1
药物化学
1.8.2.1.1 一、强心苷类
一、强心苷类

强心苷(Cardiac Glycosides)是一些从植物中提取的含甾体苷元的苷类药物,由糖苷基和配糖基两部分组成。临床应用的强心苷类药物品种较多,如地高辛(Digoxin)、洋地黄毒苷(Digitoxin)、去乙酰毛花苷(Deslanoside)、毛花苷C(Lanatoside C)等。这类药物主要通过抑制心肌细胞膜上Na+/K+-ATP酶的活性,减少Na+/K+交换,细胞内钠离子增多,从而使肌膜上Na+/Ca2+交换反向转运激活,钠离子外流,钙离子内流,作用于收缩蛋白,增加心肌收缩力和速度,是目前治疗心衰的重要药物。

本品的作用靶点是细胞膜上的Na+/K+-ATP酶,该酶能促使Na+自细胞内向细胞外主动转运,K+自细胞外向细胞内主动转运。本品与Na+/K+-ATP酶结合后,引起酶的构象变化,适度地抑制了酶的功能,使Na+/K+转运偶联减弱。这时,Na+的外流更多地依靠Na+/Ca2+转运偶联来进行,使细胞内Ca2+增多。

这类药物的作用性质基本相似,不同点在于起效速度、作用强度和作用持续时间。其主要缺点是有效剂量与中毒剂量接近,安全范围小,强度不够大,排泄慢,易于积蓄中毒。临床上必须在病房监测下使用。这类药物已使用了数百年,虽作了大量的研究,现仍未能被新型药物代替。

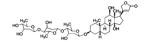
强心苷的糖苷基部分与其他甾体类药物有一定的差别,在强心苷类分子中,环AB和C-D之间为顺式稠合,而环B-C之间为反式稠合,这种绸合方式决定其分子形状呈U型,分子中位于C-10和C-13的两个角甲基与3位羟基均为β-构型。而14位的β-羟基通常为游离。在17位的内酯环也是此类药物的特征之一,植物来源的强心苷类化合物内酯环通常为五元环,而动物来源的强心苷则为六元环。强心苷的糖多连接在3位的羟基上,糖的连接方式多为β-1,4-苷键,有些糖会以乙酰化的形式出现,由于改变了苷的脂溶性,会导致药代动力学性质的改变。

强心苷中的糖苷基并不具有强心作用,但它却可以影响配糖基的作用强度,3位羟基上的糖越少,其强心作用越强。而糖苷基与配糖基相连的键为α-体或β-体对活性并无影响。

将强心苷水解成苷元后,水溶性减小,而脂溶性增大,易进入中枢神经系统,产生严重的中枢毒副作用,因此,苷元不能作为药物使用。

地高辛(Digoxin)

化学名为3β-[(O-2,6-二脱氧-β-D-核-己吡喃糖基-(1→4)-O-2,6-二脱氧-β-D-核-己吡喃糖基-(1→4)-2,6-二脱氧-β-D-核-己吡喃糖基)氧代]-12β,14β-二羟基-5β-卡-20(22)烯内酯;3β-[(O-2,6-dideoxy-β-D-ribo-hexopyranosyl-(1→4)-O-2,6-dideoxy-β-D-ribohexopyranosyl-(1→4)-2,6-dideoxy-β-D-ribo-hexopyranosyl)oxy]-12β,14β-dihydroxy-5βcard-20(22)-enolide。

本品为白色结晶或结晶性粉末,无臭,味苦。在吡啶中易溶,在稀醇中微溶,在水或乙醚中不溶。

本品是从毛花洋地黄的叶中提取得到,不宜与酸、碱类药物配伍。本品在体内可迅速吸收并分布于组织中,生物利用度约为60%~80%,治疗血药浓度为0.5~1.5ng/ml,而中毒血药浓度为2ng/ml,治疗窗狭窄。因此,应严格控制药品的使用剂量并监测其生物利用度。本品在体内转化代谢很少,主要以原型在尿中排泄,尿中排出量为用药量的50%~70%。

本品主要用于治疗充血性心力衰竭,也可用于控制快速性心房颤动、心房扑动的心室率。常见的不良反应包括:出现新的心律失常、胃纳不佳或恶心、呕吐、下腹痛、异常的无力软弱。