1
药物化学
1.10.3.2.1 一、红霉素类大环内酯抗生素
一、红霉素类大环内酯抗生素

红霉素(Erythromycin)是1952年从红色链丝菌(Streptomyces erythreus)代谢产物中发现的一种口服抗生素,包括红霉素A、B和C。红霉素A为抗菌主要成分,红霉素B和C不仅活性低而且毒性大,通常所说的红霉素是指红霉素A,而其他两个组分被视为杂质。

红霉素是由红霉内酯(Erythronolide)与脱氧氨基糖(Desosamine)和克拉定糖(Cladinose)缩合而成的碱性苷。内酯环为14原子的大环,无双键,偶数碳原子上共有6个甲基,9位上有1个羰基,内酯环的C-3通过氧原子与克拉定糖相连,C-5通过氧原子与脱氧氨基糖连结。

红霉素(Erythromycin)

化学名为(2R,3S,4S,5R,6R,8R,10R,11R,12S,13R)-5-[(3-氨基-3,4,6-三脱氧-N,N-二甲基-β-D-吡喃木糖基)氧]-3-[(2,6-二脱氧-3-C-甲基-3-O-甲基-α-L-吡喃糖基)氧]-13-乙基-6,11,12-三羟基-2,4,6,8,10,12-六甲基-9-氧代十三内酯;(2R,3S,4S,5R,6R,8R,10R,11R,12S,13R)-5-(3-amino-3,4,6-trideoxy-N,N-dimethyl-β-D-xylo-hexopyranosyloxy)-3-(2,6-dideoxy-3-C,3-O-dimethyl-α-L-ribo-hexopyranosyloxy)-13-ethyl-6,11,12-trihydroxy-2,4,6,8,10,12-hexamethyl-9-oxotridecan-13-olide。

本品为白色或类白色的结晶或粉末;无臭,味苦,微有引湿性。本品的水合物熔点为135~140℃,熔融后又固化的无水物熔点为190~193℃。在乙醇中易溶,在甲醇中溶解,在水中微溶。(20mg/ml,无水乙醇)。

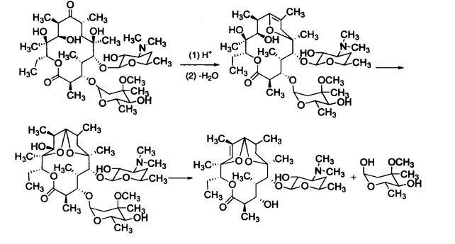
由于红霉素的结构中存在多个羟基,在其9位上有一个羰基,因此红霉素在酸性条件下不稳定,易发生分子内的脱水环合。在酸性液中,红霉素C-6上的羟基与C-9的羰基形成半缩酮的羟基,再与C-8上氢消去一分子水,生成8,9-脱水-6,9-半缩酮衍生物。然后C-12上的羟基与C-8、C-9双键加成,生成6,9,12-螺环酮;其C-11羟基与C-10上的氢消去一分子水,同时水解成红霉胺和克拉定糖。这种降解反应使红霉素失去抗菌活性。

本品对各种革兰阳性菌有很强的抗菌活性,对革兰阴性菌,如百日咳杆菌、流感嗜血杆菌、淋球菌、脑膜炎球菌等亦有效,但对大多数肠道革兰阴性杆菌则无活性。本品为耐药金黄色葡萄球菌和溶血性链环菌引起感染的首选药物。

红霉素在许多情况下可替代青霉素类用于治疗感染性疾病,尤其对青霉素过敏的病人。它对肺炎支原体、沙眼衣原体和普通粉刺的疗效与四环素相似。常用于治疗嗜肺性军团病杆菌引起的感染。

红霉素水溶性较小,只能口服,但在酸中不稳定,易被胃酸破环,半衰期仅为1~2小时。为了增加其在水中的溶解性,用红霉素与乳糖醛酸或葡庚糖酸成盐,分别得到红霉素乳糖醛酸盐(Erythromycin Lactobionate)和红霉素葡庚糖酸盐(Erythromycin Gluceptate),可供注射给药。

