1
药物化学
1.10.5.1.2 二、疟疾的预防和治疗药物
二、疟疾的预防和治疗药物

根据化学结构将用于预防和治疗疟疾的药物分为喹啉醇类、氨基喹啉类、青蒿素类和2,4-二氨基嘧啶类。

(一)喹啉醇类

喹啉醇类药物的代表药物为奎宁(Quinine),它是从金鸡纳树皮中提取得到的一种生物碱。金鸡纳树原产南美洲,早在17世纪当地人就知道金鸡纳树皮可以治疗发热和疟疾,1820年分离得到奎宁用于临床,它对红细胞内期的疟原虫有较强的杀灭作用,可控制疟疾的症状。奎宁在体内的代谢主要发生在喹啉环的2位,其代谢物抗疟作用很小。因此,将此位置封闭,得到能杀死裂殖体的高效抗疟药物甲氟喹(Mefloquine),该药有两个手性中心,但四个光学异构体活性均相同,故临床上使用其外消旋体。主要用于对氯喹和对多种药物耐药的疟疾的预防和治疗。4-喹啉甲醇类抗疟药还包括用其他稠环代替喹啉环而得到的本芴醇(Benflumetol)和卤泛群(Halofantrine),两者都可用于对氯喹呈耐药性的疟原虫感染。本芴醇为我国科学工作者以芴环取代喹啉环而创制的新的抗疟药,具有疗效好、治愈率较高,尤其对耐氯喹的恶性疟疾效果好的特点。

奎宁(Quinine)

化学名为(8α,9R)-6'-甲氧基-脱氧辛可宁-9-醇;(8α,9R)-6'-methoxycinchonan-9-ol。本品为白色颗粒状或微晶性粉末,微风化性。无臭微味苦,易溶于乙醇、三氯甲烷和乙醚。微溶于水和甘油。具旋光性,比旋光度为+229°~+233°。

本品结构中含有两个碱性中心,其中奎宁环上氮原子的碱性较强(pKa8.8),而喹啉环上氮原子碱性较弱(pKa 4.2)。临床上使用的盐有硫酸奎宁(Quinine Sulfate)和二盐酸奎宁(Quinine Dihydrochloride)两种,硫酸盐难溶于水,多制成片剂。二盐酸盐水溶性较大,可制成注射剂。

从金鸡纳树皮中除得到奎宁外,还有奎尼丁(Quinidine)、辛可宁(Cinchonine)和辛可尼定(Cinchonidine)。其主要差别是它们的绝对构型分别为奎宁(3R∶4S∶8S∶9R)、奎尼丁(3R∶4S∶8S∶9S)、辛可宁(3R∶4S∶8S∶9S)、辛可尼定(3R∶4S∶8S∶9R),此类药物的光学异构体都具有抗疟活性,但内消旋体则无活性。金鸡纳生物碱中立体化学的差别可导致药效不同。奎尼丁对氯喹敏感的耐药恶性疟原虫的活性是奎宁的2~3倍,在体内也有相同的结果,只是奎尼丁比奎宁的心脏副作用和降血压作用更大。

口服奎宁后,吸收迅速,广泛分布于全身和脑脊液中,还可通过胎盘并分泌于乳汁中。其代谢反应主要为喹啉环2位的羟基化和奎宁环的6位羟基化,未代谢的原型药占总药量的10%左右,均经肾脏排出,无蓄积性。

将奎宁的仲醇羟基与氯甲酸乙酯反应,得到奎宁碳酸乙酯型前药,称为优奎宁(Euquinine),因不再具有奎宁的苦味,故又称无味奎宁。口服后在消化道内水解转化为奎宁而发挥抗疟作用,尤其适用于儿童服用。

奎宁和奎尼丁是治疗指数较低,并容易引起中毒的药物。这种毒性反应称为金鸡纳反应,主要表现为恶心、呕吐、耳鸣、头痛、听力和视力减弱,甚至发生暂时性耳聋。低血糖是使用金鸡纳生物碱后易发生的另一个较为严重的症状,其原因为金鸡纳生物碱能刺激胰腺释放胰岛素。

