1
药物化学
1.8.2.4.2 二、苯氧乙酸类
二、苯氧乙酸类

在20世纪60年代,通过对大量乙酸衍生物的筛选,得到了降低胆固醇的氯贝丁酯(Clofibrate)。随后发展成苯氧乙酸类(Phenoxyacetic Acid Derivatives)的调血脂药。

苯氧乙酸类降血脂药物主要降低甘油三酯而不是胆固醇酯,此类药物可明显的降低VLDL并可调节性的升高HDL的水平及改变LDL的浓度。研究表明此类药物可能通过激活过氧化酶增殖的活化受体和改变基因表达而发挥作用。

氯贝丁酯是第一个临床应用的苯氧乙酸类药物,为前体药物,在体内转化为氯贝丁酸而产生作用,据此,开发了氯贝丁酯的铝盐、钙盐和镁盐等。临床上用于高蛋白血症和高甘油三酯血症。氯贝丁酯曾是广泛使用的药物,但本品长期使用的不良反应较多,如致心律失常作用,使胆囊炎、胆结石和肿瘤发病率增加,由此造成的死亡率已超过因改善冠心病而降低的病死率,因此,目前临床上已少用。但氯贝丁酯提供了一个发展苯氯乙酸类降脂药的先导化合物,推动了该类药物的发展。

对氯贝丁酯进行结构修饰和改造获得了一系列衍生物,代表药物有环丙贝特(Cyprofibrate)、非诺贝特(Fenofibrate)、苯扎贝特(Bezafibrate)、吉非贝齐(Gemfibrozil)、益多酯(Etofylline Clofibrate)、普罗布考(Probucol)等。

将氯贝丁酸中苯环对位的氯原子用2,2-二氯环丙基取代得到环丙贝特,活性较氯贝丁酯强,副作用小。将氯贝丁酸中苯环对位的氯原子用对氯苯甲酰基取代,并与异丙醇成酯得到非诺贝特,其在体内可迅速代谢成非诺贝特酸而起降血脂作用,具有明显的降低胆固醇、甘油三酯和升高HDL的作用。临床上广泛用于治疗高脂血症,尤其是高甘油三酯血症、混合型高脂血症。将氯贝丁酸中苯环对位的氯原子用2-(对氯苯甲酰胺基)乙基取代得到苯扎贝特,其降低甘油三酯的作用比降低胆固醇为强,也使HDL升高。

吉非罗齐,又名吉非贝齐,是一种非卤代的苯氧戊酸衍生物,具有显著降低甘油三酯和总胆固醇的特点,主要降低VLDL,而对LDL则较少影响,但可提高HDL,临床应用非常广泛。

益多酯,又名羟乙茶碱氯贝丁酯,是氯贝丁酸与羟乙基茶碱形成的酯类前药。用于原发性高脂血症,也可用于各种原因引起的继发性高脂血症。

普罗布考分子中的双叔丁基酚作用于胆固醇合成的起始阶段,可使血胆固醇下降20%左右,结构中的叔丁基是必需的,它决定了分子的亲脂性。普罗布考本身为脂溶性很强的抗氧化剂,容易进入机体内的各类脂蛋白,可防止脂蛋白的氧化变性,减少血脂的生成。临床上主要用于治疗高胆固醇血症。研究显示普罗布考能延长QT间期,有致心律失常作用。

苯氧乙酸类药物的构效关系总结如下:

(1)异丁酸结构是这类药物产生活性的重要基团,异丁酸的羧基既可以游离的形式存在,也可以酯的形式存在。

(2)脂肪酸部分的季碳原子并非必需,如果仅有一个烷基取代基也具有降血脂活性。

(3)结构中的芳香基部分保证了药物的亲脂性,并能与蛋白质链的某些部分互补。(4)有效的降血脂药结构中,大部分在苯环对位、或者烷基或芳烷基取代基上都存在氯。

(5)以硫取代芳基与羧基之间的氧可以提高降血脂作用,含硫的类似物较含氧的更好。

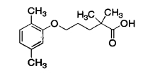
吉非罗齐(Gemfibrozil)

化学名为5-(2,5-二甲基苯氧基)-2,2-二甲基戊酸;5-(2,5-dimethylphenoxy)-2,2-dimethylpentanoic acid。又名吉非贝齐。

本品为白色结晶性粉末,无臭,无味。在三氯甲烷中极易溶,在甲醇、乙醇或丙酮中易溶,在水中不溶,在氢氧化钠溶液中易溶,mp.58~61℃。

本品为非卤代的苯氧戊酸衍生物,特点是能显著降低甘油三酯和总胆固醇,主要降低VLDL,而对LDL则较少影响,但可提高HDL。临床上用于治疗高脂血症;也可用于Ⅱb型高脂蛋白血症,冠心病危险性大而饮食控制、减轻体重、其他血脂调节药治疗无效者。

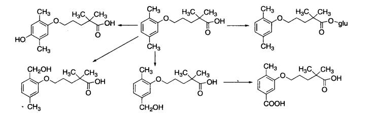
本品口服吸收快并完全,进食前30分钟服用生物利用度接近100%,1~2小时达血药峰浓度,t1/21.5小时,血浆蛋白结合率98%,口服后约70%以葡萄糖醛酸结合物或代谢物的形式经肾排泄,在尿中原型的排泄仅占5%,其主要代谢反应发生苯环上,甲基被氧化为羟甲基和羧基及苯环被羟基化。

本品的合成是以1-(2,5-二甲基苯氧基)-3-溴丙烷和2-甲基丙二酸二乙酯为原料,经烃化、水解脱羧、甲基化和酸化制得。