1
药物化学
1.10.3.3.2 二、卡那霉素及其衍生物
二、卡那霉素及其衍生物

卡那霉素(Kanamycin)是1957年从卡那霉素链霉菌(Streptomyces kanamyceticus)中发现的,是由卡那霉素A、B、C组成的混合物,卡那霉素A是主要成分,临床上用其硫酸盐。卡那霉素为广谱抗生素,对革兰阴性杆菌、阳性菌和结核杆菌均有效。其作用机制是与细菌核糖体30S亚单位结合,抑制细菌蛋白质的合成。由于具有耳毒性和肾毒性,临床上仅用于治疗对第一线药物有耐药性的多药耐药菌感染。

卡那霉素化学稳定性较好,在加热或酸碱条件下也不失去抗菌活性。但卡那霉素易产生耐药性,这是因为带有R-因子的革兰阴性菌能产生各种酶,如氨基糖苷乙酰转移酶(ACC)、氨基糖苷磷酸转移酶(APH)、氨基糖苷核苷转移酶(ANT),可对氨基糖分子中的羟基和氨基乙酰化、磷酰化和核苷化,导致其失去原有的抗菌活性。

妥布霉素(Tobramycin)由黑暗链霉菌(Streptomycestenebrarius)发酵得到,也可以由卡那霉素B合成,抗菌谱比卡那霉素宽,对革兰阴性菌和阳性菌都有效,为广谱抗生素,对铜绿假单胞菌有更强的活性,其活性为庆大霉素的2~4倍,而毒性比庆大霉素低。

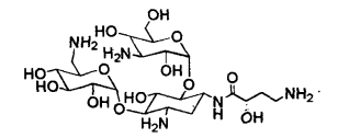
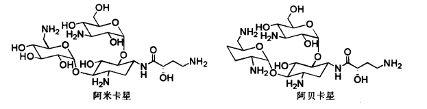
为了克服卡那霉素的耐药性,对其分子内特定的羟基或氨基进行化学修饰,制备了对耐药菌有效的半合成氨基糖苷类抗生素,如阿米卡星(Amikacin)和阿贝卡星(Arbekacin)。

阿米卡星为卡那霉素A分子中脱氧链霉素胺的1位氨基的酰化衍生物,在其位置引入(S)-4-氨基-2-羟基丁酰基,其特点是利用此基团的立体障碍,降低了对钝化酶的结构适应性,不易被酶代谢失活。所引入的氨基羟丁酰基侧链的构型对其抗菌活性有影响,若改为(R)-4-氨基-2-羟基丁酰基时,抗菌活性大为降低。

将阿米卡星分子中6-氨基-6-脱氧-α-D-葡萄糖苷基中的2-OH转化2-NH2,3-OH和4-OH消除得到阿贝卡星。对金黄色葡萄球菌(包括MSAR)有良好的抗菌作用。

阿米卡星(Amikacin)

化学名为6-O-(3-氨基-3-脱氧-α-D-吡喃葡萄糖基)-4-O-(6-氨基-6-脱氧-α-D-吡喃葡萄糖基)-N1-[(2S)-4-氨基-2-羟基丁酰基]-2-脱氧链霉胺;6-O-(3-amino-3-deoxy-α-Dglucopyranosyl)-4-0-(6-amino-6-deoxy-α-D-glucopyranosyl)-N1-[(2S)-4-amino-2-hydroxybutyryl]-2-deoxystreptamine。

本品为白色结晶性粉末,无臭,无味。对热、光及湿度较稳定。在水中少量溶解,在甲醇中微溶,在乙醇和丙酮中几乎不溶。1%水溶液的pH为9.5~11.5。临床用其硫酸盐。

本品肌注后约1小时达到血浆峰浓度,静注后约30分钟达到血浆峰浓度。本品能进入胎盘。虽然本品能通过儿童脑膜炎患者的血-脑屏障,但难以渗入普通患者的CSF。血浆t1/2为2~3小时,大部分剂量在24小时内经肾小球滤过随尿排泄。

本品不易被酶代谢失活,不仅对卡那霉素敏感菌有效,而且对耐卡那霉素的铜绿假单胞菌、大肠埃希菌和金葡球菌敏感。血中浓度较卡那霉素高,毒性较小。临床上用于治疗敏感菌所至的呼吸道、尿道、皮肤软组织感染及骨与关节感染。可用于败血症。