1
药物化学
1.8.1.5.1 一、选择性钙通道阻滞剂
一、选择性钙通道阻滞剂

1.二氢吡啶类钙通道阻滞剂

早在1882年,Hantzsch就成功合成了二氢吡啶类化合物,当时,其只是合成取代吡啶化合物的中间体。50年后,当1,4-二氢吡啶环与辅酶NADH的“氢-转移”过程有关的这一性质被发现后,人们对这类化合物的兴趣日益增加;然而直到20世纪70年代初,人们才完全了解1,4-二氢吡啶类化合物的药理性质。

Hantzsch得到的是一个对称的二氢吡啶类化合物,在这个化合物中,3、5位有两个相同的酯基,2、6位是两个相同的烷基。后来,在二氢吡啶骨架的基础上,通过对C-4取代基,C-3和C-5的酯,C-2和C-6的烷基以及N1-H的修饰,确定了这类化合物的基本结构。

二氢吡啶类钙通道阻滞剂为钙通道阻滞剂中特异性最高和作用最强的一类,该类药物能选择性地作用于血管平滑肌,扩张冠状动脉,增加血流量,具有较好的抗心绞痛及抗高血压作用,且在整体条件下不抑制心脏,副作用小。本类药物还可与β-受体阻滞剂、利尿剂或强心苷合用。

目前临床上可用的1,4-二氢吡啶类钙通道阻滞剂有20余种,代表性的药物有硝苯地平(Nifedipine)、尼群地平(Nitrendipine)、尼莫地平(Nimodipine)、非洛地平(Felodipine)、尼卡地平(Nicardipine)、尼索地平(Nisodipine)、苯磺酸氨氯地平(Amlodipine Besilate)、西尼地平(Cilnidipine)、乐卡地平(Lercanidipine)、贝尼地平(Benidipine)、拉西地平(Lacidipine)、伊拉地平(Isradipine)等。

硝苯地平为第一代1,4-二氢吡啶类钙通道阻滞剂,其疗效稳定,不良反应少,在抗高血压及防治心绞痛方面已经得到广泛的应用,但作用时间短。

第二代如尼群地平和尼莫地平等具有高度的血管选择性。其中尼莫地平能选择性地扩张脑血管,对抗脑血管痉挛,增强脑血管流量,对局部缺血有保护作用,临床用于预防和治疗蛛网膜下隙出血后脑血管痉挛所致的缺血性神经障碍、高血压和偏头痛等。

第三代如氨氯地平和乐卡地平等除了具有高度的血管选择性外,兼有半衰期长、作用持久等特点。其中氨氯地平分子中的1,4-二氢吡啶环的2位甲基被2-氨基乙氧基甲基取代,容易通过拆分获得两个光学异构体,临床用外消旋体和左旋体。氨氯地平的生物利用度近100%,其吸收不受食物影响,血药浓度稳定,半衰期长达27小时,特别有利于预防心肌梗死等心血管事件的发生。

该类药物中1,4-二氢吡啶环的4位苯基上的取代基一般为硝基或氯原子,但拉西地平和伊拉地平例外。

1,4-二氢吡啶类钙通道阻滞剂的构效关系总结如下:

(1)1,4-二氢吡啶环是必要的,N-1上不宜带有取代基,若将1,4-二氢吡啶环氧化为吡啶环或还原为六氢吡啶环,则活性大为减小,甚至消失。

(2)C-4位一般为苯环,若为芳杂环(如吡啶环),仍有效,但毒性大,若C-4位为小的非平面烷基或环烷基,则活性大为减小。

(3)R4为邻位或间位取代,或邻位和间位双取代时活性最大,而无取代或对位取代,则活性大为减小。

(4)C-3、C-5位上的羧酸酯对活性的影响优于其他基团。若为其他吸电子基团,则拮抗活性减弱,甚至可能表现为激动活性。例如,当用硝基取代依拉地平的羧酸酯时,则从钙通道阻断剂转变为钙通道开放剂。

(5)当R2和R3不同时,C-4位的C原子将成为手性碳,因此将具有立体选择性。

(6)大部分1,4-二氢吡啶类钙通道阻滞剂的C-2、C-6位上的取代基均为甲基,但氨氯地平例外(R1=—CH2OCH2CH2NH2),和硝苯地平相比,氨氯地平具有具有更好的活性,这表明1,4-二氢吡啶类钙通道阻滞剂所作用的受体在此位置上能接受较大的取代基,因此可以通过改变这些取代基来提高活性。

