1
药物化学
1.10.3.1.3 三、非经典的β-内酰胺抗生素
三、非经典的β-内酰胺抗生素

1.β-内酰胺酶抑制剂

青霉素使用一段时间后,发现抗菌作用下降。主要原因是金葡菌或其他一些细菌对青霉素产生耐药。产生耐药的机制有几种,最重要的机制为某些耐药的细菌能产生一种β-内酰胺酶(β-Lactamase),如青霉素酶、头孢菌素酶等。这些酶能使β-内酰胺环开环降解,使β-内酰胺抗生素水解失活。其他的耐药机制还有:①细菌细胞壁通透性改变,使抗生素无法进入细胞内,或使抗生素主动泵出细胞壁而使药物不能产生活性;②青霉素结合蛋白的改变,使药物亲和力降低。

细菌释放的β-内酰胺酶可以反复作用,非常小量的竞争性酶可以破坏大量的药物。细菌对β-内酰胺抗生素的耐药性日益严重。β-内酰胺酶抑制剂是针对细菌对β-内酰胺抗生素产生耐药机制而研究发现的一类药物。它们对β-内酰胺酶有很强的抑制作用,本身又具有抗菌活性。β-内酰胺酶抑制剂也属于非经典β-内酰胺抗生素。

(1)氧青霉烷类 克拉维酸(Clavulanic Acid,又名棒酸)是从链霉菌(Streptomyces clavuligerus)得到的非经典的β-内酰胺抗生素,也是第一个用于临床的β-内酰胺酶抑制剂。临床用其钾盐。

克拉维酸钾(Potassium Clavulanate)

化学名为(Z)-(2R,5R)-3-(2-羟乙烯基)-7-氧代-4-氧杂-1-氮杂双环[3.2.0]庚烷-2-甲酸钾;potassium(Z)-(2R,5R)-3-(2-hydroxyethylidene)-7-oxo-4-oxa-1-azabicyclo[3.2.0]heptane-2-carboxylate。

本品为白色或类白色结晶性粉末,极易吸湿;在水中易溶,在甲醇中溶解,在乙醇中微溶,在乙醚中不溶。水溶液不稳定,易分解变色。

克拉维酸是由β-内酰胺环和氢化异噁唑拼合而成,且在氢化异噁唑氧原子的旁边有一个sp2杂化的碳原子,形成乙烯基醚结构,克拉维酸的环张力比青霉素要大得多,因此易受到β-内酰胺酶中亲核基团的进攻,发生不可逆的烷基化反应使β-内酰胺酶失活(图14-5)。克拉维酸是β-内酰胺酶不可逆抑制剂。

图14-5 克拉维酸抑制β-内酰胺酶的机制

在克拉维酸的结构中羟甲基与噁唑环中的氧处于同侧称为克拉维酸,处于异侧的称为异克拉维酸,也有抑制β-内酰胺酶的作用。

本品仅有微弱的抗菌活性,但可与多数β-内酰胺酶牢固结合,生成不可逆的结合物,无论是对革兰阳性菌或革兰阴性菌产生的β-内酰胺酶均有效。本品单独使用无效,常与β-内酰胺抗生素联合应用以提高疗效。克拉维酸可使阿莫西林增效130倍,使头孢菌素类抗生素增效30倍以上。临床上使用克拉维酸和阿莫西林组成复方制剂称为奥格门汀(Augmentin)的片剂,用于治疗耐阿莫西林细菌所引起的感染,还可以与替卡西林配伍。

(2)青霉烷砜类 青霉烷砜类具有青霉烷酸的基本结构,将其分子中S氧化成砜的结构得到舒巴坦(Sulbactam),为不可逆竞争性β-内酰胺酶抑制剂。舒巴坦口服吸收差,一般以钠盐静注给药。它的抑酶活性比克拉维酸稍差,但化学结构比较稳定。为改善口服吸收可将其制成特戊酸双酯。也可将氨苄西林与舒巴坦以次甲基相连形成双酯结构的前体药物,称为舒他西林(Sultamicillin),舒他西林口服后可迅速吸收,在体内非特定酯酶的作用下使其水解,分解出舒巴坦与氨苄西林,具有抗菌和抑制β-内酰胺酶的双重作用。

在舒巴坦的化学结构基础上,进行进一步研究发现了他唑巴坦(Tazobactam),它是新的不可逆的竞争性β-内酰胺酶抑制剂,抑酶活性和抑酶谱优于克拉维酸和舒巴坦。

舒巴坦钠(Sulbactam Sodium)

化学名为(2S,5R)-3,3-二甲基-7-氧代-4-硫杂-1-氮杂双环[3.2.0]庚烷-2-甲酸钠4,4-二氧化物;sodium(2S,5R)-3,3-dimethyl-7-oxo-4-thia-1-azabicyclo[3.2.0]heptane-2-carboxylate 4,4-dioxide。

本品为白色或类白色结晶性粉末,易溶于水,几乎不溶于丙酮和乙酸乙酯。在溶液中有一定的稳定性。

本品为广谱、不可逆竞争性β-内酰胺酶抑制剂。通过与β-内酰胺酶发生不可逆反应而使酶失活,当抑制剂被除去后,酶的活性也不能恢复。对革兰阳性菌和革兰阴性菌都有作用,当与氨苄西林合用时,能显著提高抗菌作用。可用于治疗对氨苄西林耐药的金葡菌、脆弱拟杆菌、肺炎杆菌、普通变形杆菌引起的感染。

