1
药物化学
1.11.2.1.2 二、口服降血糖药
二、口服降血糖药

根据口服降糖药(oral hypoglycemic drugs)的作用机制,可分为胰岛素分泌促进剂、胰岛素增敏剂、α-葡萄糖苷酶抑制剂和醛糖还原酶抑制剂等。

(一)胰岛素分泌促进剂

2型糖尿病患者常常伴有继发性的β细胞功能缺陷,从而使胰岛素分泌不足。胰岛素分泌促进剂可促使胰岛β细胞分泌更多的胰岛素以降低血糖水平。按化学结构胰岛素分泌促进剂可以分为磺酰脲类和非磺酰脲类两类。

1.磺酰脲类

20世纪40年代,在大量应用磺胺类药物磺胺异丙基噻二唑(thiadiazole sulfonamide)治疗斑疹伤寒时出现了很多不明原因的死亡病例。进一步研究发现,这是由于磺胺异丙基噻二唑可刺激胰腺释放胰岛素,引起病人低血糖所致。于1955年发现氨苯磺丁脲(Carbutamide)的降血糖作用更强,是第一个应用于临床的磺酰脲类降血糖药,但副作用多,尤其对骨髓的毒性大,后被停用。

氨苯磺丁脲的发现,促进了对磺酰脲类降糖作用的研究,合成了大量衍生物,其中发现了不少有效而毒性较低的药物。第一代磺酰脲类衍生物有:甲苯磺丁脲(Tolbutamide)、氯磺丙脲(Chlorpropamide)、醋酸己脲(Acetohexamide)等。至70年代研制出第二代磺酰脲类口服降糖药,如格列本脲(Glibenclamide)、格列齐特(Gliclazide)、格列吡嗪(Glipizide)等,降糖作用更好、副作用更小、用量更少。80年代出现了第三代口服降糖药,如格列美脲(Glimepiride),特别适用于对其他磺脲类失效的糖尿病患者,其降糖效果与格列本脲相似,但用量较小,更安全。

该类药物均能选择性地作用于胰腺β细胞,促进胰岛素的分泌,同时,也能增强外源性胰岛素的降血糖作用。长期使用还能改善外周组织对胰岛素的敏感性,增加胰岛素受体数量和增强胰岛素与其受体的结合。

(1)作用机制 该类药物最主要的作用是促进胰岛素分泌。磺酰脲类化合物与胰腺β细胞上的受体结合后,会阻断ATP敏感的钾通道;钾通道的阻断会使电压敏感的钙通道开放,而出现钙离子内流;钙离子的流入会导致β细胞分泌胰岛素。药物与受体结合的亲和力与降血糖作用直接相关。不同磺酰脲类化合物介导的胰岛素分泌模式都是相似的,但与葡萄糖介导的胰岛素分泌并不相同。该类药物对胰岛素分泌的影响是随时间而变化的,开始用药时血胰岛素水平会升高,但用药一段时间后血胰岛素就会降至正常水平(格列吡嗪是例外,其血胰岛素水平升高可持续两年)。尽管如此,患者的血糖水平仍可维持在较低的状态。这可能是由于药物可以提高胰腺细胞对胰岛素的应答所至。确切原因仍有待进一步阐明。另外,磺酰脲类化合物对肝脏糖异生具有抑制作用。同时,也能增强外源性胰岛素的降血糖作用。

(2)物理化学性质 磺酰脲类化合物呈弱酸性(图18-2),这是由于其结构中磺酰基对氮原子上孤对电子显著性的离域作用。它们的pKa值大约为5.0,而且和其他弱酸一样可与蛋白质牢牢的结合在一起。正因如此,磺酰脲类化合物和其他弱酸一起竞争蛋白受体结合位点,在有其他蛋白结合药物存在的情况下可能会使游离药物浓度水平上升。即使剂量调节得很正确,也可能出现短期错位,应注意药物间的相互作用。