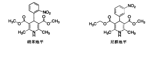
硝苯地平(Nifedipine)

化学名为1,4-二氢-2,6-二甲基-4-(2-硝基苯基)-吡啶-3,5-二羧酸二甲酯;dimethyl 1,4-dihydro-2,6-dimethyl-4-(2-nitrophenyl)pyridine-3,5-dicarboxylate。又名硝苯啶、硝苯吡啶、心痛定。

本品为黄色结晶粉末,无臭,无味。mp.171~175℃,在丙酮或三氯甲烷中易溶,在乙醇中略溶,在水中几不溶。

硝苯地平遇光或氧化剂极易发生二氢吡啶芳构化,光催化氧化还能发生分子内歧化反应,产生亚硝基苯吡啶衍生物。亚硝基苯吡啶衍生物对人体极为有害,故在生产、贮存过程中均应注意避光。

口服硝苯地平吸收良好,1~2小时内达到血药浓度的最大峰值,有效时间持续12小时。经肝代谢,体内代谢物均无活性,80%通过肾脏排泄。

1,4-二氢吡啶类钙通道阻滞剂在体内被肝脏细胞色素P450酶系氧化代谢,产生一系列失活的代谢物。二氢吡啶环首先被氧化成一个失活的吡啶类似物,随后这些代谢物通过水解、聚合以及氧化进一步被代谢。

本品能抑制心肌对钙离子的摄取,降低心肌兴奋-收缩偶联中ATP酶的活性,使心肌收缩力减弱,降低心肌耗氧量,增加冠脉血流量。还可通过扩张周边血管,降低血压,改善脑循环。用于治疗冠心病,缓解心绞痛。本品适用于各种类型的高血压,对顽固性、重度高血压和伴有心力衰竭的高血压患者也有较好疗效。

不良反应有短暂头痛、面部潮红、嗜睡。其他还包括眩晕、过敏反应,低血压、心悸及有时促发心绞痛发作。剂量过大可引起心动过缓和低血压。

硝苯地平分子中含有一个对称二氢吡啶环,可用Hantzsch法合成,以邻硝基苯甲醛为原料与二分子乙酰乙酸甲酯和过量氨水在甲醇中回流得到。

尼群地平(Nitrendipine)

化学名为(±)-2,6-二甲基-4-(3-硝基苯基)-1,4-二氢-吡啶-3,5-二羧酸甲酯乙酯;ethyl methyl 1,4-dihydro-2,6-dimethyl-4-(3-nitrophenyl)pyridine-3,5-dicarboxylate。

本品为黄色结晶或结晶性粉末,无臭,无味,遇光易变质。在丙酮或三氯甲烷中易溶,在甲醇或乙醇中略溶,在水中几乎不溶,mp.157~161℃。

1,4-二氢吡啶环上所连接的两个羧酸酯的结构不同,使其4位碳原子具手性。目前临床用外消旋体。本品为选择性作用于血管平滑肌的钙通道阻滞剂,它对血管的亲和力比对心肌大,对冠状动脉的选择性作用更强。能降低心肌耗氧量,对缺血性心肌有保护作用。可降低总外周阻力,使血压下降。降压作用温和而持久。临床用于治疗高血压,可单用或与其他降压药合用。本品也可用于充血性心衰。

本品为非对称的1,4-二氢吡啶类钙通道阻滞剂,其合成可以3-硝基苯甲醛为原料,分别用改良的Hantzsch合成法或“分步法”制得。

其中改良的Hantzsch合成法是将3-硝基苯甲醛、乙酰乙酸乙酯和3-氨基巴豆酸甲酯在无水乙醇中回流反应即得。

分步法则是由3-硝基苯甲醛和乙酰乙酸乙酯缩合制得中间体2-(3-硝基苯亚甲基)-3-氧代-丁酸乙酯,再与3-氨基巴豆酸甲酯环合而得。

2.苯硫氮革类

本类药物的代表为地尔硫䓬(Diltiazem)。对其进行结构改造发现2位苯环上的4位以甲氧基或甲基取代活性最强,但增加苯环上的甲氧基数目或以4-氯、2,4-二氯、4-羟基取代,其活性会减弱或消失,而无取代时活性也会减弱。5位氮上的取代基对其活性也有较大的影响,仅叔胺有效,伯、仲、季胺均无效,无取代时也无活性,其中以二甲胺基乙基活性最强。

