1
药物化学
1.11.2.1.1 一、胰岛素
一、胰岛素

胰岛素(Insulin)是胰岛β细胞受到内源或外源性物质如葡萄糖、乳糖、核糖、精氨酸、胰高血糖素等的刺激而分泌的一种蛋白激素,它在体内起调节血糖、脂肪及蛋白质代谢的作用,对代谢过程具有广泛影响,是治疗糖尿病的有效药物。

1926年,Abel首次从动物胰脏中提取分离得到了胰岛素结晶;1955年,阐明了牛胰岛素全部氨基酸序列的一级结构;1965年,我国科学家最早将胰岛素全合成成功。这是我国科学工作者在理论科学研究方面的重大突破,标志着人工合成蛋白质的时代已经开始。

胰岛素由51个氨基酸组成,分成两个肽链:A链和B链。A链有21个氨基酸,B链有30个氨基酸。其中A7(Cys,半胱氨酸)-B7(Cys)、A20(Cys)-B19(Cys)四个半胱氨酸中的巯基形成两个二硫键,使A、B两链连接起来。此外A链中A6(Cys)与A11(Cys)之间尚存在一个二硫键(图18-1)。

图18-1 人胰岛素原的一级结构及生成胰岛素的裂解位点

不同种动物的胰岛素分子中的氨基酸种类稍有差异。动物源性的胰岛素中,最重要的算是猪胰岛素和牛胰岛素了,它们是唯一可以用于糖尿病治疗的动物源性胰岛素。在表18-1中可以看出,猪胰岛素和人胰岛素的区别仅在于它们B链C-端的残基不同。牛胰岛素除了B链上C-端的单个残基外,A链的第8位和10位的残基也与人胰岛素不同。显然,相比之下猪胰岛素比牛胰岛素更接近于人胰岛素,因此有人断言,在人体内,猪胰岛素引起的副反应更少,但这需要进一步实验证明。

表18-1 人及动物胰岛素

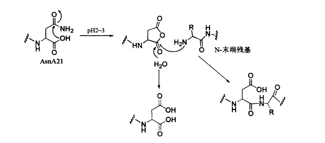
胰岛素在水、乙醇、三氯甲烷或乙醚中几乎不溶,易溶于矿酸或氢氧化钠溶液中。胰岛素具有典型的蛋白质性质,能发生蛋白质的各种特殊反应。等电点在pH5.35~5.45,在微酸性环境中稳定(pH2.5~3.5)。溶液中的胰岛素不稳定,如胰岛素锌溶液在pH2~3,4℃时,其A链21位天冬酰胺发生脱氨反应,反应速度约为1%~2%/月。反应时,天冬酰氨残基先转化成酸酐,再与水反应水解成酸或与B链上N末端的苯丙氨酸反应,生成交联分子。若在26℃放置半年,则90%的胰岛素转化成脱氨产物。

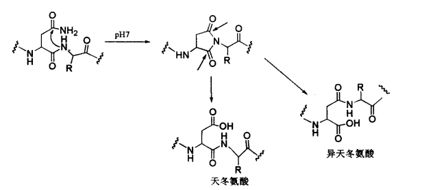
在中性条件下,脱氨反应发生在B链3位的天冬酰氨残基上,生成天冬氨酸衍生物。

此外胰岛素的降解反应还可发生A链8位苏氨酸和9位丝氨酸间的裂解,胰岛素之间或胰岛素与鱼精蛋白交联反应。

临床上用得最多的是猪胰岛素。这种胰岛素对某些病人会产生免疫反应及一系列副作用,如自发性低血糖、耐药性、改变药物动力学方式,加重糖尿病患者微血管病变、加速病人胰岛功能衰竭和引起过敏反应等。后来发现,这是因为这种产品中常含有来自胰脏中的其他多肽成分:如胰高血糖类、胰多肽、血管肠多肽及胰岛素原等不纯物质,导致了这些副反应。为此,一些国家的药典(包括《中国药典》)已将上述多肽杂质列为检查项目,允许含量规定在相当低的限度内,如低于10ppm的高纯度胰岛素,此时免疫反应已显著减少。另一方面,将猪胰岛素通过酶化学和半合成法,使B链C-末端的丙氨酸转变成苏氨酸则成为人胰岛素,这方面的研究已有相当的成绩,已实现了工业化生产并有商品上市。现在用基因工程方法制备人胰岛素,已成为生产胰岛素的重要手段。