1
药物化学
1.10.5.2.2 二、咪唑类
二、咪唑类

咪唑类(Imidazoles)驱肠虫药物主要有左旋咪唑(Levamisole)、阿苯达唑(Albendazole)和甲苯达唑(Mebendazole)等。左旋咪唑为一种广谱的驱肠虫药物。对蛔虫、钩虫及蛲虫均具有驱除作用,对丝虫成虫及微丝蚴也有较强的作用。左旋咪唑的作用机制为选择性地抑制虫体肌肉中的延胡索酸还原酶,使延胡索酸不能还原为琥珀酸,从而干扰虫体肌肉的无氧代谢,减少能量的产生,使虫体肌肉麻痹随粪便排出体外,但不影响哺乳动物体内的琥珀酸脱氢酶。另外,左旋咪唑还是一种非特异性的免疫调节剂,可使免疫力较低的患者得到恢复,但不会过度提高正常免疫力。目前,临床上左旋咪唑大多作为免疫调节剂使用。左旋咪唑的外消旋体为四咪唑,其驱虫活性仅为左旋体的1/2~1/3倍,右旋体的毒性较大,故临床上仅使用左旋体。近年来因为发现可引起脑炎综合征或死亡,已很少单独使用。与甲苯咪唑合用,可减少用量和不良反应。

对左旋咪唑进行结构改造,保留咪唑环将其与苯环并合,得到噻苯达唑(Thiabendazole),具有抗肠虫作用,由此导致苯并咪唑类驱虫药物的发展,在苯并咪唑的2位和5位上引入各种取代基可以提高驱虫作用。相继合成了甲苯达唑(Mebendazole)、奥苯达唑(Oxibendazole)和阿苯达唑(Albendazole),它们均为苯并咪唑5位取代的衍生物,其驱虫作用广泛,可用于防治钩虫、蛔虫、蛲虫、鞭虫、粪类线虫等肠道寄生虫。在体内外均可抑制线虫对葡萄糖的摄入,导致糖原的耗竭,使虫体无法生存,而致使线虫的死亡,但对人体的血糖水平无影响。后来将阿苯达唑的丙硫基用丙基取代得帕苯达唑(Parbendazole),将甲苯达唑的苯基以环丙基取代得到环苯达唑(Ciclobendazole),两者都具有良好的抗肠虫作用,为广谱驱肠虫药。

阿苯达唑(Albendazole)

化学名为[(5-丙硫基)-1H-2-苯并咪唑基]氨基甲酸甲酯;[(5-propylthio)-1H-benzimidazol-2-yl]carbamic acid methyl ester。又名丙硫咪唑、肠虫清。

本品为白色或类白色粉末;无臭,无味。本品在丙酮或三氯甲烷中微溶,几乎不溶于乙醇,不溶于水;在冰醋酸中溶解。

本品为苯并咪唑类广谱驱虫药,对蛔虫、钩虫、蛲虫感染疗效显著。其作用机制是可选择性不可逆地抑制寄生虫肠壁细胞胞浆微管系统的聚合,阻断虫体对多种营养成分和葡萄糖的吸收,使虫体内源性糖原耗竭,并抑制延胡索酸还原酶,阻碍三磷酸腺苷的产生,致使寄生虫无法生存和繁殖。

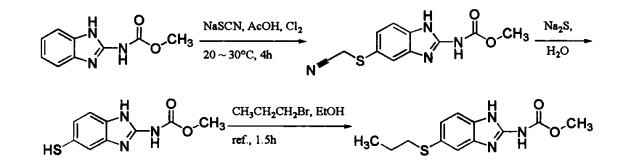
阿苯达唑合成以2-氨基苯并咪唑为原料,现多以农药多菌灵(Carbendazim)为起始原料,用冰醋酸作溶剂,通入氯气,与干燥硫氰酸钠反应,制得5-硫氰基苯并咪唑-2-氨基甲酸甲酯,再与硫化钠反应,将硫氰基转化为巯基,然后在乙醇中与溴丙烷反应,加热回流1.5小时,即得本品。

由于本品在水中的溶解度很低,因此在胃肠道中的吸收较少,这一性质有利于其发挥抗肠道寄生虫作用。被吸收的部分在肝脏中可迅速代谢并从胆汁中排出。

阿苯达唑在肝脏经氧化代谢生成阿苯达唑亚砜和阿苯达唑砜,其中前者仍具较强的抗寄生虫活性,阿苯达唑砜无活性。

阿苯达唑是苯并咪唑类药物中作用最强的一种。但此类药物除有胃肠道副作用外,还有致畸作用和胚胎毒性,故2岁以下儿童和孕妇禁用。