1
药物化学
1.10.4.4.1 一、蛋白激酶抑制剂
一、蛋白激酶抑制剂

蛋白质氨基酸侧链的可逆性磷酸化是酶和信号蛋白活性调节的非常重要的机制。蛋白激酶和蛋白磷酸酶参与可逆性磷酸化过程,在调节代谢、基因表达、细胞生长、细胞分裂和细胞分化等方面起关键性作用。蛋白激酶是一种磷酸转移酶,通过催化磷酸基团从ATP转移到底物蛋白的受体氨基酸上。特异性蛋白激酶对酶的磷酸化是一种广泛存在的酶活性调节机制,通过灵活可逆的调节方式在真核生物的信号转导链中发挥重要作用。

蛋白质的磷酸化主要发生在丝氨酸/苏氨酸(Ser/Thr)残基和酪氨酸(Tyr)残基上,也会发生在天冬氨酸(Asp)残基或组氨酸(His)残基上。Ser/Thr残基的磷酸化对酶的活性调节非常重要,而Tyr残基的磷酸化不仅可以调节酶的活性,还可以使蛋白质产生特异性吸附位点。因此近年来蛋白激酶,特别是蛋白质酪氨酸激酶(protein tyrosine kinase,PTK)正成为药物作用的靶点,通过设计蛋白激酶抑制剂(protein kinase inhibitors)而干扰细胞信号转导通路,寻找疾病治疗药物。

蛋白质酪氨酸激酶是一类具有酪氨酸激酶活性的蛋白质,可分为受体型和非受体型两种。受体型蛋白质酪氨酸激酶直接装配在受体的胞内区,兼有受体和酶两种作用,这类激酶又有许多家族,如:表皮生长因子受体(epidermal grovth factor receptor,EGFR)家族、血管内皮细胞生长因子受体(vascular endothelial growth factor receptor,VEGFR)家族、血小板衍生生长因子受体(platelet-derived growth factor receptor,PDGFR)家族、成纤维细胞生长因子受体(fibroblast growth factor receptor,FGFR)、胰岛素受体(insulin receptor,InsR)家族等;非受体酪氨酸激酶与受体在胞内区结合,帮助受体转导信号,这类激酶家族主要有:Src激酶(Src kinase,Src)、abelson酪氨酸蛋白激酶(abelson kinase,Abl)、janus酪氨酸蛋白激酶(janus kinase,JAK)、C-端Src激酶(C-terminal Src kinase,Csk)、人黏着斑激酶(focal adhesion kinase,FAK)等。蛋白质酪氨酸激酶功能的失调则会引发生物体内的一系列疾病。已有的资料表明,超过50%的原癌基因和癌基因产物都具有蛋白酪氨酸激酶活性,它们的异常表达将导致细胞增殖调节发生紊乱,进而导致肿瘤发生。此外,酪氨酸基酶的异常表达还与肿瘤的侵袭和转移、肿瘤新生血管的生成、肿瘤的化疗抗性密切相关。

(一)Bcr-Abl蛋白激酶抑制剂

慢性髓细胞样白血病(CML)是一种以过量的髓细胞增生为特征的血液干细胞紊乱疾病。CML患者的染色体会发生异常:第9号染色体的末端(称为Abl)和第22号染色体的首端(称为Bcr)发生易位(translocation),即互相交换了位置,这样产生的染色体被称为“费城染色体”。当体内出现费城染色体后,该异变的基因就会表达Bcr-Abl融合蛋白。该融合蛋白具有异常激活的蛋白质酪氨酸激酶活性,导致自身酪氨酸残基及许多重要的底物蛋白磷酸化,从而激活多条信号转导途径,使细胞在不依赖细胞因子的情况下发生恶性转化、过度增殖和分化,并使细胞的凋亡受到抑制。其结果就是干扰了骨髓中控制白细胞正常制造的功能,造成白细胞恶性增生。

Bcr-Abl阳性白血病是由于Bcr-Abl中的酪氨酸激酶被过度激活,引起磷酸化而产生广泛的信号转导,产生白细胞恶性增生的病理特征,因此Bcr-Abl蛋白激酶被认为是治疗CML的药物作用靶标。甲磺酸伊马替尼(Imatinib Mesylate)就是以Bcr-Abl蛋白激酶为靶标的CML治疗药物。

甲磺酸伊马替尼(Imatinib Mesylate)

