1
药物化学
1.10.1.1.3 三、喹诺酮类药物的化学结构与抗菌活性的关系
三、喹诺酮类药物的化学结构与抗菌活性的关系

喹诺酮类药物构效关系如图12-2。

图12-2 喹诺酮类药物的构效关系

(1)N1位上的取代基对抗菌活性贡献较大,其取代基可以为脂肪烃基和芳烃。若为脂肪烃基取代时,在甲基、乙基、乙烯基、正丙基、烯丙基、氟乙基、羟乙基中,以乙基或与乙基体积相似的乙烯基、氟乙基取代时抗菌活性最强;若为脂肪环取代时,在环丙基、环丁基、环戊基、环己基、1-甲基环丙基、2-甲基环丙基中,抗菌作用最好的为环丙基,其抗菌活性大于乙基取代衍生物;若以苯取代时,其抗菌活性与乙基相似,在苯核衍生物中,以2,4-二氯苯基和4-羟基苯基为佳。这些基团的存在,可以使抗菌谱扩大,特别是对革兰阳性菌的活性增加;当1位和8位间成环时,可产生光学异构体,其中以S构型异构体对DNA螺旋酶的抑制作用强。

(2)2位上引入取代基后,其活性减弱或消失,这可能是因为2位取代基的空间位阻,干扰了该类药物与受体的结合。

(3)3位羧基和4位酮基是该类药物与DNA螺旋酶结合产生药效必不可少的部分,3位羧基被磺酸、乙酸、磷酸、磺酰胺、异羟肟酸、甲氧羰基等代替,4位酮基被硫酮基、亚氨基代替均使抗菌活性消失。

(4)5位取代基中,氨基取代时活性最好,其他基团取代时,活性均降低。C-5位取代基(包括氨基)的存在,从空间张力角度上,都一定程度地干扰了4位羰基与靶位的结合,并且取代基越大,干扰越严重,所以活性降低。但从电效应角度考虑,凡能有效地向母核共轭π键提供电子的取代基,均应使4位羰基氧原子上的电荷密度不同程度地提高,从而增加了这种结合力,4位羰基氧原子上电荷密度越大,其抗菌活性越强。

(5)6位引入氟导致其抗菌活性比6-氢的类似物活性提高30倍。这归因于6位氟的引入可以使药物对DNA螺旋酶的结合力增加2~17倍,对细菌胞壁的穿透性增加1~70倍。

(6)7位一直是氟喹诺酮结构修饰的重点,7位引入各种取代基均可明显增加抗菌活性,对活性贡献大小的顺序为哌嗪基>二甲氨基>甲基>卤素>氢,以哌嗪基为最佳。7位哌嗪基的引入使喹诺酮类药物的抗菌谱扩大,特别是对于革兰阴性菌,在7位侧链如哌嗪上引入甲基有利于增加衍生物的亲脂性,提高抗革兰阴性菌和结核杆菌的活性。7位以3-氨基吡咯烷取代也有利于提高抗革兰阴性菌和铜绿假单胞菌活性。吉米沙星的7位侧链有独特的甲肟结构,构效关系表明这一特殊结构对其抗菌谱影响突出,可提高抗革兰阴性菌的活性,甲基若以其他更大的基团或氢代替都使其活性降低甚至消失。

(7)8位上的取代基可以为H、Cl、F、NO2、NH2,以F为最佳。若为甲基、乙基、甲氧基、乙氧基时,其对活性贡献的顺序为甲基>H>甲氧基>乙基>乙氧基。8位引入取代基后,使其对紫外光稳定性增加,光毒性减小。

吡哌酸(Pipemidic Acid)

化学名为8-乙基-5-氧代-5,8-二氢-2-(1-哌嗪基)吡啶并[2,3-d]嘧啶-6-羧酸三水合物;8-ethyl-5,8-dihydro-5-oxo-2-(1-piperazinyl)pyrido[2,3-d]pyrimidine-6-carboxylic acid。

毗哌酸为微黄色至淡黄色的结晶性粉末;无臭,味苦。在甲醇或二甲基甲酰胺中微溶,在水或三氯甲烷中极微溶解,在乙醇、乙醚或苯中不溶;在氢氧化钠试液或冰醋酸中易溶。本品的熔点为251~256℃,熔融时同时分解。本品对光不稳定,遇光色渐变为污黄色。

