1
药物化学
1.10.4.1.4 四、DNA拓扑异构酶抑制剂
四、DNA拓扑异构酶抑制剂

DNA拓扑异构酶(topoisomerase,Topo)是细胞的一种基本核酶,在许多与DNA有关的遗传功能中显示重要作用,例如细胞的复制、转录及有丝分裂。在天然状态时,DNA分子是以超螺旋的形式存在。在复制和转录时,DNA拓扑异构酶催化DNA的超螺旋状态与解旋状态拓扑异构体之间相互转换。更重要的是DNA拓扑异构酶在催化超螺旋DNA链解旋时,使DNA分子中的结合位点暴露,从而使参与复制或转录的各种调控蛋白发挥作用。根据作用机制不同,拓扑异构酶分为拓扑异构酶Ⅰ(Topo Ⅰ)和拓扑异构酶Ⅱ(Topo Ⅱ)。Topo Ⅰ催化DNA单链的断裂—再连接反应:先切开双链DNA中的一条链,使链末端沿螺旋轴按拧松超螺旋的方向转动,尔后将切口接合;Topo Ⅱ则同时切断DNA双链,使一段DNA通过切口,然后断端按原位连接而改变DNA的超螺旋状态。DNA拓扑异构酶的发现以及抗肿瘤药物对其作用的研究已成为抗肿瘤药物研究的重要靶点。

(一)Topo Ⅰ抑制剂

1.喜树碱及其衍生物

喜树碱(Camptothecin,CPT)、羟基喜树碱(Hydroxycamptothecin)是从我国特有的珙桐科植物喜树(camptotheca acuminata)中分离得到的生物碱。喜树碱由A、B、C、D、E五环并合而成,AB为喹啉环,C环为吡咯环,D环为吡啶酮,E环为六元(-羟基内酯环,该羟基所在20位碳原子为S构型。

喜树碱具有较强的细胞毒性,对消化道肿瘤(如胃癌、结肠癌、直肠癌)、肝癌、膀胱癌和白血病等恶性肿瘤有较好的疗效。但毒性较大,水溶性较差。为了解决水溶性问题,曾将其内酯环打开制成水溶性的羟基酸钠盐,用于临床,但钠盐活性只有喜树碱的1/10,而毒性大大增加。由于喜树碱的毒性较大,水溶性较差阻碍了它的临床应用。但到20世纪80年代后期发现了喜树碱作用机制,即作用于DNA拓扑异构酶Ⅰ,而使DNA复制、转录等受阻,最终导致DNA的断裂,又重新引起人们的重视,重新设计、合成了一些水溶性较大的衍生物。

喜树碱的作用靶标为Topo Ⅰ。但是,喜树碱并非通过抑制Topo Ⅰ的催化活性杀死肿瘤细胞,而是通过与DNA和Topo Ⅰ形成的DNA-Topo Ⅰ可裂解复合物(cleavable complex)可逆结合,形成了DNA-Topo Ⅰ-CPT三元复合物(ternary complex),稳定了可裂解复合物,延长了可裂解复合物的存在时间,形成“路障”(road blocker)。这样,被Topo Ⅰ“包裹”着的DNA的单链,与不断延伸的复制叉(replication fork)产生了冲突,其结果就是DNA链的断裂,最后导致细胞的凋亡(图15-9)。

图15-9 喜树碱作用示意图

说明:图中Tyr旁的小圆点,是CPT

喜树碱类化合物与DNA-Topo Ⅰ共价复合物的相互作用主要为氢键和疏水性堆积作用,如喜树碱的E内酯环上的两个氧原子与Topo Ⅰ的Arg364的氨基有氢键相互作用,D环吡啶酮的酮羰基氧与DNA未切断单链的胞嘧啶形成氢键。20(S)-羟基则与Asp533的羧基氧以氢键连接,若为20(R)-构型的喜树碱,由于乙基的空间位阻影响了这种相互作用,因而活性低(图15-10)。