图18-2 磺酰脲类化合物的弱酸性

(3)药代动力学 磺酰脲类化合物的药代动力学特征见表18-2。从这里我们可以看出,与其他大多数化合物相比,氯磺丙脲的作用时间相当长。

表18-2 磺酰脲类化合物的药代动力学性质

(4)构效关系 脲上的氮原子周围的空间应该合理,脲基上的取代基应具有一定的体积和亲脂性。甲基和乙基取代都没有活性。取代基的碳原子数在3~6时,则具有显著的降血糖活性;但当碳原子数超过12时,活性消失。通常,磺酰基芳环上具有一取代基(通常取代在对位)。很多简单的取代基取代化合物都具有活性如甲基、氨基、乙酰基、卤素和三氯甲基等。取代基能影响该类药物的作用持续时间。这是因为磺酰脲类易从胃肠道吸收进入血液,和血浆蛋白结合。磺酰脲类药物的代谢主要发生在肝脏内,代谢产物大都经肾排泄。第一代磺酰脲类降糖药在体内代谢部位主要是磺酰脲基的对位,由于蛋白结合率和代谢速率的不同造成了它们作用时间的差异。如甲苯磺丁脲的分子中具有对位甲基,在体内易发生氧化生成对羟甲基苯磺丁脲。虽然此代谢物仍保留一定的降血糖活性,但它迅速被进一步氧化成酸而失活,其半衰期仅为4.5~6.5小时。当以卤素取代甲基,使其生成氯磺丙脲,由于氯原子不易代谢失活,其半衰期长达24~24小时。同时,由于氯原子不易被氧化,故常以原形从肾排出。对位如引入体积较大的取代基如β-芳酰氨乙基时,活性更强,此即第二代口服降血糖药。其特点是吸收迅速,与血浆蛋白的结合率高,作用强且长效、低毒。其在体内主要经脂环的羟基化而失活。

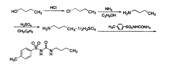
甲苯磺丁脲(Tolbutamide)

化学名为1-丁基-3-(对甲苯基磺酰基)脲素。

本品为白色结晶或结晶性粉末,无臭、无味。易溶于丙酮、三氯甲烷,可溶于乙醇,几乎不溶于水。mp.126~130℃。

本品具有酰脲结构,显酸性,可溶于氢氧化钠溶液;酰脲结构在酸性溶液中受热易水解。

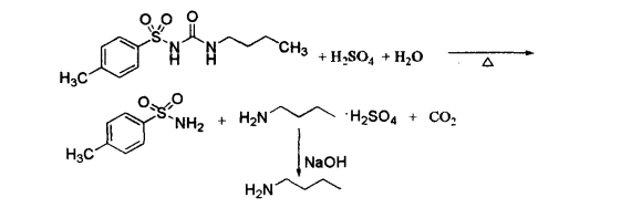
将本品加入硫酸溶液,加热回流,放冷,即析出白色沉淀,过滤,所得固体用水重结晶,干燥,测得其溶点约为138℃。

在以上滤液中加20%氢氧化钠使成碱性后,加热,即生成正丁胺的特臭。

本品可由正丁醇氯化、胺化、成盐后,与对甲苯磺酰脲缩合来制备。

磺酰脲类化合物会和其他弱酸一起竞争蛋白受体结合位点,如果同服,可能会使游离药物浓度水平上升。例如,如果患者服用甲苯磺丁脲的同时也服用双香豆素,可延长后者的抗凝血时间,甚至导致出血。

甲苯磺丁脲分子中的对位甲基在体内易发生氧化代谢生成对羟甲基苯磺丁脲(图18-3),虽然此代谢物保留一定的降血糖活性,但它迅速被进一步氧化成酸而失活,其半衰期为4.5~6.5小时。

磺酰脲类降糖药代谢速率不同,造成了它们作用时间的差异。当采用卤素取代甲基,如氯磺丙脲,由于氯原子不易代谢失活,丙基链上的羟化作用相对缓慢,因此氯磺丙脲是一种长效药物,其半衰期长达36小时,只需每日给药一次,同时,由于氯原子不易被氧化,故常以原型从肾脏排出。

图18-3 甲苯磺丁脲的代谢途径

本品的降糖作用较弱但安全有效,用于治疗轻、中度2型糖尿病,尤其是老年糖尿病患者;注射剂用于诊断胰岛素瘤。本品口服后迅速由胃肠道吸收,30分钟即可在血内检出,2~3小时达血浆浓度峰值,持效6~12小时,属短效磺酰脲类降糖药。