吡哌酸与萘啶酸和吡咯酸不同之处,在于其分子中引入碱性的哌嗪基团。这个基团的引入,使得整个分子的碱性和水溶性增加,从而使其抗菌活性增强。这主要归因于哌嗪基团能与DNA螺旋酶B亚基之间相互作用,从而增加此药对该酶的亲和力。

吡哌酸分子是吡啶和嘧啶骈合组成的母核,其羧基和哌嗪基的存在使其具有酸性和碱性,故可以溶于酸性和碱性溶液,而在中性溶液中溶解度较小。

吡哌酸体内代谢稳定,在尿中24小时回收率为90%,原药占50%以上。因此,吡哌酸在临床上,主要用于敏感性革兰阴性菌和葡萄球菌所致的尿道、肠道及耳道感染。

诺氟沙星(Norfloxacin)

化学名为1-乙基-6-氟-1,4-二氢-4-氧代-7-(1-哌嗪基)-3-喹啉羧酸;1-ethyl-6-fluoro-1,4-dihydro-4-oxo-7-(1-piperazinyl)-3-quinoline carboxylic acid,别名氟哌酸。

本品为类白色至淡黄色结晶性粉末;无臭,味微苦;在空气中能吸收水分,遇光色泽变深。在二甲基甲酰胺中略溶,在水或乙醇中极微溶解;在醋酸、盐酸或氢氧化钠溶液中易溶。熔点为218~224℃。

诺氟沙星在室温下相对稳定,但在光照条件下可分解,得到7-哌嗪环开环产物,酸性下回流可进行脱羧,得到3-脱羧产物。

诺氟沙星及所有喹诺酮类药物的结构中,3,4位为羧基和酮羰基,极易和金属离子如钙、镁、铁、锌等形成螯合物,不仅降低了药物的抗菌活性,同时也使体内的金属离子流失,尤其对妇女、老人和儿童引起缺钙、贫血、缺锌等副作用,因此这类药物不宜和牛奶等含钙、铁等食物和药品同时服用,同时老人和儿童也不宜多用。

诺氟沙星口服吸收迅速,1~2小时达血药峰浓度,半衰期为4小时,但食物能延缓其吸收。吸收后能较好地进入泌尿生殖系统,保持尿中浓度高于多数病原微生物的最小抑制浓度(MIC),约30%原药由尿中排出。代谢主要发生在哌嗪环上,即哌嗪顶端N旁碳原子发生羟化,再进一步氧化成酮,以及生成哌嗪环顶端N-端氧化物和哌嗪开环衍生物(图12-3)。

图12-3 诺氟沙星的代谢

氟喹诺酮类药物不良反应有:胃肠道反应、中枢神经系统毒性、皮肤反应及光敏反应、软骨损害。

药物的相互作用:与制酸药如氢氧化铝、三硅酸镁等含金属离子的药物同服时,会影响本品的吸收,应避免一同服用;氯霉素和利福平可拮抗本品的作用;呋喃坦丁因可对抗本品在泌尿道中的抗菌作用,属配伍禁忌。

诺氟沙星是第一个上市的氟喹诺酮类抗菌药物,为广谱杀菌药,对革兰阴性菌作用较强,特别是对铜绿假单胞菌的作用强于庆大霉素等氨基糖苷类抗生素,其最低抑菌浓度(MIC)远较常用的抗革兰阴性菌药物低。对革兰阳性菌有效,对支原体亦有一定的作用,对大多数厌氧菌不敏感。主要用于呼吸道、耳鼻喉科、肠道、泌尿道、妇科、外科和皮肤科等感染性疾病的治疗,临床上用于治疗咽喉炎、扁桃体炎、毛囊炎、蜂窝织炎、肾盂肾炎、膀胱炎等。曾用于治疗恶性疟疾,疗效与甲氟喹、青蒿素等相当。

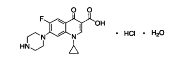
盐酸环丙沙星(Ciprofloxacin Hydrochloride)

化学名为1-环丙基-6-氟-1,4-二氢-4-氧代-7-(1-哌嗪基)-3-喹啉羧酸盐酸盐水合物;1-cyclopropyl-6-fluoro-1,4-dihydro-4-oxo-7-(1-piperazinyl)-3-quinoline carboxylic acid hydrochloride monohydrate,别名环丙氟哌酸。

本品为白色至微黄色结晶性粉末,几乎无臭,味苦。在水中溶解,在甲醇中微溶,在乙醇中极微溶解;在0.1mol/L盐酸溶液中略溶。熔点308~310℃。游离的环丙沙星为微黄色或黄色的结晶性粉末,几乎不溶于水或乙醇,溶于冰醋酸或稀酸中,熔点255~257℃。

