1
药物化学
1.10.1.1.1 一、喹诺酮类药物的发展
一、喹诺酮类药物的发展

喹诺酮类抗菌药(quinolone antimicrobial agents)又称吡酮酸类抗菌药(pyridonecarboxylic acid antibacterial agents),是一类具有1,4-二氢-4-氧代喹啉(或氮杂喹啉)-3-羧酸结构的化合物。自1962年萘啶酸(Nalidixic Acid)问世以来,该类药物发展迅速,现已成为抗菌药的支柱产品。喹诺酮类药物的发展经历了4个阶段。

第一代(1962~1969年)喹诺酮类抗感染药物主要代表有萘啶酸、吡咯酸(Piromidic Acid)等。这类药物仅对部分革兰阴性菌起作用,对革兰阳性菌和铜绿假单胞菌几乎没有活性。其优点是与其他抗菌药之间没有交叉耐药性,其局限性主要表现在体内容易被代谢失活,抗菌谱窄,易产生耐药性并有中枢神经系统副作用等缺点。由于其在泌尿道、胆道和肠道中的浓度较高,因此,被用于治疗泌尿道、胆道和肠道感染。

第二代(1969~1978年)喹诺酮类抗感染药物主要代表有西诺沙星(Cinoxacin)和吡哌酸(Pipemidic Acid)等。第二代喹诺酮类药物在分子中的7位引入了哌嗪环。分子药理学研究结果表明,7位哌嗪基团能和DNA螺旋酶B亚基之间相互作用,从而增加了喹诺酮类药物对DNA螺旋酶的亲和力。第二代喹诺酮类药物对革兰阴性菌有作用,较第一代喹诺酮类药物有明显的优点。例如,吡哌酸对铜绿假单胞菌有活性,萘啶酸、吡咯酸对高度耐药菌株也有抑制作用。西诺沙星和吡哌酸在体内代谢稳定,尿中24小时的回收率近50%,其中原药含量大于50%。7位哌嗪基的存在,使它具有良好的组织渗透性,因此,在大多数组织中,其浓度大于血药浓度。正由于此,在后来开发的喹诺酮类药物中都保留了7位的亲脂性基团,特别是以哌嗪最多。

第三代(1978~1996年)喹诺酮类抗感染药物主要代表有诺氟沙星(Norfloxacin)、依诺沙星(Enoxacin)、培氟沙星(Pefloxacin)、环丙沙星(Ciprofloxacin)、洛美沙星(Lomefloxacin)、氧氟沙星(Ofloxacin)等。该类药物的结构特征是:母核6位引入氟,7位有碱性哌嗪取代基,故又称为氟喹诺酮类。它们的抗菌谱进一步扩大,是目前临床应用最多的主流产品;氟喹诺酮类在体内均具有良好的组织渗透性,除脑组织和脑脊液外,它们在各组织和体液中均有良好的分布,并因此提高了抗菌活性,增宽了抗菌谱,应用范围也扩大到人体的诸多部位。如尿路感染,淋病,呼吸道感染,皮肤感染,胃和关节感染,腹腔感染,胃肠道感染,伤寒,败血症及慢性阻塞性呼吸道疾病急性发作,某些喹诺酮类药物还具有抗结核作用。

第四代(1997~至今)喹诺酮类抗感染药物主要代表有莫西沙星(Moxifloxacin)、巴洛沙星(Balofloxacin)、加替沙星(Gatifloxacin)、吉米沙星(Gemifloxacin)、帕珠沙星(Pazufloxacin)等。第四代喹诺酮类抗菌药能比较平衡地作用于2个靶点,即拓扑异构酶Ⅱ与拓扑异构酶Ⅳ,而前三代仅作用于拓扑异构酶Ⅱ。这类药物除了保持第三代氟喹诺酮类药物抗菌谱广等优点外,其抗菌强度是第三代氟喹诺酮类药物的3~30倍。对革兰阳性菌、厌氧菌、衣原体、支原体的抗菌活性优于第三代。药动学特点更趋良好,与前3代同类药物相比药代动力学特点是吸收快、体内分布广、血浆半衰期较长。由于其抗菌谱广且抗菌作用强,所以临床应用更广范。临床上既用于需氧菌感染,也可用于混合感染。

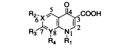
表12-1 部分喹诺酮类药物的化学结构

续表