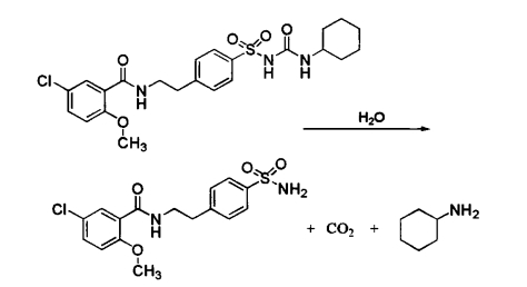
格列本脲(Glibenclamide)

化学名为N-[2-[4-[[[(环己氨基)羰基]氨基]磺酰基]苯基]乙基]-2-甲氧基-5-氯苯甲酰胺,又名优降糖,氯磺环己脲。

本品为白色结晶性粉末,几乎无臭、无味。不溶于水和乙醚,略溶于三氯甲烷、甲醇,乙醇中微溶,易溶于二甲基甲酰胺。mp.170~174℃,熔融时同时分解。

本品在常温、干燥环境中稳定。其酰脲结构在潮湿环境中,可以发生水解反应。

本品在甲醇或三氯甲烷或三氯甲烷-甲醇(1∶1)溶液中能逐渐转化成4-[2-(5-氯-2-甲氧基-苯甲酰氨)-乙基]-苯磺酰胺基-甲酸乙酯。

4-[2-(5-氯-2-甲氧基-苯甲酰氨)-乙基]-苯磺酰胺基-甲酸乙酯

大部分第二代磺酰脲类口服降血糖药的化学结构中,苯环上磺酰基的对位引入了较大的结构侧链,脲基末端都带有酯环或含氮酯环。这些药物的体内代谢方式与第一代有很大不同,主要方式是脂环的氧化。格列本脲代谢后主要生成反式-4'-羟基格列本脲,同时伴随生成一些顺式3'-羟基化合物。4'-羟基代谢物的活性是原型药的15%。

图18-4 格列本脲的代谢途径

本品作为第二代磺酰脲类口服降血糖药的第一个代表药物,于1969年在欧洲首次上市。其作用比甲苯磺丁脲强200倍,属于强效降糖药。不良反应较少,对甲苯磺丁脲无效的病人也能获得较好的疗效。用于中、重度2型糖尿病。

2.非磺酰脲类

这类药物和磺酰脲类药物的化学结构虽不同,但有相似的作用机制,亦可刺激胰岛素的分泌。与磺酰脲类药物不同的是该类药物在胰腺β细胞上另有其结合位点。此类药物主要有瑞格列奈(Repaglinide)和那格列奈(Nateglinide)。

瑞格列奈是氨甲酰基苯甲酸的衍生物,分子结构中含有一手性碳原子,其活性有立体选择性,(S)-(+)-异构体是(R)-(-)-异构体活性的100倍,临床用其(S)-(+)-异构体。该药可空腹或进食时服用,均吸收良好,30~60分钟后达血浆峰值,并在肝内快速代谢为非活性物,大部分随胆汁排泄,被称为“膳食葡萄糖调节剂”,临床上主要用于饮食控制、降低体重及运动锻炼不能有效控制高血糖的2型糖尿病。

那格列奈为氨基丙酸的衍生物,该药对β细胞的作用更迅速,持续时间更短,副作用小。该药可以单独用于经饮食和运动不能有效控制高血糖的2型糖尿病。也可用于使用二甲双胍不能有效控制高血糖的2型糖尿病,采用与二甲双胍联合应用,但不能替代二甲双胍。那格列奈不适用于对磺脲类降糖药治疗不理想的2型糖尿病患者。

(二)胰岛素增敏剂

胰岛素抵抗在2型糖尿病的发生、发展中起着重要的作用,大多数2型糖尿病患者存在胰岛素抵抗,从而使胰岛素不能发挥其正常生理功能。胰岛素抵抗的主要原因是,胰岛素抗体与胰岛素结合后妨碍胰岛素的靶部位转运,使得机体对胰岛素的敏感性下降。因此,开发和使用能提高患者对胰岛素敏感性的药物,改善胰岛素抵抗状态,对糖尿病的治疗有着非常重要的意义。该类药物主要有噻唑烷二酮类和双胍类。