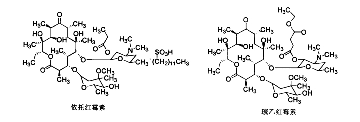
为了增加红霉素的稳定性,可将红霉素5位氨基糖上的2"羟基与各种酸成酯,如依托红霉素(Erythromycin Estolate),在酸中较稳定并适于口服;琥乙红霉素(Erythromycin Ethyl Succinate),可使红霉素苦味消失,适于儿童服用;它们虽在水中几乎不溶,但到体内水解后可释放出红霉素。

依托红霉素为红霉素的丙酸酯的十二烷基硫酸盐,在酸中较红霉素稳定,并适于口服。琥乙红霉素在水中几乎不溶,因其无红霉素的苦味,且在胃中稳定,可制成不同的口服剂型,特别适于儿童服用。两者均通过在体内经代谢后释放出红霉素而起作用。

红霉素易在酸性溶液中降解为6,9,12-螺环酮,从而使红霉素失去抗菌活性。在酸催化降解反应中,红霉素结构中的C-9位羧基、C-6位羟基和C-8位氢均参与了降解反应。为此,对这些部位进行结构修饰,可阻止降解反应的发生,提高稳定性,并增强抗菌活性和改善药代动力学性质。

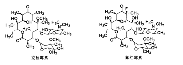
将红霉素C-6位羟基进行甲基化得到克拉霉素(Clarithromycin),阻止了C-6位羟基与C-9位酮羰基生成半缩酮,因而增加了其在酸中的稳定性。对需氧菌、厌氧菌、支原体、衣原体等病原微生物有效。对某些机会分枝杆菌如人兽共患性鸟-胞内分枝杆菌复合体的抗菌活性比红霉素强。能够治疗麻风病和根除消化性溃疡的幽门螺杆菌。对致病原虫包括弓形虫也有效。血药浓度高而持久,其体内活性比红霉素强2~4倍,毒性仅为其1/2~1/12倍,用量较红霉素小。

根据电子等排原理,在红霉素的C-8位引入氟原子得到氟红霉素(Flurithromycin),其特点是可抑制分子内的分解反应,阻断形成脱水红霉素半缩酮的脱水过程,因而对酸稳定,半衰期为8小时,对肝脏没有毒性。

将2-(2-甲氧基乙氧基)乙醛与红霉胺(Erythromycylamine)缩合得到地红霉素(Dirithromycin),其体外活性低于红霉素,但体内抗菌作用比红霉素强2~4倍,可能与其抗菌后效应有关。本品口服吸收好,在体内经非酶快速水解为活性代谢物红霉胺,生物利用度10%,血浆t1/2为8小时,尿清除t1/2达44小时,长效,每天只需给药1次。

将C-9位羰基转化成肟,可以削弱分子内环合作用,但抗菌活也有所降低。为了增强抗菌活性,用羟胺与C-9位羰基生成红霉肟(Erythromycin Oxime),再与1-氯甲氧基-2-甲氧基乙烷缩合得到罗红霉素(Roxithromycin),其具有较好的化学稳定性,抗菌作用比红霉素强6倍。将红霉肟经贝克曼重排(Beckmann Rearrangement)得到扩环产物,再经还原、N-甲基化反应,得到第一个十五元氮杂环内酯衍生物阿奇霉素(Azithromycin),其可用于治疗多种病原微生物所致的感染,特别是性传染疾病。

罗红霉素(Roxithromycin)

化学名为9-[O-[(2-甲氧基乙氧基)-甲基]肟]红霉素;9-[O-[(2-methoxyethoxy)-methyl]oxime]erythromycin。

本品为白色或类白色的结晶性粉末,无臭,味苦,略有吸湿性;在乙醇或丙酮中易溶,几乎不溶于水,微溶于稀酸。[α]-82°~-87°(无水乙醇),(三氯甲烷)。

罗红霉素具有较好的化学稳定性,口服吸收迅速,生物利用度50%,2小时达血浆峰浓度,在组织和体液中分布广,特别在肺组织中的浓度比较高,血浆蛋白结合率96%,血浆t1/2为8~13小时。少量药物在肝脏代谢,主要以原型或代谢产物经粪便排泄。本品难以通过腹膜透析除去。

