1
药物化学
1.6.4.1 第一节 吗啡及其半合成镇痛药
第一节 吗啡及其半合成镇痛药

吗啡是历史最悠久的阿片类镇痛药,属于典型的阿片μ受体激动剂。由5个环稠合而成,含有5个手性中心,绝对构型分别为5R,6S,9R,13S,14R。天然吗啡为左旋体,有强大的镇痛活性,但是也具有耐受、生理依赖和便秘等副作用。右旋吗啡则完全没有镇痛及其他生理活性。为了获得理想的镇痛药,以吗啡为先导化合物,开发了一系列的半合成衍生物,其中可待因(Codeine)、氢吗啡酮(Hydromorphone)、氢可酮(Hydrocodone)、羟吗啡酮(Oxymorphone)、羟考酮(Oxycodone)、纳布啡(Nalbuphine)、纳曲酮(Naltrexone)和纳洛酮(Naloxone)在临床中广泛应用。与吗啡相比,衍生物结构的改变主要发生在三个区域:①A环,3位羟基;②C环,6位羟基和7,8位双键;③D环,14位和N原子上的取代基(表4-1)。吗啡结构的改变使其与阿片受体的亲和力和结合方式不同,从而影响药物的药效。同时,理化性质如溶解性、分配系数和pKa发生改变,导致药代动力学性质改变从而影响药物的体内活性。对吗啡衍生物的开发,加深了人们对吗啡构效关系的了解。

表4-1 (-)-吗啡的编号和构效关系

吗啡A环的结构修饰是在3位的酚羟基用烷基或酯基封闭。将吗啡3位酚羟基烷基化后得到了可待因(Codeine)、乙基吗啡(Ethylmorphine)和苄基吗啡(Peronine)等。使吗啡的成瘾性下降,但是同时也导致镇痛活性相应降低。可待因(Codeine)是一个弱的μ受体激动剂,作为镇痛和镇咳药在临床上使用。在肝脏CYP2D6催化下,约10%的药物经脱甲基反应代谢为吗啡而发挥镇痛作用,活性大约是吗啡的10%,适用于中等到微弱度疼痛。可待因的镇咳活性为吗啡的1/4,但是由于没有明显的镇静作用,欣快感和成瘾性较低,使之成为临床使用最广泛的中枢性镇咳药。乙基吗啡的镇痛强度与副反应介于可待因及吗啡之间。

1989年德国的Friedrich Bayer公司将吗啡3,6位双乙酰化的衍生物海洛因(Heroin)推向市场。由于海洛因的脂溶性高于吗啡,更容易通过血脑屏障进入大脑。另外,海洛因在体内代谢脱去3位的乙酰基成为6-乙酰基吗啡,6-乙酰基吗啡是很强的μ受体激动剂,它的镇痛活性是吗啡的两倍,并且成瘾性和欣快感大大增加。尤其是静脉给药后,海洛因迅速通过血脑屏障进入大脑,接着很快转化为6-乙酰基吗啡,产生强烈的欣快感,重复给药容易产生耐药性和成瘾性。海洛因是目前主要的毒品之一。将吗啡和可待因C环中7,8位双键还原,同时6位羟基氧化成酮,得到的氢吗啡酮(Hydromorphone)和氢可酮(Hydrocodone),镇痛活性和成瘾性一起上升。氢吗啡酮对μ受体的激动活性是吗啡的8倍。用于治疗和缓解肿瘤、外伤、心肌梗死、肾绞痛和严重烧伤等引起的中度到重度的疼痛。氢吗啡酮的镇痛活性强于吗啡,口服15分钟起效,药效可以持续4~5小时,但是成瘾性大大增加。氢可酮口服生物利用度高,代谢途径与可待因相同。镇痛活性强于可待因,适用于中度疼痛的治疗。

在吗啡的D环上14位引入羟基可以增强μ受体的激动活性和减弱镇咳作用。将氢吗啡酮和氢可酮14位的氢用羟基取代分别得到羟吗啡酮(Oxymorphone)和羟考酮(Oxycodone)。羟吗啡酮对μ受体的激动活性是吗啡的10倍,用于重度疼痛的治疗。羟考酮的镇痛活性与吗啡相当。这两个药物的成瘾性增强,镇咳活性下降。

吗啡D环氮原子上的取代基对药物的作用强度和类型非常关键。氮原子上以甲基取代具有很好的μ受体激动活性,取代基的长度增加到3~5个碳原子,例如纳洛酮(Naloxone)、纳曲酮(Naltrexone)和纳布啡(Nalbuphine)取代基分别为烯丙基、环丙甲基或环丁甲基时作用发生逆转,由μ受体激动剂转为部分或者完全的μ受体拮抗剂。连接上更大的基团时,μ受体激动活性又会增加。如苯乙基吗啡的镇痛作用为吗啡的14倍。纳洛酮(Naloxone)17位氮原子上是烯丙基,同时7,8位的双键被还原,14位引入羟基,是阿片受体的纯拮抗剂。对阿片受体各亚型的拮抗强度依次为μ>κ>δ受体。小剂量纳洛酮能迅速逆转吗啡类药物的作用,是研究阿片受体的理想工具药,临床上还用于吗啡类药物中毒后的解救。纳布啡氮原子上的取代基为环丁甲基。纳布啡具有激动-拮抗双重作用,既是μ受体拮抗剂又是κ受体激动剂。

