1
药物化学
1.10.2.3.3 三、非核苷类
三、非核苷类

利巴韦林(Ribavirin)

化学名:1-β-D-呋喃核糖基-1H-1,2,4-三唑-3-甲酰胺;1-β-D-ribofuranosyl-1H-1,2,4-triazole-3-carboxamide。又名三氮唑核苷、病毒唑(Virazole)。

本品为白色结晶性粉末,无臭,无味,易溶于水。

本品可抑制呼吸道合胞病毒、流感病毒、甲肝病毒、腺病毒等多种病毒的复制。利巴韦林并不改变病毒吸附、穿入和脱壳,也不诱导干扰素的产生。其进入被病毒感染的细胞后迅速磷酸化,产物作为病毒核酸聚合酶的竞争性抑制剂,抑制肌苷单磷酸脱氢酶、流感病毒RNA聚合酶和mRNA鸟苷转移酶,从而引起细胞内鸟苷三磷酸的减少,阻断病毒RNA和蛋白质合成,使病毒的复制与传播受抑。

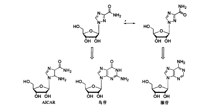
从化学结构看,本品可视为磷酸腺苷(AMP)和磷酸鸟苷(GMP)生物合成前体氨基咪唑酰氨核苷(AICAR)的类似物。X-衍射晶体学研究表明,本品与鸟苷的空间结构有很大的相似性,若将本品的酰胺基团旋转后和腺苷的空间结构也有很大的相似性。因此本品易被细胞内的嘌呤核苷激酶一磷酸化,继之三磷酸化。所得利巴韦林一磷酸酯可以抑制单磷酸次黄嘌呤核苷(IMP)脱氢酶,从而抑制了GMP的生物合成。利巴韦林三磷酸酯抑制mRNA的5'末端鸟嘌呤化和末端鸟嘌呤残基的N7甲基化,并且与GTP和ATP竞争抑制RNA聚合酶。

利巴韦林进入体内,迅速分布到身体各部分,且可达到有效浓度,并可通过血-脑脊液屏障。静脉给药后,在0~48小时间隔内,从尿液中可检出16.7%±10.3%的药物(以原形排出),有6.2%±1.7%以代谢物排泄。利巴韦林在呼吸道分泌物中的浓度大多高于血药浓度,药物进入细胞后蓄积量大,高浓度时还能抑制癌细胞生成和HIV增殖。由于利巴韦林可透过胎盘,也能进入乳汁,具有致畸和胚胎毒性,故妊娠期妇女禁用。该药与1986年经FDA批准用于治疗新生儿鲁斯肉瘤病毒感染。对病毒性上呼吸道感染、乙型脑炎、腮腺炎、带状疱疹,病毒性肺炎和流行性出血热等有特效。最近在英国,瑞士,意大利等国已批准作为艾滋病的预防用药。本品与齐多夫定同用时有拮抗作用,因本品可抑制齐多夫定转变成活性型的磷酸齐多夫定。大剂量应用可致心脏损害,对有呼吸道疾患者(慢性阻塞性肺病或哮喘者)可致呼吸困难、胸痛等。

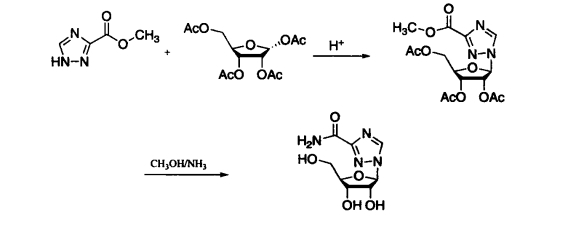
利巴韦林的合成是以三氮唑甲酸酯为原料在酸催化下和核糖缩合而成。

利巴韦林的肝脏靶向前药viramidine在肝脏中被丙氨酸脱氨酶迅速转化为利巴韦林,在肝脏中的浓度比直接使用利巴韦林高三倍。已用作慢性丙型肝炎的治疗药。

膦甲酸钠(Foscarnet Sodium)和膦乙酸钠(Fosfonet Sodium)是无机焦磷酸盐的有机类似物,在体外试验中可抑制包括巨细胞病毒、单纯疱疹病毒1型和2型等疱疹病毒的复制。在不影响细胞DNA聚合酶的浓度下,膦甲酸钠在病毒特异性DNA聚合酶的焦磷酸盐结合位点产生选择性抑制作用,从而表现出抗病毒活性。膦甲酸钠不需要被胸腺嘧啶激酶或其他激酶激活(即磷酸化),因此在体外对单纯疱疹病毒TK缺失突变株和巨细胞病毒UL97突变株有活性。所以,耐阿昔洛韦的单纯疱疹病毒或耐更昔洛韦的巨细胞病毒会对膦甲酸钠敏感。