1
药物化学
1.10.4.3.3 三、微管稳定剂及微管组装促进剂
三、微管稳定剂及微管组装促进剂

这类药物主要是紫杉烷类药物,有紫杉醇及其衍生物。是近年来发展起来的新抗肿瘤药物。

紫杉烷类药物的抗肿瘤作用机制是通过诱导和促使微管蛋白聚合成微管,同时抑制所形成微管的解聚,产生稳定的微管束。使微管束的正常动态再生受阻,细胞在有丝分裂时不能形成正常的有丝分裂纺锤体,从而抑制了细胞分裂和增殖。这和秋水仙碱、长春碱类诱导微管解聚的作用正好相反。

紫杉烷类药物和微管蛋白的结合位点总是发生在已成为聚合状态的微管上,不是在游离的微管蛋白二聚体上,这一点也和秋水仙碱及长春碱类药物不同。

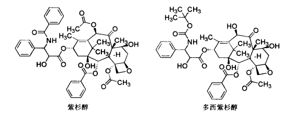
紫杉醇(Paclitaxel,商品名为Taxol)最先是从美国西海岸的短叶红豆杉(taxus breviolia)的树皮中提取得到的一个具有紫杉烯环的二萜类化合物,主要用于治疗卵巢癌、乳腺癌及非小细胞肺癌。

但是紫杉醇在使用过程中出现了两个主要问题:①在数种红豆杉属植物中含量很低(最高约0.02%);加之紫杉生长缓慢,树皮剥去后不能再生,树木将死亡,使来源受到限制。②水溶性很差(0.03 mg/ml),难以制成合适制剂。后来,在浆果紫杉(taxus baccata)的新鲜叶子中提取得到紫杉醇前体10-去乙酰浆果赤霉素Ⅲ(含量约0.1%),并以此制备半合成紫杉醇及其衍生物。

多西紫杉醇(Docetaxel,商品名为Taxotere)是由10-去乙酰基浆果赤霉素Ⅲ进行半合成得到的又一个紫杉烷类抗肿瘤药物。其水溶性比紫杉醇好,抗肿瘤谱更广,对除肾癌、结直肠癌以外的其他的实体瘤都有效。在相当的毒性剂量下,其抗肿瘤作用比紫杉醇高1倍,且同样情况下,活性优于紫杉醇。