1
药物化学
1.10.1.3.1 一、抗生素类抗真菌药
一、抗生素类抗真菌药

抗生素类抗真菌药分为多烯和非多烯两类。

在20世纪50年代中期以前,有效的抗真菌制剂只局限于局部外用制剂,即苯甲酸和水杨酸的混合物。对于一些深层全身真菌感染没有可靠的治疗方法。多烯类药物的发现是一个很大的突破,是第一类能有效对抗深层真菌感染的药物。多烯类药物结构特点是含碳数目为12~14及35~37的大环内酯类,有独特的亲水和亲脂区域。亲水区包含几个醇,一个羧酸,通常还有一个糖。亲脂区包括由4到7个共轭双键构成的部分药效团。共轭双键的数目与其在体外的抗真菌活力直接相关,而与它对哺乳动物细胞的毒性呈反相关。因结构中含有共轭多烯基团,此类药物性质不稳定,可被光、热、氧等迅速破坏。

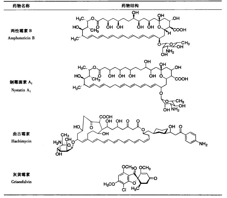
多烯类药物对细胞膜有亲和力,可以插入膜中,破坏膜功能。细胞用多烯类药物处理后,细胞膜会渗漏。细胞最后会死亡,原因在于细胞的重要成分如离子和小的有机分子的丢失。与含胆固醇的膜相比,多烯类药物对含麦角固醇的膜亲和力更高。这就是它们对真菌细胞具有更强毒性的基础。有证据表明在不同类型的细胞中,插入机制不同,多烯分子可以单独的插入含麦角固醇的膜,但要插入含胆固醇的膜则需要先形成多烯胶束。代表药物有制霉菌素(Nystatin)、两性霉素B(Amphotericin B)、曲古霉素(Trichomycin)等。

制霉菌素于1951年从诺尔斯链霉菌的培养物中分出。它是一种共轭的四烯化合物,也是第一个应用于临床的多烯类抗真菌药物。制霉菌素可局部外用,可有效对抗很多种真菌,并且有各种药膏形式。制霉菌素的毒性太强,所以不能用于全身治疗。不过口服后,基本不会吸收,所以可以通过口服给药治疗口腔和胃肠道感染。制霉菌素为寻找其他的可以用于全身治疗的多烯类药物的发现提供了条件。一些抗生素类抗真菌药见表12-3。

表12-3 部分抗生素类抗真菌药结构

两性霉素B于1956年发现,它是一种七烯化合物,对哺乳动物细胞的毒性小,因此可以静脉注射,但它仍然是一种具有一定毒性的药物。它的副作用包括发热,寒战,血压过低和严重的肾脏毒性。尽管有毒性,两性霉素B仍然是治疗全身性、有致命危险的真菌感染的首选药物。该药物不能通过血脑屏障,要治疗中枢神经系统的真菌感染,必须要鞘内注射给药。最近出现了两性霉素B的脂质体制剂,这种脂质复合体可以大大降低该药物对人类的毒性,改变了药物的分布,提高了药物的血浆浓度。

非多烯类抗生素主要有灰黄霉素(Griseofulvin)和西卡宁(Siccanin)等。虽然它们对深部真菌感染也有抑制作用,但其毒性较大,并且生物利用度低,故主要用于浅表真菌感染。

两性霉素B(Amphotericin B)

两性霉素B为黄色至橙黄色粉末,无臭或几乎无臭,无味;有引湿性。在二甲基亚砜中溶解,在二甲基甲酰胺中微溶,在甲醇中极微溶解,在水、无水乙醇、三氯甲烷或乙醚中不溶。mp.>170℃(分解)。

由于结构中有氨基和羧基,故兼有酸碱两性。遇光、热、强酸、强碱均不稳定,在日光下易被破坏失效,在pH4~10时稳定。

多烯类抗生素主要用于深部真菌感染,此类抗生素与真菌细胞膜上的甾醇结合,损伤膜的通透性,导致细菌细胞内钾离子、核苷酸、氨基酸等外漏,破坏正常代谢而起抑菌作用。游离甾醇和细胞膜上的甾醇竞争多烯类抗生素,而使多烯类抗生素作用减小。两性霉素B主要用于深部真菌感染,也用于治疗皮肤和黏膜真菌感染。口服后在胃肠道的吸收少而不稳定,不良反应较多。

与其他药物的相互作用:与多种药物有配伍禁忌,如氯化钠、氯化钾、氯化钙、葡萄糖酸钙、依地酸钙钠、青霉素、羧苄西林、硫酸阿米卡星、硫酸庆大霉素、硫酸卡那霉素、硫酸链霉素、盐酸金霉素、盐酸土霉素、盐酸四环素、硫酸多黏菌素B、盐酸氯丙嗪、盐酸苯海拉明、盐酸多巴胺、盐酸利多卡因、盐酸普鲁卡因、重酒石酸间羟胺、盐酸甲基多巴、呋喃妥因和维生素类等。