1
药物化学
1.11.1.3.6 六、雌激素拮抗剂
六、雌激素拮抗剂

雌激素拮抗剂指的是可以拮抗雌激素的药物,主要用于纠正生育过程和治疗肿瘤。雌激素拮抗剂可分为三类:阻抗型雌激素(Impeded estrogens)、三苯乙烯类抗雌激素(Triphenylethylene antiestrogens)和芳构酶抑制剂(Aromatase inhibitors)。阻抗型雌激素与存在于靶组织中的雌激素受体相互作用,形成配体-受体复合物,但是由于从雌激素受体解离下来的速度太快,所以不能产生很强的雌激素作用,但是局部高浓度的抗雌激素能与雌二醇竞争性的争夺染色体上的雌激素受体的位点。代表药物是雌三醇。

(一)三苯乙烯类抗雌激素

人们对已经得到的二苯乙烯类雌激素化合物进行结构改造,以期得到更好的雌激素代替品,但是偶然发现,一系列的三苯乙烯类化合物的雌激素活性不但不高,而且还有拮抗雌激素的活性,并由此开发出了一类具有三苯乙烯类基本结构的抗雌激素药物。临床上应用较多的代表药物是氯米芬(Clomifene)和他莫昔芬(Tamoxifen)。

一些三苯乙酰类抗雌激素药物的特点和用途见表17-5。

表17-5 一些三苯乙烯类抗雌激素及他们的特点和用途

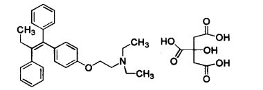
枸橼酸他莫昔芬(Tamoxifen Citrate)

化学名为(Z)-N,N-二甲基-2-[4-(1,2-二苯基-1-丁烯基)苯氧基]-乙胺枸橼酸盐;(Z)-2-[4-(1,2-dipheny-1-butenyl)phenoxy]-N,N-dimethylethanamine citrate。

本品为白色或类白色结晶性粉末,无臭。本品在甲醇中溶解,在乙醇或丙酮中微溶,在三氯乙烷中极微溶解,在水中几乎不溶,在冰醋酸中易溶。熔点为142~148℃,在溶融时同时分解。

他莫昔芬是雌激素部分激动剂,临床上应用的是他莫昔芬的Z型非对映体口服制剂,在胃肠道内吸收很好。由于他莫昔芬的肝肠循环和与白蛋白的高结合力,使得消除半衰期长达7天左右。他莫昔芬对于绝经以后的妇女呈现雌激素样活性。抗凝血酶被抑制,雌激素调节血浆调节蛋白上升,引起阴道上皮部分角质化。重要的是,他莫昔芬还可以引起雌激素样的骨密度增加,降低妇女骨折的风险。此外,他莫昔芬还可以造成低密度脂蛋白胆固醇的下降,这使得冠心病的发病率大大降低。

他莫昔芬在体内的代谢过程如图17-10。

图17-10 他莫昔芬在体内的代谢过程

本品由CYP3A4进行脱甲基化得到其主要的代谢物N-脱甲基他莫昔芬,再进一步代谢生成代谢物Y,N-脱甲基他莫昔芬和代谢物Y也有抗雌激素活性。还可被CYP2D6代谢得到次要的代谢物4-羟基他莫昔芬,与雌激素受体的亲和力比他莫昔芬更高,对人体乳腺癌细胞的生长抑制作用是他莫昔芬的100倍,由于分子中含有羟基,容易与葡萄糖醛酸和硫酸结合生成水溶性的代谢物排出体外,因此消除半衰期也比他莫昔芬短。另一个代谢物为醚键断裂成羟基的代谢物E,具有雌激素活性。

乳腺癌可分为雌激素依赖型与非雌激素依赖型两种。雌激素依赖型乳腺癌,在癌细胞中存在大量的雌激素受体,而雌激素是雌激素依赖型乳腺癌癌细胞的生长因子,使用抗雌激素类药物治疗能降低血液和肿瘤中的雌激素浓度,因而有显著的疗效。

他莫昔芬对乳腺雌激素受体产生拮抗作用,临床上用于治疗雌激素依赖型的乳腺癌。

(二)选择性雌激素受体调节剂

妇女在进入绝经期以后,雌激素水平的下降成为骨质疏松的首要原因,雌激素替代疗法虽然可以缓解骨质疏松的状况,但是却会引起子宫内膜的增生以及增加子宫内膜癌和乳腺癌的发病率。因此人们就希望开发出一种既能在乳腺和子宫阻断雌激素的作用,又能产生雌激素样活性,保持骨密度,降低循环中胆固醇水平的理想药物。这种概念称为选择性雌激素受体的调节作用,这种类型的药物称为选择性的雌激素受体调节剂(selective estrodren receptor modulators,SERMs)。

SERMs的作用机制是,SERMs作为配体与受体相互作用,因配体的不同,受体呈现出不同的构象,所形成的配体-受体复合物作用于不同的部位,产生激活或是抑制作用。

第一个上市的SERMs是雷洛昔芬(Raloxifene),于1998年在美国首先上市。雷洛昔芬是三苯乙烯类的刚性类似物,所以不存在几何异构的问题。在临床上雷洛昔芬用于维持绝经后妇女的骨密度,治疗骨质疏松症。此外,雷洛昔芬在乳腺组织中还有抗雌激素作用,不呈现子宫的雌激素样作用。对于使用雷洛昔芬来预防骨质疏松的妇女,既对子宫内膜无刺激,又可减少患乳腺癌的风险。

阿佐昔芬(Arzoxifene)是第三代的选择性雌激素受体调节剂,有望被批准用于治疗已经转移了的雌激素依赖型乳腺癌,它对乳腺和子宫的雌激素受体呈拮抗作用,对骨骼和心血管的雌激素受体呈激动作用。前期的临床试验证明,阿佐昔芬对骨质疏松症及乳腺癌治疗均有良好的效果。

此类药物连续大剂量服用时可引起卵巢肥大,因此卵巢囊肿患者禁用。

(三)芳构酶抑制剂

三唑类的非甾体芳构酶抑制剂代表药物有阿那曲唑(Anastrozole)、来曲唑(Letrozole)和依西美坦(Exemestane)等。它们都是芳构酶竞争性的抑制剂,在组织中选择性的抑制睾丸酮转化成雌激素的过程,降低循环中的雌酮、雌二醇和雌酮硫酸酯的浓度,但是不影响肾上腺皮质激素、醛甾酮和甲状腺激素的合成。