盐酸地尔硫䓬(Diltiazem Hydrochloride)

化学名为(+)-顺-3-乙酰氧基-5-(2-二甲胺基乙基)-2,3-二氢-2-(4-甲氧基苯基)-1,5-苯并硫氮䓬-4(5H)-酮盐酸盐;(+)-cis-3-acetoxy-5-(2-dimethylaminoethyl)-2,3-dihydro-2-(4-methoxyphenyl)-1,5-benzothiazepin-4(5H)-one hydrochloride。又名硫氮䓬酮。

本品为白色或类白色结晶性粉末,无臭,味苦。在水、甲醇和三氯甲烷中易溶,mp.210~215℃(分解)。

本品分子结构中有2个手性碳原子,具有4个光学异构体。2S、3S异构体冠脉扩张作用较强,临床仅用2S、3S异构体。

本品属苯并硫氮杂䓬类钙通道阻滞剂。口服吸收完全,首过效应较大,生物利用度约为25%~60%,有效作用时间为6~8小时。主要代谢途径为脱乙酰基,N-脱甲基和O-脱甲基。曾报道脱乙酰基地尔硫䓬活性为地尔硫䓬活性为的25%~50%。

本品是一高选择性的钙通道阻滞剂,具有扩张血管作用,特别是对大的冠状动脉和侧支循环均有较强的扩张作用。临床用于治疗冠心病中各型心绞痛。长期服用,对预防心血管意外病症的发生有效,无耐药性或明显副作用。

3.芳烷基胺类

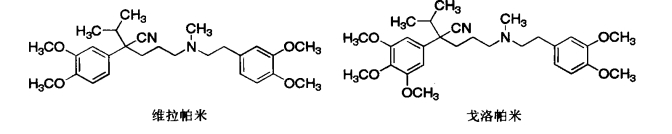
芳烷基胺类的代表药物为维拉帕米(Verapamil)和戈洛帕米(Gallopamil)。戈洛帕米与维拉帕米相比仅在2-位苯环上多一个甲氧基,故又称甲氧维拉帕米。本类药物多有手性中心,其光学异构体的活性有所不同,如戈洛帕米在临床上使用其左旋体。

盐酸维拉帕米(Verapamil Hydrochloride)

化学名为5-[N-(3,4-二甲氧基苯乙基)-N-甲氨基]-2-(3,4-二甲氧基苯基)-2-异丙基戊腈盐酸盐;5-[N-(3,4-dimethoxyphenethyl)-N-methylamino]-2-(3,4-dimethoxyphenyl)-2-isopropyl valeronitrile hydrochloride。又名异搏定,戊脉安。

本品为白色粉末;无臭。在乙醇、甲醇或三氯甲烷中易溶,在水中溶解,在异丙醇或乙酸乙酯中微溶。mp.140~144℃。

本品的化学稳定性良好,但其甲醇溶液,经紫外线照射2小时后降解50%。

本品分子中含有一个手性碳,可产生两个对映异构体,左旋体为室上性心动过速病人的首选药物,而右旋体则为抗心绞痛药物。现用外消旋体。

本品口服后吸收达90%以上,首过效应较大,生物利用度约20%~35%。单剂口服后1~2小时内达峰浓度,作用持续6~8小时,平均半衰期为2.8~7.4小时。其代谢物主要为N-去甲维拉帕米,活性约为原药的20%。口服后5天内大约70%以代谢物由尿中排泄,16%或更多由粪便清除,约3%~4%以原型由尿排出。肝功能不全的病人代谢延迟,清除半衰期延长至14~16小时,表观分布容积增加,血浆清除率降低至肝功能正常人的30%。

本品能抑制心肌及房室传导,并能选择性扩张冠状动脉,增加冠脉流量。用于治疗阵发性室上性心动过速,也可用于急慢性冠状动脉功能不全或心绞痛,对于房室交界的心动过速疗效也较好。

本品副作用较小,偶有胸闷、口干、恶心、呕吐等不良反应。静注时可使血压下降,房室传导阻滞及窦性心动过缓。