,2-苯并噻嗪类

具有1,2-苯并噻嗪结构的抗炎药被称为昔康类(Oxicams),是一类结构中含有烯醇结构的化合物。这类化合物中第一个上市的药物是吡罗昔康,于1982年在美国上市,而且很快就成为美国处方药前50位的药物,并保持了若干年。

其结构与活性关系研究表明:R1为甲基时,活性最强,而R则可以是芳环或芳杂环。烷基取代一般活性不高。该类药物虽无羧基,但也有酸性,其pKa值在4~6之间。芳杂环取代时的酸性大于芳香环取代,因为,存在如下的互变异构,稳定了烯醇阴离子。这也解释了为什么一级氨甲酰的活性高于二级氨甲酰,因为N—H键可以进一步稳定烯醇阴离子。

吡罗昔康的R为2-吡啶,R1为甲基,具有显效迅速且持久、耐受性好、副反应较小等特点。R为2-噻唑,R1为甲基,便得到舒多昔康(Sudoxicam),抗炎作用较吲哚美辛强,而且胃肠道的耐受性好。其他类似的药物还有伊索昔康(lsoxictam)和噻吩昔康(Tenoxicam),抗炎作用均优于吲哚美辛。另外,在舒多昔康的5位引入甲基,则得到美洛昔康(Meloxicam),抗炎作用较吲哚美辛强。

吡罗昔康Piroxicam

化学名为2-甲基-4-羟基-N-(2-吡啶基)-2H-1,2-苯骈噻嗪-3-甲酰胺-1,1二氧化物;2-methyl-4-hydroxy-N-(2-pyridinyl)-2H-1,2-benzothiazine-3-carboxamide-l,l-dioxide。别名:炎痛喜康。

无水糖精钠与α-氯代乙酸乙酯在DMF溶剂中反应得N-羧酸乙酯甲基糖精(Ⅰ)。(Ⅰ)经Gabriel-Colman重排,生成4-羟基-2H-1,2-苯骈噻嗪-3-羧酸乙酯基-1,1-二氧化物(Ⅱ)。(Ⅱ)与硫酸二甲酯甲基化,生成2-甲基衍生物(Ⅲ)。(Ⅲ)与2-氨基吡啶反应即得本品。

本品为类白色或微黄绿色结晶粉末,无臭,无味。在三氯甲烷中易溶,在丙酮中略溶,乙醇或乙醚中微溶,水中几乎不溶;在酸中溶解,在碱中略溶。mp.198~202℃。抗炎活性比保泰松和萘普生强,与吲哚美辛相似,镇痛作用比布洛芬、萘普生、非诺洛芬、保泰松强,与阿司匹林相似,低于吲哚美辛。

吡罗昔康经口服后可以很快被吸收,约2小时后血药浓度达到峰值。食物对吡罗昔康的生物利用度没有影响,但在低剂量时影响其血药浓度,在高剂量时则无明显影响。作为酸性药物其与血浆蛋白有极强的结合力。其在血浆中的半衰期很长,约为38小时,因此用药基本可以实现一日一次。

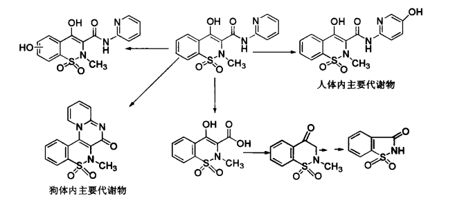
吡罗昔康在人体中的代谢程度很大,只有约5%的药物以原型的形式被排出。在人体内的主要代谢产物是吡啶环羟基化后与葡萄糖醛酸结合的产物。只有小部分为苯环上的羟基化,还有水解,脱羧等产物。所有的代谢物都没有活性。吡罗昔康的代谢如图19-6所示。

图19-6 吡罗昔康的代谢

本品的三氯甲烷溶液与三氯化铁反应,显玫瑰红色。

本品的消炎镇痛作用强于吲哚美辛,临床上主要用于治疗风湿性关节炎、类风湿性关节炎及骨关节炎等。