(二)氨基喹啉类

根据氨基所在位置不同分4-氨基喹啉和8-氨基喹啉两类。将4-氨基喹啉引入碱性侧链所得的药物主要有氯喹(Chloroquine),对裂殖原虫具显著、速效的杀灭作用。虽然在世界上多数地区已经出现了对氯喹呈耐药性的恶性疟原虫,但对三日疟原虫和卵形疟原虫都很有效,对间日疟原虫,也保持了较高的治疗价值。将氯喹的双氨基侧链变成取代氨酚侧链,得到咯萘啶(Pyronaridine),它能有效杀灭裂殖体,抗疟疗效显著,对氯喹呈耐药性的疟原虫的感染有效。氯喹的另一个衍生物为哌喹(Piperaquine),其抗疟作用与氯喹类似,经口服吸收后,先贮存于肝脏,再缓慢地释放进入血液,故作用时间比氯喹更为持久,临床上常用于抑制性预防疟疾症状。

8-氨基喹啉类,是在喹啉环8位引入氨基侧链,主要药物伯氨喹(Primaquine),能杀灭人体血液中各型疟原虫的配子体,并对良性疟及红细胞外期的裂殖子也有较强的杀灭作用,故作为防止疟疾复发和传播的首选药物。

磷酸氯喹(Chloroquine Phosphate)

化学名为N1,N1-二乙基-N4-(7-氯-4-喹啉基)-1,4-戊二胺二磷酸盐;N4-(7-chloro-4-quinolinyl)-N1,N1-diethyl-1,4-pentanediamine diphosphate。

本品为白色结晶性粉末;无臭,味苦;遇光渐变色,在水中易溶,在乙醇、三氯甲烷,乙醚或苯中几乎不溶。水溶液呈酸性,pH 3.5~4.5时较稳定。

本品分子中虽然存在手性碳,但光学异构体的活性差别不大,临床上使用其外消旋体。它的d-、l-和dl-异构体的活性相等,但d-异构体较l-异构体对哺乳动物的毒性较低。

氯喹口服吸收迅速而完全,1~2小时达血药浓度峰值。其在红细胞内的浓度比血浆内浓度高约10~20倍,氯喹与组织蛋白结合力很高,迅速分布于肝、胃、脾、肺等组织内,其浓度约为血浆中的200~700倍,在脑组织及脊髓中的浓度为血浆浓度10~30倍,半衰期为2.5~10日。氯喹在肝内代谢,主要代谢产物为去乙基氯喹,对于敏感的恶性疟,去乙基氯喹与氯喹等效,但对于耐药的恶性疟原虫,其活性则明显减少。

氯喹主要用于红细胞内期裂殖体,能有效控制疟疾症状,作用迅速而持久,作用机制为嵌入疟原虫DNA双螺旋之间,与DNA形成复合物,阻止DNA的复制与RNA的转录。还可用于阿米巴肝脓肿、类风湿性关节炎、红斑狼疮等。

(三)青蒿素类

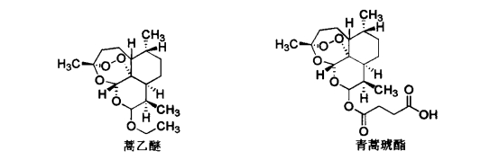
青蒿素(Artemisinin)为我国科学家在1971年首次从菊科植物黄花蒿(Aremisia annua Linn)中分离提取的具有过氧键的倍半萜内酯新结构的抗疟药物。它是我国科学家对人类健康做出的重大贡献,得到国际社会的广泛认可。青蒿素对疟原虫红细胞内型裂殖体有高度的杀灭作用,对抗氯喹株恶性疟原虫引起的感染同样具高效、迅速的抗疟作用,是目前用于临床的各种抗疟药中起效最快的一种,但具有口服活性低、溶解度小、复发率高、半衰期短等缺点。因此,以其为先导化合物进行结构改造,相继合成了大量的衍生物。其中将C-10羰基还原得到的二氢青蒿素(Dihydroartemisinin),其活性是青蒿素的二倍,它也是青蒿素在体内的还原代谢产物。

