1
药物化学
1.12.1.1.3 三、吡唑酮类
三、吡唑酮类

本类药物主要有安替比林(Antipyrine)、氨基比林(Aminopyrine)及安乃近(Analgin)。它们具有良好的解热镇痛和消炎抗风湿作用。1884年应用于临床的安替比林(Antipyrine)是研究奎宁类似物的过程中偶然发现的。因其毒性较大未在临床上长期使用。受吗啡结构中有甲氨基的启发,在安替比林分子中引入二甲氨基,合成了氨基比林,其解热镇痛作用比安替比林优良,且作用持久,对胃无刺激性,曾广泛用于临床。为寻找水溶性更大的药物,分子中引入水溶性基团亚甲基磺酸钠,得到安乃近,又名罗瓦尔精(Novalgin),本品解热、镇痛作用迅速而强大,因其水溶度大,可注射应用。但是,由于这类药物对造血系统有影响,可引起白细胞减少及粒细胞缺乏症等骨髓抑制副反应,我国已于1982年禁止使用氨基比林,安乃近的应用也受到了限制。

安乃近(Metamizole Sodium)

化学名[(1,5-二甲基-2-苯基-3-氧代-2,3-二氢-1H-吡唑-4-基)甲氨基]甲烷磺酸钠盐一水合物;[(1,5-dimethyl-2-phenyl-3-oxo-2,3-dihydro-1H-pyrazol-4-yl)methylamino]methanesulfonic acid sodium salt mono hydrate,又名罗瓦尔精(Novalgin)。

安替比林经亚硝化、还原得4-氨基安替比林;由于安乃近的侧链氮原子上要引入的是两个不同的基团,在引入甲基时,一定要先以甲酸进行甲酰化得4-甲酰氨基安替比林,把氨基的一个氢原子掩蔽起来,然后再以硫酸二甲酯进行甲基化,生成4-甲酰甲氨基安替比林。经硫酸水解除去甲酰基,得4-甲氨基安替比林。在乙醇中,4-甲氨基安替比林与甲醛、亚硫酸氢钠共同反应即得本品。

安乃近为白色或略带微黄色的结晶性粉末;易溶于水,略溶于乙醇,几不溶于乙醚和三氯甲烷。其水溶液对石蕊试纸呈中性,放置后颜色渐变黄。

本品的水溶液放置后,由于氧化分解,使溶液颜色逐渐变黄。温度、pH值、日光和微量金属离子等均可促进氧化分解反应的进行。水溶液可添加适当的抗氧剂,并通入惰性气体。本品贮存时也需放在干燥、无空气的容器中。

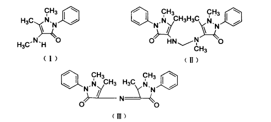
本品用过氧化氢或氧气氧化时,氧化产物为4-甲氨基安替比林(Ⅰ)、双-(N-(1-苯基-2,3-二甲基-5-氧-3-吡唑啉-4)-甲氨基)甲烷(Ⅱ)及黄色物质(Ⅲ)。此反应在pH7.8时进行最慢。

本品加漂白粉溶液,经水解氧化,呈蓝色,加热渐变黄色。安乃近遇碘试液,侧链经水解氧化生成4-(甲氨基)安替比林。本品与稀矿酸共热则分解放出二氧化硫及甲醛,并生成4-甲氨基安替比林。

本品具有较显著的解热和消炎抗风湿作用,起效快,主要用于解热,亦用于头痛、急性关节炎、风湿性神经痛、牙痛、肌肉痛等。可做成注射剂应用是本品的特点。但副反应较多(如虚脱、过敏性皮疹等),长期服用后,易引起粒细胞缺乏症,故应慎用。