1
药物化学
1.10.5.3 第三节 抗血吸虫药物
第三节 抗血吸虫药物

血吸虫病(Schistosomiasis)是由血吸虫的成虫寄生于人体所引起的地方性疾病,它是全世界流行最广,危害人民健康最严重的寄生虫病之一。血吸虫主要有三种,即流行于非洲北部的埃及血吸虫(Schistosoma haematobium);流行于非洲中部和拉丁美洲的曼氏血吸虫(Schistosoma mansoni)及流行于亚洲的日本血吸虫(Schistosoma japanicum)。在我国流行的血吸虫病由日本血吸虫引起,建国前流行严重,建国后流行基本得到控制,但近年来由于自然环境恶化等因素,在南方又有复流行和蔓延的趋势,应引起重视,加强防止。

日本血吸虫的生活史可分为蚴卵、毛蚴、胞蚴、尾蚴、童虫和成虫等阶段,自毛蚴至尾蚴的发育繁殖阶段以钉螺为中间宿主,成虫以人体或哺乳动物为终宿主。血吸虫发育的不同阶段均可对宿主引起不同的损害和复杂的病理反应。可造成急性或慢性肠炎、肝硬化,并导致腹泻、消瘦、贫血与营养障碍等疾患。

吸虫病治疗药可分为锑剂和非锑剂两类,锑剂是最早用于临床的吸虫病治疗药,主要有酒石酸锑钾(Antimony Potassium Tatrate)和没食子酸锑钠(Sodium Antimony Gallate),但因毒性较大,现已较少使用。非锑剂药物主要有吡喹酮(Praziquantel)、硝硫氰胺(Amoscanate)及其衍生物硝硫氰酯(Nitroscanate)。

硝硫氰胺和硝硫氰酯为异硫氰酸酯类广谱抗蠕虫药物,但对血吸虫有显著的杀灭作用,其作用机制可使虫体的三羧酸循环代谢受到干扰,虫体缺乏能量供应,最后导致死亡。另外,该药对钩虫病和姜片虫病也有效。临床上用于各种类型的血吸虫病,但由于排泄慢,可引起积蓄中毒。约有4%~8%的病人出现黄疸和转氨酶升高等副作用。异硫氰酸酯类药物的结构与活性关系的研究表明:硝硫氰胺类药物结构中异硫氰基既是药效团,也是毒性基团。将异硫氰基改为氨基甲硫酸酰胺或酯等基团也显抗日本血吸虫作用。如硝硫苯酯(Phenithionate),但毒性比硝硫氰胺低。还有我国创制的呋喃丙胺(Furapromide)对日本血吸虫病效果较好。奥替普拉(Oltipra)对曼氏血吸虫及埃及血吸虫有杀灭作用,而对日本血吸虫无效,临床用于治疗埃及血吸虫及曼氏血吸虫病,但其疗效不及吡喹酮。

吡喹酮(Praziquantel)

化学名为2-(环己甲酰基)-1,2,3,6,7,11b-六氢-4H-吡嗪并[2,1-a]异喹啉-4-酮;2-(cyclohexylcarbonyl)-1,2,3,6,7,11b-hexahydro-4H-pyrazino[2,1-a]isoquinolin-4-one。

本品为白色或类白色结晶性粉末;味苦。不溶于水或乙醚,溶于乙醇,在三氯甲烷中易溶。

本品分子中含有手性中心,左旋体的疗效高于消旋体,目前临床上仍使用其外消旋体。

本品是1980年在德国上市的异喹啉衍生物类广谱抗寄生虫药物,对日本血吸虫、埃及血吸虫及曼氏血吸虫均有显著的杀灭作用,且具有疗效高、毒性低、疗程短、使用方便等优点。是目前治疗血吸虫病的首选药。

吡喹酮对虫体的糖代谢有明显的抑制作用,影响虫对葡萄糖的摄入,促进虫体内糖原的分解,使糖原明显减少或消失。

吡喹酮口服后由肠道吸收,1~3小时血浆中浓度达峰值,分布于全身组织器官,尤以肝中浓度最高。经肝脏的首过效应后被代谢为羟基化物而失去活性,血清中主要代谢产物为单羟基化物,而在尿中50%~60%的吡喹酮为二羟基化物,并多以结合形式存在。

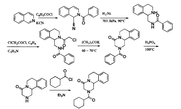
吡喹酮的合成是以异喹啉为起始原料,与苯甲酰氯和氰化钾经Reissert反应,生成氰基苯甲酰二氢异喹啉,经催化氢化同时进行分子重排,生成1-苯甲酰氨基甲基-1,2,3,4-四氢异喹啉,与氯乙酰氯缩合,生成1-苯甲酰氨基甲基-2-氯乙酰基-1,2,3,4-四氢异喹啉,在叔丁醇钾存在下脱氯化氢环合,生成2-苯甲酰-1,2,3,6,7,11b-六氢-4H-吡嗪并[2,1-a]异喹啉-4-酮,经磷酸水解去苯甲酰基,最后用环己甲酰氯进行酰化即得到吡喹酮。

(西安交通大学 陈有亮)