1
药物化学
1.9.1.1.2 二、呋喃类
二、呋喃类

雷尼替丁(Ranitidine)是第二个上市的H2受体拮抗剂。1976年西咪替丁上市时,Glaxo公司的研究人员得到了化合物AH15475。

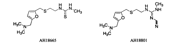
AH15475的生物活性与布立马胺相当。将氨基四唑环换成了呋喃环,在四碳原子链上插入硫原子,得到AH18166,使活性得到增加,但水溶性不够。

考虑到咪唑环是碱性的,而呋喃环是中性的,于是在呋喃环上通过曼尼希反应,接上二甲氨甲基,增加了水溶性,得到化合物AH18665。而后,又把硫脲基团更换成氰基胍,终于得到与西咪替丁活性相当的AH18801。

AH18801结晶困难,熔点较低。且AH18801的结构与西咪替丁极为相似,仅有五元环的部分不同,从西咪替丁的研究文献中得到脒基部分可用硝基取代的启示,将氰基胍的结构片段换成硝基乙脒,得AH19065(即雷尼替丁)。虽然AH19065的熔点较低,mp.69~70℃,但做成盐酸盐后熔点升高为133~134℃,且该化合物的活性比西咪替丁强10倍,最终得到雷尼替丁。

盐酸雷尼替丁(Ranitidine Hydrochloride)

化学名为N-[2[[5-[(二甲氨基)甲基]-2-呋喃基]甲基]硫代]乙基]-N'-甲基-2-硝-1,1-乙烯二胺盐酸盐;N-[2-[[[5-(dimethylamino)methyl]-2-furanyl]methyl]thio]ethyl]-N'-methyl-2-nitro-1,1-ethenediamine hydrochloride。又名甲硝呋胍,呋喃硝胺。

本品为类白色至浅黄色结晶性粉末,有异臭,味微苦带涩。易溶于水,极易潮解,吸潮后颜色变深。本品在注射用含氨基酸的营养液中,置室温24小时内可保持稳定,溶液的颜色、pH值、药物的含量等均无明显变化。药物的pKa值2.3,8.2。

本品经灼热,产生硫化氢气体,能使湿润的醋酸铅试纸显黑色。

本品在胃肠道里迅速被吸收,2~3小时达高峰。约50%发生首过代谢。肌注的生物利用度约为90%~100%。代谢物为N-氧化、S-氧化和去甲基雷尼替丁。口服量的30%和肌注量的70%,在24小时内以原型从尿中排出。

本品抑制胃酸的作用较西咪替丁强5~8倍,对胃及十二指肠溃疡的疗效高,且有速效和长效的特点。临床上主要用于治疗十二指肠溃疡、良性胃溃疡、术后溃疡、反流性食管炎等。其副作用较西咪替丁小,无抗雄性激素的副作用,不抑制CYP450氧化酶,与一些在体内通过氧化代谢后消除的药物合用,药物间的相互作用较小。

对雷尼替丁进行结构改造研究发现,用脂水分配系数大的5-取代异胞嘧啶基团代替二氨基硝基乙烯结构作为氢键键合的极性基团,可获得抑制胃酸分泌作用大于雷尼替丁的H2受体拮抗剂,如鲁匹替丁(Lupitidine)。

雷尼替丁生物利用度不高,将亲脂性较大的噻唑环代替雷尼替丁分子中的呋喃环所得的尼扎替丁(Nizatidine),其活性与雷尼替丁相仿,而生物利用度高达95%。