1
药物化学
1.10.2.3.2 二、嘌呤核苷类
二、嘌呤核苷类

阿糖腺苷(Vidarabine)是天然存在的化合物,由链霉菌(Streptomyces antibioticus)的培养液中提取得到,也可以通过全合成制备,具有广谱抗病毒活性。国外产品为本品的混悬液,国内产品为本品的单磷酸酯溶液。阿糖腺苷在体内也是对单纯疱疹病毒及带状疱疹病毒作用最强,对水痘带状疱疹病毒、牛痘病毒、乙肝病毒次之,对腺病毒、伪狂犬病毒和一些RNA肿瘤病毒有效,对大多数RNA病毒无效。经细胞酶磷酸化生成三磷酸阿糖腺苷,可与三磷酸脱氧腺苷竞争性抑制病毒的DNA多聚酶,并结合进病毒的DNA链,三磷酸阿糖腺苷也抑制核糖核苷酸还原酶,从而抑制病毒DNA的合成。

阿糖腺苷具有抗单纯疱疹病毒(HSV1和HSV2)作用,临床上用以治疗单纯疱疹病毒性脑炎和免疫缺损病人的带状疱疹和水痘感染,但对巨细胞病毒则无效。本品的单磷酸酯有抑制乙肝病毒复制的作用,我国用其来治疗病毒性乙型肝炎。

阿糖腺苷通常经静脉滴注给药,进入体内后迅速被血液中的腺苷脱氨酶脱氨生成阿拉伯糖次黄嘌呤。脱氨产物的抗病毒作用比阿糖腺苷作用弱。为了克服这一缺点,设计和合成一些新的具有拮抗腺苷脱氨酶作用的化合物,如Cyclaradine,它可以拮抗腺苷脱氨酶,并能在水中稳定存在,具有较好的抗DNA病毒活性。

由于腺苷类药物在体内易被脱氨酶转化为脱氨化合物而失活,在寻找腺苷脱氨酶抑制剂的过程中,通过对糖基进行修饰发现了一些开环的核苷有较好的抗病毒活性,人们为此而设置了一系列开环核苷衍生物,并从中开发了对疱疹病毒有高度特异性的阿昔洛韦(Acyclovir)。阿昔洛韦是开环鸟苷类似物,对疱疹病毒的毒性比对宿主细胞的毒性强300~3000倍,其抗病毒活性比阿糖腺苷强160倍。阿昔洛韦于1981年上市以来,至今已在60多个国家销售,有六种不同剂型,是目前世界销量最大的抗病毒药物。但阿昔洛韦水溶性差,口服较难吸收,并且其抗病毒谱仅局限在单纯疱疹病毒及带状疱疹病毒而对巨细胞病毒无效。后来又陆续研发了更昔洛韦(Ganciclovir),以及喷昔洛韦(Penciclovir)。

阿昔洛韦(Aciclovir)

化学名2-氨基-1,9-二氢-9-[(2-羟乙氧基)甲基)]-6H-嘌呤-6-酮;2-amino-1,9-dihydro-9-[(2-hydroxyethoxy)methyl]-6H-purin-6-one。又名无环鸟苷。

本品为白色结晶性粉末,微溶于水,其钠盐易溶于水。

阿昔洛韦是开环鸟苷类似物,其作用机制独特。主要抑制病毒编码的胸苷激酶和DNA聚合酶,从而能显著地抑制病毒感染细胞中DNA的合成,而不影响非感染细胞的DNA复制。阿昔洛韦是广谱抗病毒药,主要用于疱疹性角膜炎、生殖器疱疹、全身性带状疱疹和疱疹性脑炎的治疗,也可用于治疗乙型肝炎。

阿昔洛韦有多种合成方法,其中以鸟嘌呤为原料的路线较为适合工业化生产。以鸟嘌呤为原料与硅烷化试剂在高温和无水条件下反应得其硅烷化保护的鸟嘌呤,再以乙酰氧乙氧卤代甲烷烷基化,经乙醇脱保护基得乙酰氧乙氧甲基鸟嘌呤,再经水解,重结晶制得阿昔洛韦。

阿昔洛韦与以前的核苷类似物抗病毒药不同,它只含有部分的核苷结构,其糖环被一条开放链取代。阿昔洛韦可被病毒胸腺嘧啶激酶催化磷酸化变成一磷酸无环鸟苷,此过程比细胞胸腺嘧啶激酶快3000多倍。一磷酸无环鸟苷在细胞酶的催化下转变成二磷酸无环鸟苷及三磷酸无环鸟苷。一磷酸无环鸟苷是一种十分有效的DNA聚合酶抑制剂,它与病毒酶的亲和力是细胞聚合酶的100倍。作为酶作用物,三磷酸无环鸟苷与病毒的DNA结合,导致病毒DNA链延长终止。同时,病毒酶不能将三磷酸无环鸟苷从其DNA链上除去,从而导致DNA聚合酶的作用被进一步的抑制。

阿昔洛韦在使用过程中也有一定缺点:水溶性差,口服吸收少,会产生抗药性。阿昔洛韦与齐多夫定合用可引起肾毒性,表现为深度昏睡和疲劳。与丙磺舒竞争性抑制有机酸分泌,合并用丙磺舒可使本品的排泄减慢,半衰期延长,体内药物量蓄积。

在此基础上又研制了阿昔洛韦的前药地昔洛韦(Desciclovir)和伐昔洛韦(Valaciclovir)。地昔洛韦在水中溶解度比阿昔洛韦大18倍,口服吸收好,毒副作用小,进入体内后经黄嘌呤氧化酶作用转化为阿昔洛韦而产生活性。伐昔洛韦是阿昔洛韦的缬氨酸酯前药,胃肠道吸收好,在体内经肠壁或肝脏代谢生成阿昔洛韦继而转化为其三磷酸酯而产生作用,克服了阿昔洛韦口服吸收生物利用度低的缺点。临床用于治疗急性的局部带状疱疹。

