1
药物化学
1.7.2.3.2 二、β-受体拮抗剂
二、β-受体拮抗剂

β-受体拮抗剂(β-Antagonists)可竞争性的与β-肾上腺素能受体结合从而阻断肾上腺素能神经递质或β-激动剂的效应,主要包括对心脏兴奋的抑制作用和对支气管及血管平滑肌的舒张作用等。可使心率减慢,心输出量减少,心肌耗氧量下降,还能延缓心房和房室结的传导。临床上主要用于治疗心律失常、心绞痛、高血压以及心肌梗死等心血管疾病,是一类应用较广的心血管疾病治疗药。

根据对受体的选择性不同,β-受体拮抗剂可分为非选择性β-受体拮抗剂(Nonselectiveβ-Adrenergic Agonists)、选择性β-受体拮抗剂(β1-Adrenergic Agonists)和混合型α/β-受体拮抗剂(α/β-Adrenergic Agonists)三种类型。根据化学结构可分为芳(苯)乙醇胺类和芳氧丙醇胺类,大多数β-受体拮抗剂为芳氧丙醇胺类。

(一)非选择性β-受体拮抗剂

非选择性β-受体拮抗剂(Nonselective β-Adrenergic Agonists)对β1、β2-受体无选择性,能同时阻断β1和β2-受体,在治疗心血管疾病时,因同时阻断β2-受体而可引起支气管痉挛和哮喘等副作用。

具有芳氧丙醇胺类结构的非选择性β-受体拮抗剂主要有普萘洛尔(Propranolol)、噻吗洛尔(Timolol)、纳多洛尔(Nadolol)、吲哚洛尔(Pindolol)及具苯乙醇胺结构的索他洛尔(Sotalol)等。

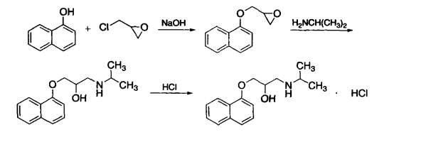
盐酸普萘洛尔(Propranolol Hydrochloride)

化学名为1-[(1-甲基乙基)氨基]-3-(1-萘氧基)-2-丙醇盐酸盐;1-[(1-methyethyl)amino]-3-(1-naphthyloxy)-2-propanol hydrochloride,又名心得安。

本品为类白色或白色结晶性粉末,无臭,味微甜后苦。在水或乙醇中溶解,在三氯甲烷中微溶。

盐酸普萘洛尔的合成是以α-萘酚为原料,经与环氧氯丙烷在碱性条件下醚化后,再与异丙胺缩合、成盐而得。

本品在稀酸中易分解,碱性时较稳定,遇光易变质。本品溶液遇硅钨酸试液反应生成淡红色沉淀。

本品侧链含有一个手性碳原子,具旋光性,其S-(-)异构体的活性是R-(+)异构体的40倍,但右旋体有奎尼丁样作用或局麻作用,故临床用其外消旋混合物。

本品口服吸收率大于90%,主要在肝脏代谢,生成α-萘酚,进而以葡萄糖醛酸形式排出。侧链经氧化,生成2-羟基-3-(1-萘氧基)-丙酸而排泄。

盐酸普萘洛尔可使心率减慢、心肌收缩力减弱、心输出量减少、心肌耗氧量下降,能降低心肌自律性,还可使血压下降。临床上常用于治疗多种原因引起的心律失常,也可用于心绞痛、高血压等。主要缺点是它的脂溶性较大,易透过血脑屏障,产生中枢效应;可引起支气管痉挛及哮喘等不良反应。

(二)选择性β1-受体拮抗剂

选择性β1-受体拮抗剂(β1-Adrenergic Agonists)对心脏的β1-受体具高选择性,对外周受体拮抗作用较弱。其主要药物有美托洛尔(Metoprolol)、阿替洛尔(Atenolol)、醋丁洛尔(Acebutolol)、艾司洛尔(Esmolol)和倍他洛尔(Betaxolol)等。此类药物其化学结构都属于芳氧丙醇胺类,在芳环的对位有不同的取代基。