1.噻唑烷二酮类

噻唑烷二酮类(thiazolidinediones,TZD)药物是近年来发现的一类新型口服胰岛素增敏剂,是以噻唑烷二酮类化学结构为基础的一系列衍生物。与磺酰脲类药物不同,该类药物不刺激胰岛素分泌,而是通过减少胰岛素抵抗起作用。它能增强人体组织对胰岛素的敏感性,增强胰岛素的作用,从而增加肝脏对葡萄糖的摄取,抑制肝糖的输出。该类药物主要包括曲格列酮(Troglitazone)、罗格列酮(Rosiglitazone)和吡格列酮(Pioglitazone)等。

1997年,第一个噻唑烷二酮类胰岛素增敏剂曲格列酮上市。之后因陆续出现肝损害报告而撤出。1999年,罗格列酮和吡格列酮上市,成为此类药物目前应用的主要品种。

罗格列酮的降血糖作用是曲格列酮的100倍,被认为是现在临床应用中的药效最强的噻唑烷二酮类药物,其马来酸盐可单独应用或与二甲双胍联合应用治疗2型糖尿病,它不仅能降低血糖,改善胰岛素抵抗,还能降低甘油三酯(TG),提高高密度脂蛋白(HDL)的水平,可作为2型糖尿病患者,特别是肥胖、存在胰岛素抵抗的患者的首选药物。主要副作用是可以引起肝脏丙氨酸氨基转移酶(ALT)水平的升高、轻度至中度浮肿及贫血。

吡格列酮的降血糖作用与罗格列酮相比无明显差异或稍低,但在降脂方面较好。吡格列酮的不良反应主要有上呼吸道感染、头痛、鼻窦炎、肌炎、糖尿病加重、咽炎等,一般均为轻度至中度,还有体重增加及浮肿等不良反应,与罗格列酮相似。

马来酸罗格列酮(Rosiglitazone Meleate)

化学名为5-[[4-[2-(甲基-2-吡啶氨基)乙氧基]苯基]甲基]-2,4-噻唑烷二酮(Z)-2-丁烯二酸盐。

本品为白色或类白色粉末,pKa6.1~6.8,mp.122~123℃,可溶于乙醇和pH 2.3的缓冲溶液中,并随pH升高溶解度降低。

罗格列酮是一种高选择性过氧化酶体-增殖系统活化受体γ(peroxisome proliferatorsactivated receptorγ,PPAR-γ)激动剂。其作用机制是通过与PPAR-γ结合,激活脂肪、骨骼肌和肝等胰岛素所作用组织的PPAR-γ,增加多种蛋白质的合成,调节胰岛素应答基因的转录,控制血糖的生成、转运和利用;其改善胰岛素敏感性的另一个机制是通过增强葡萄糖转运因子GLUT-4对葡萄糖的摄取,使葡萄糖的摄取增加,从而降低高血糖。

罗格列酮在体内的代谢产物至少有14种,主要代谢产物包括N-脱甲基、吡啶环的羟基化等,进而与硫酸或葡萄糖醛酸结合后排泄,所有代谢产物均无药理活性(图18-5)。

罗格列酮临床上主要用于治疗经饮食控制和锻炼治疗效果仍不满意的2型糖尿病患者。可单独应用,也可以与磺酰脲类或双胍类合用治疗单用磺酰脲类或双胍类血糖控制不佳的2型糖尿病患者。主要副作用是引起肝中丙氨酸氨基转移酶(ALT)水平的升高、轻度至中度浮肿及轻度贫血。

图18-5 罗格列酮的代谢途径

2.双胍类

早在1918年人们就发现胍可以降低动物体内血糖水平,但由于毒性较大没有医疗使用价值。20世纪50年代苯乙双胍(Phenformine)降糖作用的发现才使双胍类口服降糖药物开始在临床上广泛应用。

双胍类的降糖机制与磺酰脲类不同,不直接促进胰岛素的分泌,而是抑制糖异生,促进外周组织对葡萄糖的摄取和利用,改善机体的胰岛素敏感性,它能明显改善患者的糖耐量和高胰岛素血症,降低血浆游离脂肪酸和血浆甘油三酯水平。因此双胍类降糖药成为肥胖伴胰岛素抵抗的2型糖尿病患者的首选药。