本品可用于治疗敏感菌株引起的感染,如上呼吸道感染、下呼吸道感染、耳鼻喉感染、生殖器感染(淋球菌感染除外)、皮肤软组织感染。也可用于支原体肺炎、沙眼衣原体感染及军团病等。对非淋菌性尿道炎的疗效好,治愈率高。本品毒副作用小。

阿齐霉素(Azithromycin)

化学名为(2R,3S,4R,5R,8R,10R,11R,12S,13S,14R)-13-[(2,6-二脱氧-3-C-甲基-3-O-甲基-α-L-吡喃核糖基)氧]-2-乙基-3,4,10-三羟基-3,5,6,8,10,12,14-七甲基-11-[[3,4,6-三脱氧-3-(二甲氨基)-β-D-吡喃木糖基]氧]-1-氧杂-6-氮杂环十五烷-15-酮二水合物;(2R,3S,4R,5R,8R,10R,11R,12S,13S,14R)-13-[(2,6-dideoxy-3-C-methyl-3-O-methyl-α-L-ribo-hexo-pyranosyl)oxy]-2-ethyl-3,4,10-trihydroxy-3,5,6,8,10,12,14-heptamethyl-11-[[3,4,6-trideoxy-3-(dimethylamino)-β-D-xylo-hexopyranosyl]oxy]-1-oxa-6-azacyclopentadecan-15-one dihydrate。

本品为白色或类白色结晶性粉末,带有2个结晶水;无臭,味苦;微有引湿性;在甲醇、乙醇、丙酮、三氯甲烷或稀盐酸中易溶,在水中几乎不溶;对酸稳定。-45°~-49°(无水乙醇);mp.155℃。

本品由于大环内酯的8位无羰基,阻碍了分子内部形成半缩酮醇的反应,耐酸性和稳定性都得到提高。而9位杂入一个甲胺基,碱性增大。阿齐霉素比红霉素具有更广泛的抗菌谱,特别是对革兰阴性菌如流感嗜血杆菌、卡他莫拉菌的抗菌活性强。对沙眼衣原体、解脲支原体以及某些机会分枝杆菌如人兽共患性鸟-胞内分枝杆菌复合体等也有较好的抗菌活性。对大肠埃希菌、沙门菌、志贺杆菌以及某些致病原虫如刚地弓形虫和恶性疟原虫等有效。阿奇霉素的另一特点是抗菌后效应较长,可达2.3~4.7小时,优于β-内酰胺类抗生素。

本品口服吸收快速,生物利用度40%,体内分布广泛,在各组织中的浓度比同期血浆浓度高。少量药物在肝脏中进行脱甲基化代谢。末端消除t1/2达68小时。

本品适用于敏感细菌所引起的感染,如中耳炎、鼻窦炎、咽炎、扁桃体炎等上呼吸道感染;支气管炎、肺炎等下呼吸道感染;皮肤和软组织感染;沙眼衣原体所致单纯性生殖器感染;非多重耐药淋球菌所致的单纯性生殖器感染等。

阿齐霉素的合成是以红霉素肟为起始原料,经贝克曼重排后得到扩环产物,再经还原、N-甲基化等反应制得。

泰利霉素(Telithromycin)是一类C-3位为酮羰基的14元大环内酯类半合成抗生素,又称为酮内酯(Ketolides),在C-11、C-12间形成环状的氨基甲酸酯,氨基甲酸酯环上的氮原子连接一条芳基侧链。抗革兰阳性菌的活性优于红霉素和第二代大环内酯类抗生素,对多药耐药性肺炎链球菌、化脓性链球菌、金黄色葡萄球菌等的抗菌活性强。对流感嗜血杆菌、卡他莫拉菌等革兰阴性菌也有较好活性。对肺炎支原体和肺炎嗜衣原体的抗菌活性与其他大环内酯类抗生素相当。对军团菌的抗菌活性高于红霉素和罗红霉素。但本品对肠杆菌、假单胞菌属和不动杆菌不敏感。临床用于治疗肺炎链球菌(包括多药耐药菌株)、流感嗜血杆菌、卡他莫拉菌、肺炎衣原体、嗜肺军团菌、肺炎支原体、金黄色葡萄球菌引起的轻至中度社区获得性肺炎。