舒巴坦为人工合成的化合物,其化学结构比6-APA少6位的氨基。工业生产上以6-APA为原料,经重氮化-溴代、氧化、催化氢化得到舒巴坦。

2.碳青霉烯类抗生素

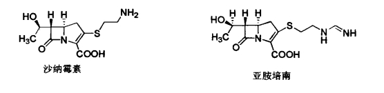
沙纳霉素(Thienamycin)又称为硫霉素,为20世纪70年代中期Merck公司研究人员在筛选能作用于细胞壁生物合成抑制剂的过程中,从链霉菌(Streptomyces cattleya)发酵液中分离得到的第一个碳青霉烯化合物。其抗菌谱广,对葡萄球菌等革兰阳性菌及铜绿假单胞菌、类杆菌等革兰阴性菌有显著的抗菌活性,而且对β-内酰胺酶也有较强的抑制作用。沙纳霉素与青霉素类抗生素在结构上的差别,在于噻唑环上的硫原子被亚甲基取代,由于亚甲基的夹角比硫原子小,加之C-2、C-3间存在双键,使二氢吡咯环成一个平面结构,从而使得沙纳霉素不稳定。另外,3位侧链末端为氨基,会向β-内酰胺环的羰基进行亲核进攻,导致其开环失活。6位的氢原子处于β构型,而青霉素的6位氢为α构型。

由于沙纳霉素水溶液的稳定性比较差;3位取代基末端的氨基易向β-内酰胺环进行亲核性进攻,使其开环失活,因此,沙纳霉素未能在临床使用。

通过对沙纳霉素进行结构改造,得到的亚胺培南(Imipenem)对革兰阳性菌、阴性菌和厌氧菌有广泛的抗菌活性,尤其对铜绿假单胞菌、MRSA及粪球菌有显著的抗菌活性。亚胺培南单独使用时,在肾脏受肾肽酶代谢而分解失活。临床上亚胺培南通常和肾肽酶抑制剂西司他丁(Cilastatin)合并使用,以增加疗效,减少肾毒性。

美罗培南(Meropenem)是临床上第一个能单独使用的碳青霉烯类抗生素。对肾脱氢肽酶稳定,不需与肾脱氢肽酶抑制剂合用,对革兰阳性菌、革兰阴性菌均敏感,尤其对革兰阴性菌有很强的抗菌活性。美罗培南注射给药的t1/21小时,体内分布广泛,能进入CSF和胆汁。血浆蛋白结合率约2%,主要以原型经肾排泄。本品能为血液透析清除。

比阿培南(Biapenem)是继美洛培南以后第二个带有4位甲基的碳青霉烯类抗生素,其肾毒性几乎为零,可以单独给药。本品抗菌谱广,抗菌活性强,抑制耐药铜绿假单胞菌的活性比美罗培南强4到8倍,能用于细菌性脑膜炎的治疗。

帕尼培南(Panipenem)的抗菌谱与亚胺培南相似,对MRSA的作用优于亚胺培南,但对铜绿假单胞菌的作用略逊于亚胺培南。临床用于葡萄球菌、链球菌、肠球菌等敏感菌引起的菌血症、心内膜炎、皮肤软组织感染、下呼吸道感染、妇科感染等的治疗。

法罗培南(Faropenem)为具青霉烯基本骨架的青霉烯类口服抗生素,虽然不属于碳青霉烯类抗生素,但归入培南类,可以口服,广谱,对需氧革兰阳性菌、需氧革兰阴性菌及厌氧菌均有效,对各种细菌产生的β-内酰胺酶稳定,对β-内酰胺酶产生菌具有较强的抗菌活性。

4.单环β-内酰胺类

单环β-内酰胺类又被称为单环菌素,由于结构较其他β-内酰胺类抗生素简单,利于全合成,并与青霉素类和头孢菌素类都不发生交叉过敏反应,加之对β-内酰胺酶稳定,因而引人注目。

诺卡菌素A(Nocardicin A)是由Nocardia uniformis菌所产生的单环β-内酰胺抗生素的主要成分,它对酸和碱比较稳定,对β-内酰胺酶也稳定。尽管诺卡霉素A的抗菌谱窄,抗菌活性差,没有临床应用价值,但它的发现改变了人们认为β-内酰胺环必须与其他杂环如四氢噻唑环、噻嗪环稠合,才能发挥抗菌作用的观点。

通过对诺卡霉素A母核3-氨基诺卡霉素(3-ANA)进行结构修饰得到许多衍生物,并从中发现了一些代表性的药物,如氨曲南(Aztreonam)、卡芦莫南(Carumonam)和替吉莫南(Tigemonam)等。

其中氨曲南是第一个应用于临床的单环β-内酰胺类抗生素,2位a-甲基可以增加氨曲南对β-内酰胺酶的稳定性。1位的强吸电子磺酸基团,有利于β-内酰胺环开环。对各种需氧革兰阴性菌包括铜绿假单胞菌有很强的抗菌活性,对需氧的革兰阳性菌和厌氧菌的抗菌活性较小,对各种β-内酰胺酶稳定,能透过血脑屏障,副反应少。临床用于呼吸道感染、尿路感染、软组织感染、败血症等,疗效良好。

氨曲南耐受性好,副反应少,无过敏性反应。此外,氨曲南与青霉素类和头孢菌素类抗生素不发生交叉性过敏反应。为寻找无过敏反应、高效、广谱的β-内酰胺类抗生素提供了一个新的研究方向。

卡芦莫南和替吉莫南也具有广谱抗菌活性,组织穿透性好,对β-内酰胺酶稳定。卡芦莫南主要用于严重革兰阴性需氧杆菌引起的感染。