1
药物化学
1.8.2.3.1 一、硝酸酯类
一、硝酸酯类

硝酸酯类是最早应用于临床的抗心绞痛药物,已有约150余年的历史。但直到20世纪80年代才阐明其作用机制为释放一氧化氮(NO,血管舒张因子),从而扩张冠状动脉。药物的作用以扩张静脉为主,降低心肌耗氧量,从而缓解心绞痛症状,适用于各型心绞痛。尽管随着钙通道阻滞剂和β-受体拮抗剂的发展,使心绞痛的治疗有了更多的选择,但硝酸酯类仍为治疗心绞痛的可靠药物。

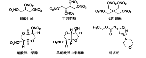
目前在临床上使用的硝酸酯类抗心绞痛药物有10余种。代表药物主要有硝酸甘油(Glyceryl Trinitrate)、丁四硝酯(Eritrityl Tetranitrate)、戊四硝酯(Pentaerithrityl Tetranitrate)、硝酸异山梨醇酯(Isosorbide Dinitrate)及其代谢产物单硝酸异山梨醇酯(Isosorbide Mononitrate)。除了有机硝酸酯类外,还有吗多明(Molstdomine)和硝普钠(Sodium Nitroprusside)等。

硝酸酯类属于NO供体药物,它们在体内通过生物转化可生成NO,NO具有高度的脂溶性,能通过细胞膜,激活鸟苷酸环化酶,使细胞内cGMP的含量升高,激活cGMP依赖性的蛋白激酶,引起相应底物磷酸化状态的改变,导致肌凝蛋白轻链去磷酸化。去磷酸化的肌凝蛋白不能在平滑肌收缩过程发挥正常作用,导致血管平滑肌松弛、血管扩张(图9-1)。

图9-1 NO供体的作用机制

硝酸酯类药物易经黏膜或皮肤吸收,口服吸收较好,但经肝脏首过效应后大部分已被代谢,因此血药浓度极低。其药物代谢动力学特点是吸收快,起效快。本类药物在肝脏被谷胱甘肽、有机硝酸酯还原酶降解,脱去硝基成为硝酸盐而失效,并与葡萄糖醛酸结合,主要经肾排泄,其次为胆汁排泄。

硝酸酯类药物最常见的不良反应为头痛,偶见口干、恶心、面部潮红、头晕、低血压、皮肤过敏等。

硝酸酯类药物连续使用易产生耐受性,给予硫化物还原剂能反转这一耐受现象,这是因为硝酸酯类药物在体内需被还原成亚硝酸酯类才能释放出NO。连续使用硝酸酯类药物后,组织内巯基被耗竭,不能将硝酸酯还原为亚硝酸酯;此时使用硝酸酯类药物无效,但应用亚硝酸酯类仍有效。若在使用硝酸酯类药物的同时,给予1,4-二巯基-2,3-丁二醇,就不易产生耐药性。

吗多明属于亚胺类化合物,其作用与硝酸酯类相似。舌下含服1mg,2~4分钟起效,可阻止心绞痛发作。口服一次,作用可持续6~7小时。副作用包括头痛、头胀、脸部发热感等。

硝酸甘油(Glyceryl Trinitrate)

化学名为1,2,3-丙三醇三硝酸酯;1,2,3-propanetriol trinitrate。又名三硝酸甘油酯。

本品为浅黄色、无臭、带甜味的油状液体,bp.145℃。在低温条件下可凝固成为两种固体形式,一种为稳定的双棱形晶体,mp.13.2℃;另一种为不稳定的三斜晶形,mp.2.2℃,可转变为稳定的晶型。本品在乙醇中溶解,能与丙酮、乙醚、冰乙酸、乙酸乙酯、苯、三氯甲烷和苯酚混溶,在水中略溶,有挥发性,能吸收空气中的水分子成塑胶状。本品在遇热或撞击下易发生爆炸。为了便于运输,本品常以乙醇溶液的形式保存。

硝酸甘油在中性和弱酸性条件下相对稳定,在碱性条件下迅速水解。如加入KOH试液加热生成甘油,加入硫酸氢钾加热,可生成恶臭的丙烯醛气体,用于鉴别。

本品在体内逐渐代谢生成1,2-甘油二硝酸酯,1,3-甘油二硝酸酯,甘油单硝酸酯和甘油,这些代谢物均可经尿和胆汁排出体外。

硝酸甘油直接松弛血管平滑肌,特别是小血管平滑肌,使全身血管扩张,外周阻力减少,静脉回心血量减少,心排血量降低,心脏负荷减轻,心肌耗氧减少,从而缓解心绞痛。本品用于治疗或预防心绞痛;也可作为扩血管药用于治疗充血性心力衰竭。本品经口腔黏膜吸收迅速,1~2分钟起效,作用时间30分钟。心绞痛发作时将含片在舌下含化即可。

由于NO是介导肛门内括约肌松弛的重要神经介质之一,因此,硝酸甘油软膏已成功用于治疗肛裂。肛管内涂擦硝酸甘油软膏对急、慢性肛裂均显示良好的治疗效果。

常见的不良反应为头痛、头晕,也可出现体位性低血压;长期连续服用,可产生耐受性。

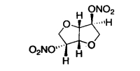
硝酸异山梨酯(Isosorbide Dinitrate)

化学名为1,4:3,6-二脱水-D-山梨醇-2,5-二硝酸酯;[1,4:3,6-dianhydro-D-sorbitol-2,5-dinitrate。又名硝异梨醇,消心痛。

本品为白色结晶性粉末,无臭,mp.68~72℃。在丙酮或三氯甲烷中易溶,在乙醇中略溶,在水中微溶。本品在室温、干燥状态下较稳定,在遇热或撞击下易发生爆炸。在酸、碱性溶液中容易水解。

本品的结晶有稳定型和不稳定型两种,药用为稳定型。不稳定型于30℃放置数天后,可转为稳定型。

本品为血管扩张药,用于缓解和预防心绞痛,也用于充血性心力衰竭。本品有扩张血管平滑肌的作用,效果比硝酸甘油更显著,且持续时间长,能明显地增加冠脉流量,降低血压。本品舌下含服后约3分钟见效,持续1~2小时,t1/245~60分钟,主要用于急性心绞痛发作;本品口服约30分钟见效,持续约4~6小时,t1/24小时,主要用于预防。

由于首过效应大,本品口服经胃肠道和肝脏时多数被代谢,本品口服的生物利用度较低。进入体内的硝酸异山梨酯很快被代谢为2-单硝酸异山梨酯和5-单硝酸异山梨酯。代谢产物单硝酸异山梨酯也具有抗心绞痛作用,且生物利用度高。单硝酸异山梨酯的水溶性增加,不易透过血脑屏障,因而头痛等副作用降低,已成为常用的抗心绞痛药物。

常见的不良反应为头晕,面部潮红、灼热,恶心等;长期服用可产生药物耐受性,与其他硝酸酯有交叉耐药性。

本品的合成以山梨醇为原料,在硫酸的作用下脱水得到异山梨醇,再用硝酸酯化制得。