图15-10 人DNA-Topo Ⅰ共价复合物与CPT之间的关键氢键和疏水性堆积相互作用示意图

伊立替康(Irinotecan,CPT-11)临床用其盐酸盐。本品在体内(主要是肝脏)经代谢生成SN-38而起作用,属前体药物。主要用于小细胞和非小细胞肺癌、结肠癌、卵巢癌、子宫癌、恶性淋巴瘤等的治疗。

拓扑替康(Topotecan)是另一个半合成的水溶性喜树碱衍生物。主要用于转移性卵巢癌的治疗。对小细胞肺癌、乳腺癌、结肠癌、直肠癌的疗效也比较好。

(二)Topo Ⅱ抑制剂

根据作用的方式不同,Topo Ⅱ抑制剂(Topo Ⅱ Inhibitors)又分为嵌入型和非嵌入型二种。

嵌入型Topo Ⅱ抑制剂通过插入到DNA相邻的碱基对之间,以嵌入的形式与DNA双螺旋形成可逆的结合。最终使DNA断裂而达到治疗肿瘤的目的。

非嵌入型Topo Ⅱ抑制剂通过抑制Topo Ⅱ酶的活性或作用于Topo Ⅱ-DNA的复合物,阻断Topo Ⅱ与DNA的相互作用。

1.嵌入型Topo Ⅱ抑制剂

蒽醌类(anthracyclines)抗肿瘤抗生素,是20世纪70年代发展起来的。多柔比星(Doxorubicin,阿霉素,Adriamycin)和柔红霉素(Daunorubicin,Daunomycin)是该类抗生素的代表,分别从streoptomyces peucctiue varcaesius和streptomyces peucetius的培养液中分离得到。多柔比星化学结构为阿霉醌(Adriamycinone)通过糖苷键与柔毛糖相连接。

多柔比星盐酸盐抗瘤谱较广,不仅可用于治疗急、慢性白血病和恶性淋巴瘤,而且还可以用于治疗乳腺癌、甲状腺癌、肺癌、卵巢癌、肉瘤等实体瘤。

柔红霉素盐酸盐主要用于治疗急性白血病,与其他抗肿瘤药联合应用,可提高疗效。

这类抗生素主要通过作用于DNA而达到抗肿瘤目的。结构中的蒽醌嵌合到DNA的C-G碱基对层之间,每6个碱基对嵌入2个蒽醌环。蒽醌环的长轴几乎垂直于碱基对的氢键方向,9位的氨基糖位于DNA的小沟处,D环插到大沟部位。由于这种嵌入作用使碱基对之间的距离由原来的0.34 nm增至0.68 nm,因而引起DNA的裂解。

两者的毒性主要为骨髓抑制和心脏毒性。可能是醌环被还原成半醌自由基,诱发了脂质过氧化反应,引起心肌损伤。开发心脏毒性较低的化合物,主要是对柔红霉糖的氨基和羟基的改造。

表柔比星(Epirubicin,表阿霉素)是多柔比星在柔红霉糖4'位的OH差向异构化的化合物。对白血病和其他实体瘤的疗效与多柔比星相似,但骨髓抑制和心脏毒性比多柔比星低25%。

蒽醌类抗肿瘤药物的构效关系如下。

(1)A环的几何结构和取代基对保持其活性至关重要,C-13的羰基和C-9的羟基与DNA双螺旋的碱基对产生氢键作用。

(2)C-9和C-7位的手性不能改变,否则将失去活性。若9,10位引入双键,则使A环结构改变而活性丧失。

(3)若将C-9位上的取代基由羟基换成甲基,则蒽醌与DNA亲合力下降,使活性丧失。

由于蒽醌类抗生素具有心脏毒性,全合成步骤长,收率低。人们设想减少蒽醌抗生素结构中的非平面环部分和氨基糖侧链,设计合成了一些蒽醌类的化合物。

新设计的化合物以蒽醌为母核,用其他有氨基(或烃氨基)的侧链代替氨基糖,有可能保持活性而减小心脏毒性。氨基或烃氨基侧链对母核起稳定作用,使化合物保持易于嵌入DNA的平面结构。