本类药物主要有苯乙双胍和二甲双胍(Metformin),前者因可引起乳酸增高,可能发生乳酸性酸中毒,已较少使用,在临床广泛使用的是毒性较低的二甲双胍。

盐酸二甲双胍(Metformin Hydrochloride)

化学名为1,1-二甲基双胍盐酸盐。

本品为白色结晶或结晶性粉末,无臭。mp.220~225℃。易溶于水,可溶于甲醇,微溶于乙醇,不溶于丙酮、三氯甲烷或乙醚。

二甲双胍具有高于一般脂肪胺的强碱性,其pKa值为12.4。其盐酸盐的1%水溶液的pH为6.68,呈近中性。

本品的水溶液显氯化物的鉴别反应。

本品的水溶液加入10%亚硝基铁氰化钠溶液、铁氰化钾试液、10%氢氧化钠溶液后,3分钟内溶液显红色。

本品可由氯化二甲基铵和双氰胺在130~150℃加热0.5~2小时缩合来制备。

二甲双胍主要在小肠内吸收,吸收快,半衰期短(1.5~2.8小时),生物利用度大约为60%。与磺酰脲类化合物不同,它并不与蛋白相结合,也不被代谢,几乎全部以原型由尿排出,因此肾功能损害者禁用,老年人慎用。

二甲双胍可单独使用或与磺酰脲类联合用药,广泛用于2型糖尿病的治疗,特别适用于过度肥胖并对胰岛素耐受患者。有时会出现体重减轻的现象。本品的降糖作用虽弱于苯乙双胍,但其副作用小,罕有乳酸性酸中毒,也不引起低血糖,使用较为安全。

急性的副作用包括腹泻、腹部不适、恶心和厌食。可以通过缓慢的提高给药剂量以及在进餐时服用药物的方法使这些状况降到最低程度。

(三)α-葡萄糖苷酶抑制剂

食物中的碳水化合物主要是淀粉和蔗糖,淀粉和蔗糖需经消化,水解转化为葡萄糖才能被吸收利用。水解依赖于α-葡萄糖苷酶的作用。

α-葡萄糖苷酶抑制剂(α-glucosidase inhibitors)可竞争性地与α-葡萄糖苷酶结合,抑制该酶的活性,从而减慢糖类水解为葡萄糖的速度,并减缓了葡萄糖的吸收,可降低餐后血糖,但并不增加胰岛素的分泌。α-葡萄糖苷酶抑制剂对碳水化合物的消化和吸收只是延缓而不是完全阻断,最终人体对碳水化合物的吸收总量不会减少,因此,不会导致热量丢失;此外,该类药物不抑制蛋白质和脂肪的吸收,故不会引起营养物质的吸收障碍。此类药物对1、2型糖尿病均适用。

本类药物常用的有阿卡波糖(Acarbose)、伏格列波糖(Voglibose)、米格列醇(Miglitol),它们的化学结构均为糖或多糖衍生物。

阿卡波糖是从放线菌属微生物中分离得到的低聚糖,主要作用于淀粉、葡萄糖水解的最后阶段,它可通过降低单糖的吸收速率而显著降低餐后的血糖水平,减少甘油三酯的生成及肝糖原的生成。临床应用于1、2型糖尿病患者。主要副作用为胃肠道反应。

对构效关系的多方面研究表明,有活性的抑制剂含有一个共同的活性位点,即包括一个取代的环己烷以及一个4,6-双脱氧-4-氨基-D-葡萄糖单元,似乎在这个核心结构中的二级氨基基团阻碍了α-葡萄糖苷酶中的一个重要的羰基对底物糖苷氧键的质子化。近年来通过对小分子的筛选发现了几种其他的α-葡萄糖苷酶抑制剂,其中伏格列波糖和米格列醇已经上市。

伏格列波糖于1994年在日本上市。它能降低多聚体物质释放单糖的速度,因而也就可以降低餐后的葡萄糖水平。伏格列波糖还可以将遗传性肥胖大鼠体内的葡萄糖、甘油三酯以及胰岛素维持在一个较低的水平,这表明除了糖尿病之外,该药对诸如肥胖症等也可能有效。

米格列醇于1998年问世,它的治疗效果与阿卡波糖类似。然而与阿卡波糖不同的是,米格列醇口服给药后能被迅速而且完全的吸收进入血液。它主要分布于细胞外部空间,并能迅速被肾脏清除,但没有证据表明它能被肝脏代谢。它也不会被转运进入中枢神经系统。