蒂巴因(Thebaine)是从阿片中提取的天然生物碱之一,有较强的镇痛活性,但同时会产生惊厥副作用。利用蒂巴因的双烯结构和烯烃化合物进行Diels-Alder反应,产生6,14-内-乙烯四氢蒂巴因衍生物,具有很强的μ受体激动活性。埃托啡(Etorphine)的镇痛作用为吗啡的2000倍以上,但对人类的治疗指数低,呼吸抑制作用难以被阿片受体拮抗剂逆转,故未能用于临床。埃托啡一直用于兽药。埃托菲的双键还原得到的二氢埃托啡(Dihydroetorphine)的镇痛作用强于埃托啡,其戒断症状及精神依赖性均明显轻于吗啡。但易形成耐受性,且成瘾性强、滥用威胁大。丁丙诺啡(Buprenorphine)是μ受体和κ受体的部分激动剂,同时是δ受体的拮抗剂。丁丙诺啡对阿片受体的激动-拮抗双重作用,使其具有不同于吗啡等完全μ受体激动剂的药理特性。丁丙诺啡的镇痛活性是吗啡的25倍,但是会产生呼吸抑制。不易产生耐受和成瘾,使用丁丙诺啡两周后病人只出现轻微的戒断症状,因此,被用于阿片和海洛因成瘾的治疗。

吗啡(Morphine)

化学名:(5α,6α)7,8-二氢-17-甲基-4,5-环氧-吗啡喃-3,6-二醇;(5α,6α)-7,8-didehydro-4,5-epoxy-17-methylmorphinan-3,6-diol。

从鸦片中提取得到的粗品吗啡,经精制后制备成盐酸盐或者硫酸盐在临床使用。盐酸吗啡为白色的针状结晶或结晶性粉末,无臭,遇光易变质。在水中溶解,在乙醇中略溶,在三氯甲烷或乙醚中几乎不溶。[α]-110.0°~-115.0°(c=2,H2O)。

吗啡具有两个独特的生物碱呈色反应。Marquis反应:加甲醛硫酸试液,显紫堇色。Fröhde反应:与钼硫酸试液反应呈紫色,继变为蓝色,最后变为绿色。

吗啡3位的酚羟基显弱酸性,17位的叔胺显碱性,所以吗啡是酸碱两性化合物。吗啡及其盐类的化学性质不稳定,这与吗啡的苯酚结构有关。吗啡的酚羟基在光照下易于被空气氧化,转化成N-氧化吗啡和伪吗啡,导致镇痛活性下降和毒副作用的增加。伪吗啡亦称双吗啡,是吗啡的二聚物,毒性较大。故本品应避光,密封保存。吗啡与盐酸和硫酸可以形成盐,增加药物的水溶性和稳定性。吗啡盐类水溶液的稳定性还与溶液的pH值有关,在酸性溶液中较为稳定,而在中性或碱性溶液中则易被氧化。故配制吗啡注射液时,要求pH值在3~5之间。此外,由于吗啡的氧化反应为自由基反应,空气中的氧、日光和紫外线照射或铁离子均可促进此反应。所以注射液中还需要充氮气,或加入焦亚硫酸钠、亚硫酸氢钠和EDTA-2Na等作稳定剂。

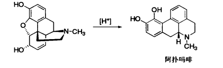
吗啡在酸性溶液中加热,会转化为阿扑吗啡(Apomorphine)。阿扑吗啡通过激动多巴胺受体,兴奋中枢的呕吐中心,作为催吐剂在临床上使用。阿扑吗啡还能诱发中枢性阴茎勃起,治疗性功能障碍。这是由于在吗啡的6,7,8位是烯丙醇的结构体系,而D环是由醚键连接A环和C环形成的,属于二氢呋喃结构。因此,当吗啡在酸性条件下加热时,醚键断裂,脱水并发生分子内重排,生成阿扑吗啡。所以,在药典中规定必须对吗啡中的阿扑吗啡作限量检查。

本品是治疗严重、急性和慢性疼痛最普遍的镇痛药之一。吗啡首过效应严重,3位的酚羟基在肝脏通过磺基转移酶和葡萄糖醛基转移酶作用形成结合物,也发生氮的去甲基化生成去甲吗啡,导致活性降低。吗啡是Ⅱ类毒品,容易成瘾,还具有呼吸抑制、血压降低、恶心、呕吐、便秘、排尿困难等副作用。属麻醉性镇痛药,须按国家《麻醉药品管理条例》进行生产、销售和使用。