1
药物化学
1.10.2.3.1 一、嘧啶核苷类
一、嘧啶核苷类

碘苷(Idoxuridine)

化学名2'-脱氧-5-碘尿苷;2'-deoxy-5-iodouridine。

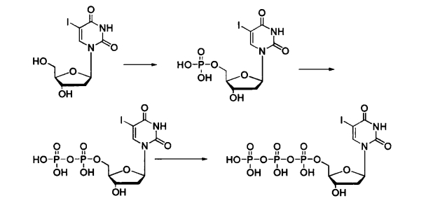
1959年合成的碘苷是第一个应用于临床的抗病毒核苷类化合物。碘苷的化学结构和胸腺嘧啶脱氧核苷相似,在尿嘧啶的5位上以碘代替胸腺嘧啶5位的甲基,碘原子的范德华半径为2.15Å,和甲基的半径2.00A相近,因此碘苷可和胸腺嘧啶脱氧核苷竞争性地抑制DNA聚合酶,阻碍病毒DNA的合成。

碘苷本身无活性,它在体内被细胞和病毒胸腺嘧啶核苷激酶磷酸化生成三磷酸碘苷,后者是活性形式。

在3次磷酸化过程中,由于单纯疱疹病毒编码的病毒胸腺嘧啶核苷激酶催化活性高于细胞内的酶,从而造成碘苷在被病毒感染细胞中的浓度高于正常细胞,使其抗疱疹病毒作用具有选择性。碘苷也是胸苷磷酸化酶和胸苷酸合成酶的底物。这二个酶使得碘苷和单磷酸碘苷在体内分别代谢为5-碘代尿嘧啶和单磷酸尿苷。这就是碘苷口服或非血管注射给药时无效的原因。

碘苷对单纯疱疹病毒和牛痘病毒等DNA病毒有效,对流感病毒等RNA病毒无效。主要用于治疗局部单纯疱疹病毒所致的角膜炎,静脉滴注时仅用于治疗单纯疱疹病毒所致病毒性脑炎。由于毒副作用如骨髓抑制、胃肠道反应较大,且应用范围较窄,水溶性较小,在临床上应用较少。继碘苷后,曲氟尿苷(Trifuridine)、依度尿苷(Edoxudine)、依培夫定(Epervudine)、溴夫定(Brivudine)等药先后上市。

曲氟尿苷(Trifluridine,又名三氟胸苷Trifluorothymidine),其作用机制和碘苷相类似,首先被磷酸化,形成三磷酸酯的形式然后掺入到病毒DNA中,抑制随后的转录过程,曲氟尿苷的水溶性较大,对Ⅰ型和Ⅱ型单纯疱疹病毒均有效。可用于治疗眼睛疱疹感染和抗碘苷的病毒疾病。随着5位取代基的变化,当取代基的吸电子能力越强时,就会形成稳定的C-X键,所形成的化合物对胸苷酸合成酶的抑制作用也增强。

阿糖胞苷(Cytarabine)是胞嘧啶衍生物,于1959年合成,最初是用作抗肿瘤药物。研究中发现阿糖胞苷能阻止脱氧胞嘧啶核苷的形成,抑制病毒DNA的合成,和碘苷的作用机制基本相同。阿糖胞苷对单纯疱疹病毒,水痘-带状疱疹病毒等均有强抑制作用,但选择性较差,其类似物安西他滨(Ancitabine)和依巴他滨(Ibacitabine)均在20世纪70年代上市。西多福韦(Cidofovir)是阿糖胞苷的小分子开环类似物,对巨细胞病毒及疱疹病毒都有强抑制作用。