1
药物化学
1.8.1.2 第二节 作用于神经末梢的药物
第二节 作用于神经末梢的药物

1918年印度首次报道了一种萝芙木植物(Rauwolfia serpentina)的根提取物具有降压作用,这种植物的根在印度用于治疗毒蛇咬伤以及作为镇静、镇痛药物已被使用了数百年。经研究表明其有效成分为利血平(Reserpine)、美索舍平(Methoserpidine)和地舍平(Deserpidine)等。其中利血平为第一个从植物提取的有效的抗高血压药物。

利血平能够抑制转运Mg-ATP酶的活性,同时影响去甲肾上腺素、肾上腺素、多巴胺、5-羟色胺等神经递质进入神经细胞内囊束泡中,使这些神经递质不能被重新吸收、贮存和再利用,而被单胺氧化酶破坏失活,导致神经末梢递质耗竭,使肾上腺素能传递受阻,降低交感神经紧张,引起血管舒张,从而导致血压下降。此外,利血平还能进入中枢神经系统,耗竭中枢的神经递质去甲肾上腺素和5-羟色胺。利血平的降压作用具有缓慢、温和而持久的特点,用于早期轻、中度高血压,尤其适用于伴精神紧张的患者。

胍乙啶(Guanethidine)及类似物胍甲啶(Guanazodine)和胍那决尔(guanadrel)的降压作用机制为干扰交感神经末梢去甲肾上腺素的释放,也耗竭去甲肾上腺素的贮存。由于这些药物难以通过血脑屏障,没有利血平的镇静、抑郁等症状,尽管降压作用较强,但由于起立性低血压和血流不足等副作用较大,目前已很少使用。

利血平(Reserpine)

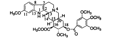
化学名为11,17α-二甲氧基-18β-[(3,4,5-三甲氧基苯甲酰)氧]-3β,20α-育亨烷-16β-甲酸甲酯;11,17α-dimethoxy-18β-(3,4,5-trimethoxy benzoyl)oxy)-3β,20α-yohimban-16β-carobxylic acid methyl erter,又名利舍平、蛇根碱。

本品为白色至淡黄褐色的结晶或结晶性粉末,在三氯甲烷中易溶,在丙酮中微溶,在水、乙醇中几乎不溶。本品具有旋光性(c=0.96吡啶中);(c=0.624 DMF),具有弱碱性,pKb6.6。mp.264~265℃。

利血平及其水溶液都比较稳定,pH为3.0时最稳定。但在酸、碱催化下,水溶液可发生水解,生成利血平酸,仍有抗高血压活性。

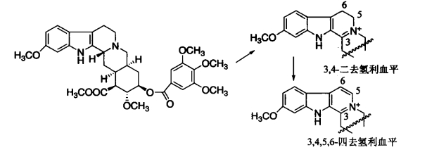
在光和热的影响下,本品发生3β-H差向异构化,生成无效的3-异利血平(3-Isoreserpine)。

本品在光和氧的作用下可发生氧化,首先氧化生成3,4-二去氢利血平,为黄色物质,具有黄绿色荧光;进一步氧化生成3,4,5,6-四去氢利血平,具有蓝色荧光;再进一步氧化则生成无荧光的褐色和黄色聚合物。故本品应在避光、密闭、干燥的条件下贮存。

本品体内代谢较为复杂。尿中含有多种分解产物,如11-去甲氧利血平酸,11-去甲氧利血平,3,4,5-三甲氧基苯甲酸,3,5-二甲氧基-4-羟基苯甲酸等。

构效关系研究表明:16位、18位的酯基和17位的甲氧基对于其抗高血压活性是至关重要的,将酯键水解或脱甲基其活性均减弱或消失,分子中的C、D环芳构化活性也消失,将11位或17位的甲氧基除去仍保持活性。

本品用于早期轻、中度高血压,作用缓慢、温和而持久。因有安定作用,故对老年和有精神病症状的患者尤为适宜。