伐昔洛韦(Valaciclovir)

化学名:2-[(2-氨基-1,6-二氢-6-氧代-9H-嘌呤-9-基)甲氧基]乙基-L-缬氨酸酯;Lvaline 2-[(2-amino-1,6-dihydro-6-oxo-9H-purin-9-yl)methoxy]ethyl ester。

本品是阿昔洛韦的前体药物,口服后吸收迅速并在体内很快转化为阿昔洛韦,发挥其抗病毒作用,阿昔洛韦进入疱疹病毒感染的细胞之后,与脱氧核苷竞争病毒胸腺嘧啶激酶和细胞激酶,药物被磷酸化成活化型无环鸟苷三磷酸酯,作为病毒复制的底物与脱氧鸟嘌呤三磷酸酯竞争病毒DNA聚合酶,从而抑制了病毒DNA合成,显示抗病毒作用。伐昔洛韦体内的抗病毒活性优于阿昔洛韦,对水痘带状疱疹病毒也有很高的疗效,对哺乳动物宿主细胞的毒性很低。大鼠和小鼠灌胃给药的LD50分别4.4g/kg和1.51g/kg。由于本品在体内很快转化为阿昔洛韦,其代谢物在体内没有蓄积现象。在不同阶段的长期毒性试验中,本品与阿昔洛韦具有相同的安全性。用于治疗水痘带状疱疹及Ⅰ型、Ⅱ型单纯疱疹病毒感染,包括初发和复发的生殖器疱疹病毒感染。

本品口服后迅速吸收转化为阿昔洛韦,血中阿昔洛韦达峰时间为0.88~1.75小时。口服生物利用度为67%±13%,是阿昔洛韦的3~5倍。本品进入体内后广泛分布,其中胃、小肠、肾、肝、淋巴结和皮肤组织中浓度最高,脑组织中的浓度最低。本品在体内全部转化为阿昔洛韦,代谢物主要从尿中排除,其中阿昔洛韦占46%~59%,8-羟基-9-鸟嘌呤占25%~30%,9-羟基甲氧基鸟嘌呤占11%~12%。

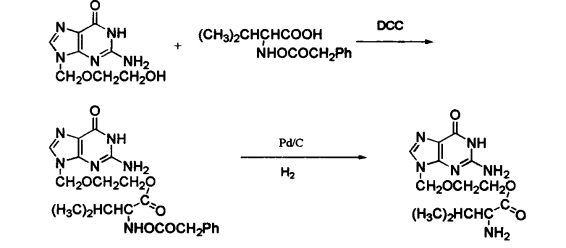
合成方法:将阿昔洛韦与N-苄氧羰基-L-缬氨酸缩合,然后氢解脱保护基制得伐昔洛韦。

更昔洛韦(Ganciclovir),可以看成是具有C-3'和C-5'羟基的开环脱氧鸟苷衍生物。其作用机制和阿昔洛韦相似。更昔洛韦对巨细胞病毒(CMV)的作用比阿昔洛韦强,在抗脑脊髓炎和肠道炎方面疗效显著。本品对病毒胸苷激酶的亲合力比阿昔洛韦高,因此对耐阿昔洛韦的单纯疱疹病毒仍然有效。但是更昔洛韦的毒性比较大,临床上主要用于治疗巨细胞病毒引起的严重感染。

喷昔洛韦(Penciclovir)是更昔洛韦的电子等排体,和阿昔洛韦有相同的抗病毒谱。喷昔洛韦同样也是在体内转化为三磷酸酯而发挥作用,该化合物的三磷酸酯稳定性比阿昔洛韦三磷酸酯的稳定性高,且在病毒感染的细胞中浓度也较高。和阿昔洛韦相比,喷昔洛韦在停药后仍可保持较长时间的抗病毒活性,而阿昔洛韦停药后其抗病毒活性会迅速消失。

泛昔洛韦(Famciclovir)是喷昔洛韦的前药。尽管喷昔洛韦对单纯疱疹病毒HSV-1和HSV-2以及水痘带状疱疹病毒有较高的活性,但其生物利用度较低。在寻找其高生物利用度药物时,得到6-去氧喷昔洛韦的双乙酰化物泛昔洛韦。泛昔洛韦口服后在胃肠道和肝脏中迅速被代谢产生喷昔洛韦,生物利用度可达77%。

西多福韦(Cidofovir)是合成胞嘧啶非环状核苷类衍生物,以单磷酸酯的形式存在,进入体内后经宿主细胞的酶将其转化为活化的西多福韦二磷酸酯而发挥作用。西多福韦对HSV-1、HSV-2、VZV、CMV及EBV有较强的抑制作用,对耐阿昔洛韦的HSV病毒株和耐更昔洛韦的病毒株也有效。西多福韦最大的副作用是会引起肾小管损伤而产生肾毒性。

阿德福韦(Adefovir,阿地福韦)是腺嘌呤的非环状核苷衍生物,对嗜肝病毒、逆转录病毒及疱疹病毒都具有明显的抑制作用,对拉米夫定(3TC)耐药的病毒变异株有较好的抑制作用,可补充或替代对3TC耐药株的治疗,且二者之间不产生交叉耐药性。临床上用于治疗慢性乙型肝炎,对晚期AIDS患者能延长其存活时间,且无致畸、诱变、致癌及胚胎毒性。