美托洛尔为选择性β1-受体拮抗剂,对心脏的β1-受体有专一作用。药用其酒石酸盐,临床用于治疗心绞痛、心律失常和高血压等。

阿替洛尔是选择性高的β1-受体拮抗剂,无内源性拟交感作用,对血管和支气管的作用很小,而对心脏的选择性高。可使心脏收缩力减弱,心率减慢。阿替洛尔的酰胺结构使极性增加,脂溶性降低,故中枢副作用小。本品药用其盐酸盐,临床用于治疗心绞痛、高血压和心律失常,且作用快而持久。

醋丁洛尔能选择性阻断β1-受体,对心脏有选择作用,也有内在拟交感活性和膜稳定作用,心脏选择作用与普萘洛尔相似,但强度只有1/2,临床用于心绞痛和心律失常的治疗。

艾司洛尔和倍他洛尔均为选择性β1-受体拮抗剂,艾司洛尔起效快而作用时间短。临床主要用于心房颤动和心房扑动时控制心率,围手术期高血压,窦性心动过速的治疗。倍他洛尔对β1-受体选择性强,其作用是普萘洛尔的4倍,临床用于治疗心绞痛、心律失常和高血压等。

(三)混合型α/β-受体拮抗剂

混合型α/β-受体拮抗剂(α/β Adrenergic Agonists)对α、β-受体的拮抗作用选择性不强,但对β-受体的拮抗作用强于对α-受体的拮抗作用,临床主要用于高血压的治疗。

混合型α/β-受体拮抗剂主要有拉贝洛尔(Labetalol)、阿罗洛尔(Arotinolol)和卡维地洛(Carvedilol)等。此类药物是将β-受体拮抗剂分子中氨基上取代烷基改成芳烷基,则可产生α-受体拮抗作用。

阿罗洛尔是利用生物电子等排原理,用硫原子取代苯氧基丙醇胺结构中的氧原子而制得的混合型α/β-受体拮抗剂,它对α及β-受体拮抗作用之比约为1∶8。可在降低血压的同时抑制α-受体的兴奋,降低交感神经的张力。临床用于高血压、心绞痛和室上性心动过速的治疗。

卡维地洛为非选择性β1和α1-受体拮抗剂,对β-受体的阻断作用要比α1-受体的阻断作用强10~100倍,临床使用其外消旋体,用于治疗高血压。因卡维地洛结构中的咔唑环具抗氧化作用,因此本品具有消除自由基和抗氧化功能。

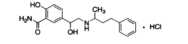
盐酸拉贝洛尔(Labetalol Hydrochloride)

化学名为2-羟基-5-[1-羟基-2(1-甲基-3-苯丙胺基)-乙基]苯甲酰胺盐酸盐;2-hydroxy-5-[1-hydroxy-2(1-methyl-3-phenylpropylamino)ethyl]benzamide hydrochloride,又名柳胺苄心定。

本品为白色或类白色粉末,无臭无味。在水或乙醇中微溶,不溶于二氯甲烷和乙醚。

本品含有酚羟基,药用其盐酸盐,显酸性,1%的水溶液pH为4.0~5.0,需避光保存。

拉贝洛尔属于水杨酰胺的衍生物,与三氯化铁试液反应呈紫色;与碘试液反应生成棕色沉淀。

本品结构中含有两个手性碳原子,有4个异构体,其中(S,S)和(R,S)两个异构体无活性,(S,R)异构体为α-受体拮抗剂,(R,R)异构体具有β-受体阻断作用,阻断β-受体的作用为阻断α-受体作用的4~8倍,阻断β1-受体的作用为普萘洛尔的1/4,阻断β2-受体的作用为普萘洛尔的1/11~1/17。目前,临床应用的是4个异构体的外消旋体。拉贝洛尔同时具有α-受体和β-受体阻断作用,不会显著改变心率和心输出量。因此副作用较少。

本品主要在肝脏代谢,代谢率为95%,原药与代谢物经肾脏和粪便排出。

本品用于各种类型高血压急症,如高血压危象、嗜铬细胞瘤危象、先兆子痫、高血压脑病、大面积烧伤引起高血压,伴有冠状动脉疾病或急性心肌梗死高血压和手术后高血压,亦可用于麻醉中控制血压。并且可安全有效的用于妊娠高血压。