1
药物化学
1.12.1.2.1 一、3,5-吡唑烷二酮类
一、3,5-吡唑烷二酮类

这类药物主要有保泰松(Pheoylbutazone)、羟基保泰松(Oxyphenbutazone)、苯磺保泰松(Sulfinpyrazone)及γ-酮保泰松(γ-Ketophenylbutazone)等。

1949年发现具有较弱解热镇痛作用的1,2-二苯基-4-正丁基-吡唑-3,5-二酮却有良好的消炎镇痛作用,因而在临床上用为抗炎药,名为保泰松。保泰松还具有轻度排尿酸作用,可用于类风湿性及风湿性关节炎,也可用于痛风的治疗。但毒副作用较大,除胃肠道副作用及过敏反应外,对肝脏及血象也有不良的影响。1961年发现其体内的代谢物羟基保泰松也具有消炎抗风湿作用,且毒性较低、副作用较小,而应用于临床。以后又发现苯磺保泰松,消炎抗风湿作用比保泰松弱,但具有较强的排尿酸作用,用于治疗痛风及风湿性关节炎。此外还发现γ-酮保泰松,其作用与苯磺保泰松相似。这类药物的生物活性与化合物酸度有密切关系,药物分子酸度增加,使其消炎活性降低,尿酸排泄作用增强。苯磺保泰松就是一个很好实例,其pKa值为2.8(保泰松的pKa值为4.5),所以它的消炎作用弱,而是一个有效的尿酸排泄剂。

羟基保泰松(Oxyphenbutazone)

化学名为4-丁基-1-(4-羟基苯基)-2-苯基-3,5-吡唑烷二酮;4-butyl-1-(4-hydroxy phenyl)-2-phenyl-3,5-pyrazolidinedione。

本品为白色结晶性粉末,mp.96℃,无臭,味苦,几乎不溶于水,易溶于乙醇、丙酮,能溶于三氯甲烷、乙醚,易溶于氢氧化碱和碳酸碱溶液中。

本品的合成以苯胺为原料,重氮化后与苯酚偶合,生成4-羟基偶氮苯。再与氯苄作用得4-苄氧基偶氮苯。4-苄氧基偶氮苯经锌粉还原后,与丁基丙二酸二乙酯环合,生成苄氧基保泰松。再经活性镍催化氢解,即得本品。

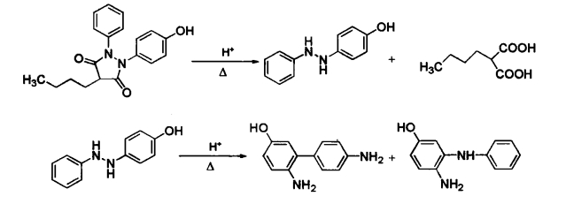
本品与冰醋酸及盐酸共热,水解生成4-羟基氢化偶氮苯,随即转位重排,生成2,4'-二氨基联苯酚-5和对-羟基邻氨基苯基苯胺,均可与亚硝酸钠试液作用生成黄色重氮盐,再与萘酚偶合生成橙色沉淀,溶于乙醇中为橙色溶液。

本品口服后2小时血药浓度可达峰值。直肠吸收4~8小时达峰值。体内排泄的半衰期为3日。

本品用于治疗风湿性关节炎及关节强直性脊椎炎等,但无保泰松的明显排尿酸作用,对胃肠道的刺激性较轻。