1
药物化学
1.6.3.1.3 三、多巴胺释放剂
三、多巴胺释放剂

多巴胺释放剂是指能够促进多巴胺从神经元贮存处释放的药物,用于治疗帕金森病应该是有效的。盐酸金刚烷胺(Amantadine Hydrochloride)为此类药物的代表。

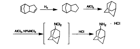
盐酸金刚烷胺(Amantadine Hydrochloride)

化学名为三环[3.3.1.13,7]癸烷-1-胺盐酸盐;tricyclo[3.3.1.13,7]decan-1-amine hydrochloride。

本品为白色结晶或结晶性粉末,无臭,味苦。在水、乙醇中易溶,在三氯甲烷中溶解。本品加水溶解后,加盐酸使成酸性,滴加硅钨酸试液,可析出白色沉淀。

盐酸金刚烷胺为伯胺,比多巴胺碱性更强,生理条件下大部分为质子化形式,但其笼式结构增加了脂溶性,并阻止了氧化酶对其氨基的代谢,因而使较多的药物能够穿过血脑屏障,进入中枢神经系统发挥作用。进入脑组织后可促进释放多巴胺,或延缓多巴胺的代谢而发挥抗震颤麻痹作用。对震颤麻痹有明显疗效,缓解震颤、僵直效果好。用于不能耐受左旋多巴治疗的震颤麻痹患者。此外,本品同时为抗病毒的药物,对多种炎症、败血症、病毒性肺炎等与抗生素合用退热作用好。

盐酸金刚烷胺口服后易于吸收,由于立体位阻大,在体内不易代谢,半衰期长,约90%以原型从肾排泄。本品疗效优于抗胆碱药。其特点是见效快,但维持时间短,长期服用常见下肢皮肤出现网状青斑,偶可见惊厥,故癫痫患者慎用。少数病人有嗜睡、眩晕、抑郁、食欲减退等,亦可出现四肢皮肤青斑、踝部水肿等。

盐酸金刚烷胺的工业生产制备路线如下: