1
药物化学
1.12.1.2.3 三、吲哚乙酸类
三、吲哚乙酸类

风湿病患者体内色氨酸代谢水平较高,色氨酸在体内色氨酸羟化酶及L-芳氨酸脱羧酶作用下转化成5-羟色胺(Serotonin,5-HT),5-羟色胺是炎症的化学致痛物质。由此开始对吲哚类衍生物进行了研究,从350个吲哚类衍生物中发现了吲哚美辛(Indomethacin)。

吲哚美辛是一个强力的镇痛抗炎药,其作用较阿司匹林、保泰松强,但毒副作用较大。其作用机制经研究证明并不是对抗5-羟色胺,而是抑制前列腺素的生物合成。

吲哚美辛(Indomethacin)

化学名为2-甲基-1-(4-氯苯甲酰基)-5-甲氧基-1H-吲哚-3-乙酸;2-methyl-1-(4-chlo-robenzoyl)-5-Methaxy-1 H-indol-3-acetic acid。又名消炎痛。

本品为类白色至微黄色结晶性粉末;几乎无臭,无味。在丙酮中溶解,在甲醇、乙醇、三氯甲烷或乙醚中略溶,在苯中微溶,在甲苯中极微溶解,在水中几乎不溶。可溶于氢氧化钠溶液中。mp.158~162℃。

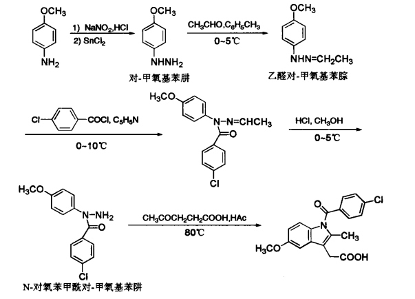
以对-甲氧基苯胺为原料,经重氮化、还原得对-甲氧基苯肼。对-甲氧基苯肼与乙醛缩合得乙醛对-甲氧基苯腙。用对-氯苯甲酰氯酰化,再经水解得N-对氧苯甲酰对-甲氧基苯肼。水解产物与乙酰丙酸环合即得本品。

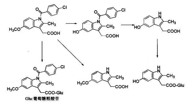
本品在室温下空气中稳定,但对光敏感。水溶液在pH 8时较稳定。可被强酸或强碱水解,生成对氯苯甲酸和5-甲氧基-2,3-甲基-3-乙酸(Ⅰ)。(Ⅰ)脱羧生成5-甲氧基-2,3-二甲基吲哚(Ⅱ)。(Ⅰ)和(Ⅱ)都可以被氧化为有色物质,如(Ⅰ)可生成棕色物,(Ⅱ)可生成蓝色物再转变为棕色物。温度升高,水解变色更快。

本品的稀溶液与重铬酸钾试液共热,再用硫酸酸化并缓缓加热显黄色;如与亚硝酸钠试液共热,用盐酸酸化显绿色,放置后渐变为黄色。

构效关系:用其他的酸性基团取代羧基会降低活性。抗炎活性随羧基的酸性增加而增加。酰胺类似物没有活性。用脂肪族或芳香族羧酸酰化吲哚环的氮原子所得的酰胺活性较苄基弱。将苄基对位的氯用氟、三氟甲基、巯甲基取代活性最高。吲哚环的5位是最易变的位置,此处的取代往往会增加其活性。如用甲氧基、氟、二甲氨基、甲基、烯丙基、乙酰基取代后,活性均强于未取代的化合物。吲哚环上的氮原子并非必需的,因为1-茚烯类似物也具有相应的活性。α-位被烷基尤其是被甲基取代,活性明显高于芳香取代的衍生物。用甲基取代乙酸α-位,可以得到相同的活性。此时在分子中会引入一个手性中心,只有(S)(+)异构体具有抗炎活性。吲哚美辛的抗炎活性与其构象有密切的关系,乙酸侧链由于柔性较大,可以产生大量的构象,对于N-对氯苄基取代衍生物而言,最佳的构象是该基团与2-位的甲基取向相反,并且由于2-位甲基与7-位氢的立体排斥作用使其与吲哚环不处于同一平面。

吸收与代谢:吲哚美辛口服后很快就可以被吸收,一般2~3小时后血药浓度达到峰值。作为一个酸性物质,其与血浆蛋白具有高度的结合力。吲哚美辛通过代谢转化为非活性物质,一般有50%转化为O-脱甲基代谢产物,而有10%与葡萄糖醛酸共价结合生成代谢产物。非肝酶系可水解吲哚美辛为N-脱乙酰基代谢产物。吲哚美辛的代谢过程如图19-4所示。

图19-4 吲哚美辛的代谢

本品是一高效消炎镇痛药,动物试验表明其作用比可的松强5倍,比保泰松强25倍。临床用于治疗风湿性及类风湿性关节炎、痛风性关节炎、红斑狼疮及其他炎症。本品副作用较多,除常见的胃肠道反应,肝脏损害及造血系统功能障碍外,还可产生中枢神经症状,如头痛、眩晕及偶见神经异常等。与食物或牛奶同时服用可以降低吲哚美辛的胃肠刺激。