1
药物化学
1.11.1.1 第一节 概述
第一节 概述

天然激素是人体内源性的活性物质,是由内分泌腺上皮细胞直接分泌进入血液或淋巴液的化学信使物质,被血流带到体内的特定部位——靶器官,在这些靶器官或组织的细胞中存在着接受激素信息的蛋白(激素受体),形成激素-受体复合物并进而引起一系列的发激素效应。

甾体是一类含环戊烷并多氢菲的四并环母核结构的化合物。甾体激素,是特指含有甾体母核结构的激素类物质,主要有性激素和肾上腺皮质激素,是维持生命、调节机体物质代谢、细胞发育分化、促进性器官发育、维持生殖的重要的活性物质。当体内甾体激素水平低下或过高时,会出现一系列症状,影响生活质量,丧失生殖能力,严重的甚至危及生命。甾体激素药物能用于治疗多种疾病,同时也是计划生育及产生免疫抑制等不可缺少的药物。

20世纪30年代,从动物腺体中分离出天然甾体激素——雌酮(Estrone,1932年)、雌二醇(Estradiol,1932年)、睾丸酮(Testosterone,1935年)、皮质酮(Corticosterone,1939年)等并得到它们的结晶,明确了化学结构,并且在实验室全合成成功。

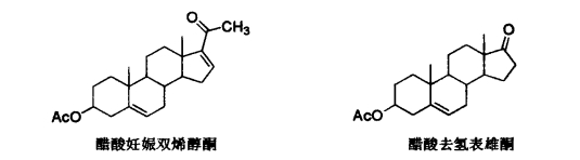
20世纪40年代发明了用薯芋皂苷元(Diosgenin)为原料,半合成各种甾体激素药物的工业技术,使得天然来源稀少的甾体激素药物的深入研究和普遍应用成为现实。从薯芋皂苷元得到的醋酸妊娠双烯醇酮(Dehydropregnenolone acetate)(双烯合成)、醋酸去氢表雄酮(Dehydroepiandrosterone acetate)成为各类半合成甾体激素药物的中间体,促进了甾体合成化学及甾体药物化学的迅速发展。

在1949年发现促肾上腺皮质激素(ACTH)及可的松能有效地治疗类风湿性关节炎的之后,甾体激素的使用范围逐步从替补治疗扩大到更广泛的领域,如皮肤病、过敏性哮喘等变态反应疾病的治疗以及在器官移植等方面的应用,并促使人们对于甾体的化学合成及其构效关系进行深入的研究,在此期间直至以后数十年得到了许多肾上腺皮质激素新药。

稍后,在甾体化合物工业化制备的过程中找到了微生物的转化方法,如:A环芳香化,引入双键及引入11位含氧基团等,使以植物皂苷元为原料的半合成法趋于完善。用微生物氧化胆甾醇或豆甾醇C-17位侧链的成功,开辟出一条异于薯芋皂素制备甾体化合物的新路线。微生物转化法的区域选择性和立体选择性均较好,专一性强,收率高,一步发酵常可代替几步化学反应。

20世纪60年代发明的甾体避孕药,是甾体激素的一个新的临床新用途,它促使了甾体化学、特别是孕激素化学研究的不断深入。在随后的几十年里,甾体激素的使用人数猛增至上亿,甾体药物的市场需求量的也大幅上升,推动了甾体激素工业化生产水平的发展。

70年代,甾体激素的全合成已实现工业化生产。由全合成法制得的D-18-甲基炔诺酮、D-18-甲基二烯炔诺酮已成为市场上重要的口服避孕药。

80年代以后,甾体激素药物的发展速度变得缓慢,但是在此期间,也有一个重要甾体激素问世,即米非司酮(Mifepristone)。它不仅成为一种抗早孕药物,而且还促进了一类抗孕激素药物的发展,用于计划生育及肿瘤疾病的治疗。

目前,已经有几十种疗效确实、副作用小、使用安全的甾体激素药物被收录入各国药典,在临床上得到了广泛的应用。甾体激素药物正在向多方面、多用途发展,人们希望在抗肿瘤药、心血管系统药物、计划生育及老年骨质疏松治疗药方面有新的突破。