1
药物化学
1.7.1 第六章 拟胆碱和抗胆碱药物
第六章 拟胆碱和抗胆碱药物

机体神经系统(nervous system)可对刺激产生神经冲动,并借助神经冲动的传导功能及其反射活动来控制和调节机体各器官、各系统的活动,从而使机体作为一个有机的整体以适应不断变化着的环境。

当神经冲动传导到神经末梢的突触时,突触前膜兴奋并释放出神经递质,递质扩散至突触后膜并与相应的受体结合,从而使后膜兴奋,完成信号从突触前膜向突触后膜的传导过程。未被摄取的神经递质则会被突触间隙的酶水解失活(图6-1)。在此过程中,传导的核心是神经递质,即通过递质的传递来完成神经冲动在突触部位的换能过程。

图6-1 神经递质释放机制图

传出神经系统有多种递质,如乙酰胆碱(Acetylcholine,Ach)、去甲肾上腺素(Noradrenaline,NA)、多巴胺(Dopamine,DA)、三磷酸腺苷(adenosine triphosphate,ATP)等,其中最主要的递质为乙酰胆碱和去甲肾上腺素。全部交感神经和副交感神经的节前纤维、全部副交感神经的节后纤维、运动神经以及极少数交感神经节后纤维称为胆碱能神经,其化学递质均为乙酰胆碱;而几乎全部交感神经节后纤维兴奋时,末梢都会释放去甲肾上腺素,属于肾上腺素能神经递质。

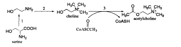
乙酰胆碱在胆碱能神经末梢形成,首先,丝氨酸在丝氨酸脱羧酶(serine decarboxylase)及胆碱N-甲基转移酶(choline N-methyltransferase)的作用下,先后经脱羧、甲基化过程生成胆碱。在胆碱乙酰基转移酶(choline acetyltransferase)催化作用下,乙酰辅酶A上的乙酰基转移至胆碱,生成乙酰胆碱,并由载体转运进入囊泡(synaptic vesicle)贮存。神经冲动使囊泡与突触前膜融合,从而释放出乙酰胆碱。乙酰胆碱作用于突触后膜上的乙酰胆碱受体(cholinoceptor),使冲动得以继续传导,并产生相应的生理效应。之后,乙酰胆碱分子迅速被突触间隙的乙酰胆碱酯酶(acetylcholine esterase,AchE)催化水解为胆碱和乙酸而失活。胆碱则可以被主动摄取回神经末梢,再次用于乙酰胆碱的合成(图6-2)。

图6-2 乙酰胆碱的合成途径

(1)丝氨酸脱羧酶;(2)胆碱N-甲基转移酶;(3)胆碱乙酰基转移酶

虽然理论上讲,在乙酰胆碱生物合成、贮存、释放、与受体相互作用和代谢等环节上,每一个环节都有可能通过药物对其产生影响,从而达到增强或是减弱乙酰胆碱作用的结果。但实际上,迄今为止成功应用于临床的胆碱能神经系统用药(包括拟胆碱药和抗胆碱药),都是通过作用于胆碱受体和乙酰胆碱酯酶两个环节而发挥作用的。

乙酰胆碱作为胆碱受体和乙酰胆碱酯酶的天然底物,能够传导神经冲动、调节机体适应不断变化着的环境,具有十分重要的意义,但是却不能作为药物应用于临床。这是由于乙酰胆碱分子内具有酯键,性质不稳定,释放后迅速被胆碱酯酶水解为胆碱和乙酸,而且对不同类型的胆碱受体缺乏选择性。因此,开发性质稳定、选择性较高的胆碱能神经系统药物成为必需。