二氢青蒿素经醚化后可得蒿甲醚(Artemether)、蒿乙醚(Arteether),二者抗疟作用方式相似,但克服了青蒿素在临床中存在的复发率高、溶解性差、疗效不够理想等缺点,其抗疟活性是青蒿素的6倍。它们与氯喹几乎无交叉耐药性。为了解决青蒿素水溶性低的缺点,将二氢青蒿素进行酯化后得到青蒿琥酯(Artesunat),作用强度与氯喹相当,但起效快,其钠盐水溶液不稳定,可分解为二氢青蒿素和琥珀酸,故将其制成粉针,临用时配制成水溶液用于静脉注射。作用强度与氯喹相当,但起效快,适用于抢救脑疟和危重昏迷的疟疾病人。

通过对青蒿素及其类似物的抗疟活性研究,总结出了结构与活性的关系。研究表明:

(1)分子结构中内过氧键是活性必需的,双氧桥被还原为单氧则完全失去抗疟活性。

(2)内过氧化桥-缩酮-乙缩醛-内酯的结构以及在1,2,4-三氧杂环己烷的5位氧原子的存在,是抗疟活性所必须的结构。

(3)进一步的研究表明,疏水基团的存在和过氧化结构的位置对其活性至关重要。引入亲水性基团使其极性增大,则导致抗疟活性减小。因此,为保持和增加抗疟活性,一定的亲脂性是非常重要的。

(4)9位取代基及其立体构型对活性影响较大,由于对过氧化结构存在立体障碍,当甲基由R型转为S型,则抗疟活性降低;同样原因,将6元环变为7元环,由于构型改变,活性也降低。

(5)10位的羰基对抗疟活性并不是至关重要的,可被还原为羟基及进一步烃化。

青蒿素的抗疟作用可能与碳自由基有关。而碳自由基可对特殊的疟原虫蛋白进行共价键的结合和损害。

青蒿素在体内代谢为二氢青蒿素、脱氧氢蒿素、3α-羟基脱氧二氢青蒿素,9,10-二羟基二氢青蒿素。蒿甲醚在体内经脱醚甲基代谢转化为Dihydroartemisinin。

蒿甲醚(Artemether)

化学名为(3R,5aS,6R,8aS,9R,10S,12R,12aR)-十氢-10-甲氧基-3,6,9-三甲基-3,12-氧桥-12H-吡喃并[4,3-j]-1,2-苯并二塞平;(3R,5aS,6R,8aS,9R,10S,12R,12aR)-decahydro-10-methoxy-3,6,9-trimethyl-3,12-eposy-12H-pyrano[4,3-j]-1,2-benzo-dioepin。

本品为白色结晶或结晶性粉末;无臭,味微苦;在丙酮或三氯甲烷中极易溶解,在乙醇或乙酸乙酯中易溶,在水中几乎不溶。本品有两种构型,即α型和β型,α型为黏性油,固化后的熔点为97~100℃,β型为无色片状结晶,熔点为86~88℃。

本品有多个手性中心,具旋光性,药用右旋体,比旋度为+168°~+173°。

本品为二氢青蒿素的醚化衍生物,于20世纪90年代问世,是我国自行研制、第一个被国际公认的首创新药。目前,蒿甲醚被世界卫生组织列为治疗凶险型疟疾的首选药品。

本品对疟原虫红内期有直接杀灭作用,其抗疟作用为青蒿素的10~20倍,能迅速控制症状,杀灭疟原虫,对恶性疟作用较好,复发率略低。用于治疗各类疟疾,包括抗氯喹恶性疟的治疗和凶险型疟疾的急救。

本品在体内代谢为O-脱甲基的二氢青蒿素。

(三)嘧啶类

人们利用疟原虫不能利用环境中的叶酸和四氢叶酸,必须自身合成叶酸并转变为四氢叶酸的特点,选择二氢叶酸还原酶抑制剂作为抗疟药物,其代表药物有乙胺嘧啶(Pyrimethamine)和硝喹(Nitroquine),它们可使二氢叶酸不能还原为四氢叶酸,最后使核酸合成减少,抑制细胞核的分裂而使疟原虫的繁殖受到抑制。由于对多数的疟原虫有较强的抑制作用,故临床上多作为预防药物。乙胺嘧啶作用持久,服药一次可维持一周以上。为了杀灭耐乙胺嘧啶虫株,国外将乙胺嘧啶与二氢叶酸合成酶抑制剂磺胺多辛(Sulfadoxine)(半衰期为140小时)组成复合制剂,可起到双重抑制作用。