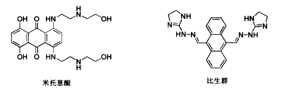
米托蒽醌(Mitoxantrone,Novantrone)是细胞周期非特异性药物,能抑制DNA和RNA合成。抗肿瘤作用是多柔比星的5倍,心脏毒性较小。用于治疗晚期乳腺癌、非何杰金病淋巴瘤和成人急性非淋巴细胞白血病复发。

比生群(Bisantrene)是继米托蒽醌后第二个用于临床的合成蒽醌类抗肿瘤药,其作用机制是抑制RNA及DNA的合成。抗瘤谱与米托蒽醌相似,无明显的心脏毒性,对恶性淋巴瘤、卵巢癌、肺癌、肾癌、黑色素瘤和急性白血病有效。

2.非嵌入型Topo Ⅱ抑制剂

作用于DNA拓扑异构酶Ⅱ的非嵌入型抗肿瘤药物主要是鬼臼毒的糖苷衍生物。

鬼臼毒素(Podophyllotoxin)是从喜马拉雅鬼臼(podophyllum emodi)和美鬼臼(podophyllum peltatum)的根茎中分离得到的生物碱。有较强的细胞毒作用,由于毒性反应比较严重不能用于临床,经对鬼臼毒的结构进行改造,得到数百个衍生物,其中依托泊苷(Etoposide,足叶乙甙,VP-16)和替尼泊苷(Teniposide,VM-26)有较好的抗肿瘤活性而用于临床。

依托泊苷为鬼臼毒素的半合成衍生物,是在鬼臼毒素的结构基础上将4'-脱甲基鬼臼毒素差向异构化得到4'-脱甲基表鬼臼毒素。再将4'-脱甲基表鬼臼毒素经数步反应制得依托泊苷。表鬼臼毒素可以明显增强对细胞增殖的抑制作用,而毒性比鬼臼毒素低。因此目前临床使用及研究之中的鬼臼毒素衍生物均为表鬼臼毒素的结构。本品在同类药物中毒性较低,对小细胞肺癌、淋巴瘤、睾丸肿瘤等疗效较为突出,对卵巢癌、乳腺癌、神经母细胞瘤亦有效,是临床上常用的抗肿瘤药物之一。

替尼泊苷为中性亲脂性药物,几乎不溶于水。临床主要用于治疗小细胞肺癌、急性淋巴细胞白血病、淋巴病。其脂溶性高,可通过血脑屏障,为脑瘤首选药物。依托泊苷和替尼泊苷在相等剂量时,替尼泊苷的活性大于依托泊苷,但依托泊苷的化疗指数较高。

依托泊苷和替尼泊苷在使用时都存在水溶性差的问题。为了解决这一问题,实际使用中,都要加入增加水溶性的辅助物质。但是这些增溶后的产品在使用中往往会引起低血压和高过敏性。为了增加这类药物的水溶性,研究人员在依托泊苷的4'位酚羟基上引入磷酸酯结构,得到依托泊苷磷酸酯(Etoposide Phosphate)。该药物实际为前药,无论以何种形式给药,在给药后几分钟后迅速水解生成依托泊苷发挥作用,未见明显的低血压及过敏反应,其剂量限制性毒性为中性粒细胞减少。

鬼臼毒素是较强的微管抑制剂,主要抑制细胞的分裂。依托泊苷和替尼泊苷是表鬼臼毒素与糖形成的苷类。这些苷类对微管无抑制作用,而是通过作用于DNA拓扑异构酶Ⅱ而发挥活性作用。