化学名为4-[(4-甲基-1-哌嗪基)甲基]-N-[4-甲基-3-[[4-(3-吡啶基)-2-嘧啶基]氨基]苯基]苯甲酰胺甲磺酸盐;4-[(4-Methyl-1-piperazinyl)methyl]-N-[4-methyl-3-[[4-(3-pyridinyl)-2-pyrimidinyl]amino]phenyl]benzamide methanesulfonate。又名格列卫(Gleevec,Glivec)。

本品有二种晶型:α-晶型和β-晶型。

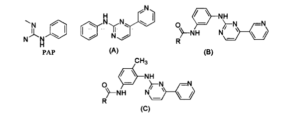
伊马替尼的发现来源于对蛋白激酶C(protein kinase C,PKC)抑制剂的研究,人们在筛选过程中发现苯氨基嘧啶类化合物(PAP)对PKC有比较好的抑制活性。由于苯氨基嘧啶类化合物结构比较简单,可以通过结构修饰来扩展其结构的多样性,增加化合物的选择性,开始对其进行结构修饰。在PAP中嘧啶环的3位引入一个3-吡啶基,得到的化合物A[2-苯氨基3-(3'-吡啶基)嘧啶]对PKC的抑制活性得到加强。在对化合物A进行结构优化时发现在该化合物的苯氨基的苯环上引入酰氨基后,得到的化合物B[2-(2-酰氨基苯氨基)-3-(3'-吡啶基)嘧啶]可以产生对Bcr-Abl蛋白激酶的抑制活性。进一步的构效关系研究和分析后发现在苯氨基嘧啶的苯环的6-位引入甲基后,得到化合物C。由于甲基的空间位阻,使得化合物C中的嘧啶环和与之相连的苯环的夹角增大到接近垂直,使得化合物的构象产生了改变。这样的构象改变使得化合物C与Bcr-Abl激酶蛋白的结合更加紧密,对Bcr-Abl激酶的抑制活性大大提高,而原来对PKC的抑制活性彻底消失。所得到的化合物虽然活性和选择性都很不错,但是溶解性很差,口服生物利用度低,需要进一步提高水溶性。将化合物C的酰氨部分改成N-甲基哌嗪基团后,得到化合物伊马替尼,对Bcr-Abl激酶的抑制活性进一步提高,也获得了令人满意的水溶性(生理条件下约50 mg/L)。经过这一系列的结构改造,就得到了选择性的Bcr-Abl激酶抑制剂——甲磺酸伊马替尼(Imatinib Mesylate)。

本品用于治疗费城染色体阳性慢性粒细胞白血病和恶性胃肠道间质肿瘤。

但是在用伊马替尼治疗的过程中,一些病人逐渐出现了对伊马替尼的耐药性。其主要原因是由于这些病人体内的表达Abl激酶的基因发生了点突变,导致了Abl激酶的氨基酸改变,从而使伊马替尼与Abl激酶相互作用时的构型发生变化,产生耐药性。针对这样的耐药情况,开发了第二代的Bcr-Abl激酶抑制剂,如:达沙替尼(Dasatinib),临床上用于治疗对伊马替尼耐药或不能耐受的成人慢性髓细胞白血病和费城染色体阳性的急性淋巴母细胞白血病。

(二)表皮生长因子受体酪氨酸激酶抑制剂

表皮生长因子受体(EGFR)家族是一类研究得比较多的酪氨酸蛋白激酶。当EGFR与配体结合后,受体发生磷酸化,引起细胞内一些适配器分子与之结合,或与其他受体分子形成各种同源或异源的二聚体,从而引起下游一系列信号通路的活化,这些通路的激活会引起细胞的增殖、躲避凋亡及细胞侵入和转移。已知多种实体肿瘤,如:肺小细胞肺癌、头颈癌、直肠癌、乳腺癌等的发生都与肿瘤组织中EGFR异常活化有关。

EGFR有三个区域:胞外配体结合区、跨膜结构域和胞内酪氨酸激酶活性区。目前对EGFR抑制剂的设计主要包括两个方向:一是选择性抑制细胞外配体结合区,通过和内源性配体竞争性结合受体膜外区,阻断信号转导。但是,由于内源性配体和受体之间为复杂的蛋白-蛋白相互作用,用小分子阻止这种作用往往难以实现,体内对激酶的抑制活性不高。另一个方向是选择性抑制细胞内酪氨酸激酶活性区,设计小分子的ATP或底物类似物,与ATP或底物竞争性与酶结合,抑制酶的催化活性和酪氨酸的自磷酸化,阻止下游的信号转导。