此类降糖药能降低餐后血糖而对降低空腹血糖无作用,不增加胰岛素的分泌,且在禁食状态下服用该类药不会降低血糖,使用安全。主要用于单用磺脲类或双胍类餐后血糖控制不理想的患者,或单独用于较轻的餐后血糖高者,临床上常与磺酰脲类、双胍类或胰岛素联合应用以较好地控制血糖。

(四)二肽基肽酶-Ⅳ抑制剂

二肽基肽酶-Ⅳ(Dipeptidyl Peptidase-Ⅳ,DPP-Ⅳ)是以二聚体形式存在的高特异性丝氨酸蛋白酶,由766个氨基酸组成,在血浆和许多组织(血管内皮、肝、肾、皮肤、前列腺、淋巴细胞、上皮细胞)广泛存在。它的天然底物是胰高血糖素样肽(GLP-1)和葡萄糖促胰岛素多肽(GIP)。GLP-1具有多种生理功能,在胰腺可增加葡萄糖依赖的胰岛素分泌、抑制胰高血糖素的分泌,使胰岛β细胞增生;在胃肠道可延缓餐后胃排空,从而延缓肠道葡萄糖吸收。GIP具有促胰岛素分泌功能。DPP-Ⅳ能快速降解体内的GLP-1和GIP,使之失活。药物对DPP-Ⅳ的抑制作用可降低其对GLP-1和GIP的代谢失活,增加糖尿病患者的GLP-1水平,使GLP-1的促胰岛素分泌作用得到增强,从而发挥降血糖作用。1966年首次在大鼠肝脏中分离得到DPP-Ⅳ,最初主要用于丝氨酸肽酶催化机制的研究。1990年DPP-Ⅳ作为2型糖尿病治疗的新靶点引起关注。2003年其蛋白质三维结构的确定,成为DPP-Ⅳ抑制剂研究的一个重要里程碑。

DPP-Ⅳ抑制剂的发展可分3个阶段:第一阶段开发的抑制剂对DPP-Ⅳ的抑制作用强,但对DPP-7、DPP-8和DPP-9等相关酶选择性不高。研究显示,对DPP-7的抑制会导致休眠T细胞死亡;对大鼠DPP-8或DPP-9的抑制可能引起秃毛、血小板减少、网状细胞减少、脾脏增大以及多器官组织病理学改变等,增加死亡率;对狗DPP-8或DPP-9的抑制会产生肠胃毒性;对人DPP-8或DPP-9的抑制会减弱T细胞的活性,影响机体免疫功能。因此,新药开发要求化合物对DPP-Ⅳ具有较高的选择性。第二阶段开发的抑制剂对DPP-Ⅳ具有高抑制活性和高选择性,一般对DPP-8或DPP-9抑制的IC50值均在其对DPP-Ⅳ抑制的1000倍以上。第三阶段开发的抑制剂,不仅具有高活性和高选择性,还要求药物的作用时间能持续24小时以上。

西他列汀(Sitagliptin)是近年首个上市的DPP-Ⅳ抑制剂,是一个β-氨基酸衍生物。默克公司研发的磷酸西他列汀(Sitagliptin Phosphate)于2006年10月获美国FDA批准上市,2007年3月磷酸西他列汀与二甲双胍盐酸盐复方制剂(Janumet)相继上市,主要用于2型糖尿病的治疗,疗效显著。西他列汀对1型糖尿病和糖尿病酮症酸中毒无效。

诺华公司研发的另一DPP-Ⅳ抑制剂维达列汀(Vildagliptin)及其与二甲双胍的复方制剂,2007年9月和11月先后获欧盟委员会批准,复方制剂主要用于二甲双胍最大耐受剂量仍不能有效控制血糖水平或现已联合使用维达列汀与二甲双胍治疗的2型糖尿病患者。研究显示,维达列汀用于2型糖尿病治疗可获得满意效果。

此外,百时美施贵宝公司与阿斯利康公司合作开发的沙格列汀(Saxagliptin)也已进入Ⅲ期临床。

西他列汀和维达列汀的药代动力学参数见表18-3。

表18-3 DPP-Ⅳ抑制剂的药动学参数