环丙沙星为诺氟沙星分子中1位乙基被环丙基取代所得的喹诺酮类抗菌药。于1983年由德国Bayer公司研制成功。虽然抗菌谱与诺氟沙星相似,但对大肠埃希菌、铜绿假单胞菌、流感嗜血杆菌、淋球菌、链球菌、军团菌、金黄色葡萄球菌等的最低抑菌浓度(MIC)为0.008~2μg/ml,这显然优于其他同类药物及头孢菌素和氨基糖苷类抗生素。另外,对耐β-内酰胺类或耐庆大霉素的病原菌也显效,这使得该药在临床上被广泛使用。用于泌尿生殖系统、消化系统、呼吸系统、皮肤软组织感染及骨髓炎等。

本品口服后,有首过效应,生物利用度较低(为38%~60%)。静脉滴注可弥补此缺点。半衰期为3.3~5.8小时。吸收后体内分布广泛,经肝代谢后从肾排出。有时会产生消化系统功能紊乱、中枢神经系统反应、失眠等副作用,肾功能不全者慎用。还可透过胎盘屏障,并分泌至乳汁中,其浓度接近血药浓度,哺乳期妇女使用本品时应停止哺乳。

药物的相互作用:不宜与氨茶碱、丙磺舒、阿霉素及呋喃妥因合用;与制酸药如氢氧化铝、三硅酸镁等含金属离子的药物同服时,会影响本品的吸收,应避免一同服用。

莫西沙星(Moxifloxacin)

化学名为1-环丙基-6-氟-1,4-二氢-8-甲氧基-7-[(4aS,7aS)-八氢-6H-吡咯并(3,4-b)吡啶-6-基]-4-氧代-3-喹啉羧酸;1-Cyclopropyl-6-fluoro-1,4-dihydro-8-methoxy-7-[(4aS,7aS)-octahydro-6H-pyrrolo[3,4-b]pyridin-6-yl]-4-oxo-3-quinolinecarboxylic acid。

莫西沙星是一种8-甲氧基氟喹诺酮类药物,具有广谱抗革兰阴性菌和阳性菌活性。其8-甲氧基能降低革兰阳性菌的耐药性,与其他氟喹诺酮类药物相比,对本品耐药的革兰阳性菌很少或耐药性产生很慢。抗菌作用机制为干扰拓扑异构酶Ⅱ、Ⅳ。对常见的呼吸道病原菌(如肺炎链球菌,流感嗜血菌,黏膜炎莫拉菌)及一些金黄色葡萄球菌具有抗菌活性。对嗜肺军团菌、衣原体及支原体的活性与其他氟喹诺酮类药物相似。对铜绿假单胞菌的活性与左氧氟沙星相似,但弱于环丙沙星,对厌氧菌的活性与司帕沙星相当,强于环丙沙星和氧氟沙星,弱于曲伐沙星。对肺炎链球菌的活性强于格帕沙星、司帕沙星、左氧氟沙星、环丙沙星、氧氟沙星、红霉素、四环素及青霉素。

药物动力学特性:口服后吸收迅速,绝对生物利用度约91%,1~3小时达血药峰浓度。可以很快分布到体内各组织,肺泡液、肺泡巨噬细胞、支气管组织、唾液等药物浓度比血药浓度高,蛋白质结合率约为45%。本品经过第二阶段的生物转化后通过肾脏和胆汁、粪便以原形和硫化物、葡萄糖醛酸缩合的形式排出。口服给药后尿和粪便中的原型药及其代谢物超过96%,注射给药后尿和粪便中的原型药及其代谢物超过98%。

不良反应:常见的不良反应为胃肠道不适,少数有头痛、恶心及局部荨麻疹。与其他一些氟喹诺酮类药物相比,该药引起的光敏毒性及中枢神经系统兴奋性的倾向较小。服药期间病人无需采取特殊措施防护紫外线。

药物相互作用:与抗酸药、矿物质和多种维生素同时服用会减少本品的吸收。因此,抗酸药及其他含有镁和铝等矿物制剂需要在口服本品4小时前或2小时后服用。本品可能引起心电图改变(QTc延长),应用抗心律失常药的病人慎用。另外,非甾体抗炎药与喹诺酮类药物同时使用会增加中枢神经系统的刺激和惊厥的危险。

用于治疗慢性支气管炎急性恶化,社区获得性肺炎,急性细菌性鼻窦炎,无并发症的皮肤和软组织感染。