1
药物化学
1.11.1.4.4 四、孕激素拮抗剂
四、孕激素拮抗剂

孕激素拮抗剂(progestins antagonists)指的是与孕激素竞争受体并拮抗其活性的化合物,也被称作抗孕激素(antiprogestins)。它可以干扰受精卵的着床和妊娠反应过程,达到抗早孕的目的,还可以用于治疗激素依赖型乳腺癌。1982年法国Roussel-Uclaf公司推出了第一个抗孕激素米非司酮(Mifepristone)。

米非司酮(Mifepristone)

化学名为11β-(4-二甲氨基苯基)-17β-羟基-17-(α-丙炔基)-雌甾-4,9-二烯-3-酮;(11α,17β)-11-[4-(dimethylamino)phenyl]-17-hydroxy-17-(1-propynyl)estra-4,9-dien-3-one。

本品为淡黄色结晶性粉末,无臭无味。本品在甲醇或二氯甲烷中易溶,在乙醇或乙酸乙酯中溶解,在水中几乎不溶。熔点192~196℃。

米非司酮的开发成功是以相应的激素受体系统的研究为基础的,是现代新药开发的一个范例。它的基本母核是19-失碳炔诺酮。以前在甾体C-11位只有羟基和氧的取代,现在在甾体的C-11位引入了一个体积较大的二甲苯氨基。17α-位引入了丙炔基而不是乙炔基,可能是这两个不同点增加了与孕激素受体的亲和力,也增强了化合物的化学稳定性。

米非司酮是孕激素受体拮抗剂,本身无孕激素活性,它与子宫内膜的孕激素受体的亲和力比黄体酮高5倍,在体内的作用部位为子宫,并不影响垂体-下丘脑内分泌轴的分泌调节。米非司酮在临床上主要是抗早孕,在妊娠早期使用可诱发流产。它与前列腺素(PG)类的米索前列醇(Misoprostol)合用,对于停经不超过49天的早孕妇女,可以得到90%~95%的完全流产率,孕期越短,效果越好,并且副作用小,是最佳的终止早孕的方案。但是服用本品一周内,应避免服用阿司匹林和其他非甾体类抗炎药。

米非司酮的成功上市,使药物代替手术的方式来终止妊娠成为了现实,而且随着研究的深入,发现米非司酮还可以导致中期妊娠的终止和死胎引产,对子宫肌瘤与子宫内膜异位症也有较弱的效果。

米非司酮口服以后在体内被迅速吸收,在90分钟时达到血药浓度峰值,口服生物利用度可达到70%,由于明显的肝脏首过效应,消除半衰期约为18小时。

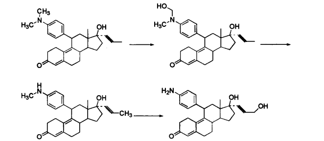
米非司酮在体内的生物转化过程如图17-16。

图17-16 米非司酮在体内的生物转化过程

代谢过程中首先N-甲基被氧化为羟甲基,随后脱去羟甲基得到N-单甲基化合物,它仍具有活性,进一步代谢生成N-双去甲基及羟基丙炔基化合物。

米非司酮的合成路线如图17-17。

图17-17 米非司酮的合成路线

米非司酮采用全合成法制备,用炔诺酮的合成中间体C-19甲酸为起始原料,一共经过8步反应,是国内已经申请了专利的路线。