在随机筛选中,人们发现喹唑啉类化合物具有很强的EGFR抑制能力,且具有较高的选择性。进一步研究证明该类化合物是ATP的竞争性抑制剂,并成为寻找具有强抑制能力和高选择性抑制剂的研究重点。吉非替尼(Gefitinib)和厄洛替尼(Erlotinib)为可逆的ATP竞争性抑制剂。

吉非替尼(Gefitinib)作用于肿瘤细胞生长和存活中所需的信号转导途径,并阻断其途径,为第一个选择性表皮生长因子受体酪氨酸激酶(EGFR-TK)抑制剂,对EGFR中ErbB1的选择性比对ErbB2强200倍,在多种肿瘤细胞系中均能有效阻止EGFR受体的自身磷酸化作用,临床主要用于肺小细胞肺癌的治疗。

厄洛替尼(Erlotinib)也是选择性的EGFR(ErbBl)酪氨酸蛋白激酶抑制剂。在头颈部鳞癌(HNSCC)与非小细胞肺癌的肿瘤体外移植瘤模型中,厄洛替尼通过抑制肿瘤细胞生长或促进肿瘤细胞凋亡达到抗肿瘤作用,是目前唯一被证实的对晚期非小细胞肺癌具有抑制作用的药物,对各类非小细胞肺癌患者均有效,且耐受性好,无骨髓抑制和神经毒性,能显著延长生存期,改善患者生活质量。

(三)多激酶靶点的抑制剂

由于传统的抗肿瘤药物是非特异性的和细胞、DNA或微管等直接作用,使其破坏而发挥作用,这样也会对正常的组织和细胞产生损伤。相比较而言以蛋白激酶为靶标的抗肿瘤药物毒副作用相对要小一些。但是由于细胞信号转导系统网络庞大且极其复杂,涉及的激酶也比较多,因此单一的激酶抑制剂所产生的作用非常有限。加之恶性肿瘤是癌细胞和周围细胞相互作用形成的复杂体,所以影响周围支撑细胞和癌细胞的多靶点治疗策略是有益于临床治疗的。近年来针对这种情况,人们设计了一些可同时作用于多个激酶靶点的抑制剂。这些多靶点抑制剂可同时作用于肿瘤及其周围支撑细胞,从而对癌症这种复杂的病症产生有效的治疗作用。另一方面可以减少突变、信号通路关键元件的过度表达、药物外排系统和(或)信号旁路引起的耐药性发生几率。

索拉非尼(Sorafenib)是一种口服的新型的作用于多个激酶靶点的抗肿瘤药物。一方面通过抑制Raf-1激酶活性,阻断了Ras/Raf/MEK/ERK信号通路,即直接抑制肿瘤细胞增殖。另一方面抑制VEGFR(血管内皮生长因子受体)和PDGFR(血小板衍生生长因子受体)等受体酪氨酸激酶活性,抑制肿瘤血管生成,即间接地抑制肿瘤细胞的生长。索拉非尼用于晚期肾细胞癌的治疗,能够获得明显而持续的治疗作用;对晚期的非小细胞肺癌、肝细胞癌、黑色素瘤也有较好的疗效。

苹果酸舒尼替尼(Sunitinib Malate)也是一个多靶点酪氨酸激酶抑制剂,可选择性抑制血管内皮细胞生长因子受体(VEGFR1,VEGFR2,VEGFR3)、血小板衍生生长因子受体(PDGFRa,PDGFRβ)、干细胞因子受体(KIT)、FMS样酪氨酸激酶3(FLT3)、集落刺激因子受体1(CSF-1R)和胶质细胞源性神经营养因子受体(RET),具有抗肿瘤和抗血管生成的双重作用。肿瘤的生长主要依赖于肿瘤中丰富的血管为其生长提供必需的物质,抗血管生成的药物通过抑制肿瘤新生血管的形成,阻断肿瘤生长必需的物质,达到“饿死”肿瘤的目的。舒尼替尼临床上用于治疗癌细胞已发生转移或对甲磺酸伊马替尼耐受的胃肠道间质瘤(GIST)和采用细胞因子疗法无效的转移性肾细胞癌(MRCC)。