1
药物化学
1.6.2.3.2 二、三环类抗抑郁药
二、三环类抗抑郁药

三环类抗抑郁药(Tricyclic antidepressants,TCA)自20世纪60年代就开始应用于治疗抑郁症,目前尚用于治疗其他精神疾患,如强制性障碍、注意力缺乏性疾病、恐慌、恐惧症、慢性疼痛综合征、周围神经病、夜间遗尿、焦虑症、进食障碍及偏头痛的预防和药物成瘾戒断治疗的辅助治疗等。

三环类抗抑郁药又称为去甲肾上腺素再摄取抑制剂类抗抑郁药,因为三环类抗抑郁药物的作用机制基本相同,都能抑制去甲肾上腺素的再摄取。脑内去甲肾上腺素功能亢进可表现为躁狂,而功能低下则表现为抑郁。神经突触对去甲肾上腺素的再摄取,可降低脑内去甲肾上腺素的含量,因此去甲肾上腺素抑制剂是重要的抗抑郁药。三环类抗抑郁药的抗胆碱能及心脏方面的副作用,在一定程度上影响了该类药物的应用。

三环类抗抑郁药主要包括阿米替林、多塞平、丙咪嗪和氯丙咪嗪等,为治疗抑郁症所首选,已基本代替用电休克疗法治疗抑郁症。

(一)二苯并氮杂䓬类

利用生物电子等排体的原理,将吩噻嗪类药物化学结构中的硫原子以其生物电子等排体—CH2—CH2—或—CH=CH—取代时,便形成二苯并氮杂䓬类抗抑郁药。如丙咪嗪(Imipramine),是通过抑制神经末梢对去甲肾上腺素和5-羟色胺的再摄取,减少去甲肾上腺素和5-羟色胺的氧化代谢,增加突触间隙的去甲肾上腺素和5-羟色胺的浓度,促进神经传递,而产生抗抑郁作用。地昔帕明(Desipramine)为丙咪嗪在体内的活性代谢产物,抗抑郁作用比丙咪嗪快且副作用较小。氯米帕明(Clomipramine)是丙咪嗪-3-氯取代衍生物,是一种安全有效且起效快的抗抑郁药,同时还具有抗焦虑的作用。氯米帕明不仅是去甲肾上腺素再摄取抑制剂,对5-羟色胺的重摄取抑制作用也很强,是广谱的抗抑郁药。曲米帕明(Trimipramine)的作用强度与氯米帕明相似而副作用较小。常见二苯并氮杂䓬类药物见表2-7。

表2-7 二苯并氮杂䓬类常见药物

(二)二苯并环庚二烯类

受硫杂蒽类药物发现过程的启发,仿照硫杂蒽类的结构类型,采用生物电子等排体原理,将二苯并氮杂䓬母核中的氮原子以碳原子取代,并通过双键与侧链相连,便形成了二苯并环庚二烯类抗抑郁药物。如阿米替林(Amitriptyline)可选择性地抑制中枢突触部位对去甲肾上腺素的再摄取,在三环类抗抑郁药物中镇静作用最强,对抑郁患者情绪有明显的改善作用。阿米替林的活性代谢产物去甲替林(Nortriptyline),抗抑郁作用比丙咪嗪强,可提高患者的情绪。在对阿米替林的结构改造过程中发现了与氯氮平结构类似的衍生物多塞平(Doxepin,多虑平),该药是油状的异构体化合物,具有较强的抗抑郁作用,但比丙咪嗪弱,抗焦虑作用较强,常用于焦虑性抑郁症和神经官能症。马普替林(Maprotiline)属于9,10-二氢蒽的9,10-亚乙基桥环衍生物,属于四环类抗抑郁药,它为选择性去甲肾上腺素再摄取抑制剂,对5-羟色胺几乎没有作用,属于广谱抗抑郁药,其副作用比丙咪嗪小,起效也较快。普罗替林(Protriptiline)的抗抑郁作用强于阿米替林。

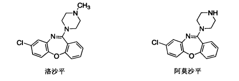
1980年以后发展了新的“第二代”抗抑郁药二苯并氧氮杂䓬(Dibenzoxazepines),其中洛沙平(Loxapine)是该类药物的代表药物。阿莫沙平(Amoxapine)是洛沙平的脱甲基活性代谢物,具有混合的抗抑郁和安定作用,可用于治疗各型抑郁症,它通过抑制脑内突触前对去甲肾上腺素的再摄取,产生很强的抗抑郁和精神兴奋作用,大部分代谢产物与葡萄糖醛酸结合排出体外。

盐酸丙咪嗪(Imipramine Hydrochloride)

化学名为N,N-二甲基-10,11-二氢-5H-二苯并[b,f]氮杂䓬-5-丙胺盐酸盐;3-(10,11-dihydro-5H-dibenez[b,f]azepine-5-yl)propyldimethylamine hydrochloride。

本品为白色或类白色结晶性粉末,无臭或几乎无臭,遇光渐变色。在水、乙醇和三氯甲烷中易溶,乙醚中几乎不溶,mp.170~175℃。

本品加硝酸显深蓝色,用于鉴别。固体和通常情况下的水溶液是稳定的,在稳定性加速试验中会发生降解(图2-13)。

本品为三环类抗抑郁药,主要作用在于阻断中枢神经系统,抑制去甲肾上腺素和5-羟色胺这二种神经递质的再摄取,从而使突触间隙中这二种神经递质浓度增高,发挥抗抑郁作用。本品还有抗胆碱、抗去甲肾上腺素受体及抗组胺H1受体作用,但对多巴胺受体影响甚小。

丙咪嗪可用于各种抑郁症。因具有振奋作用,适用于迟钝型抑郁,但不宜用于激越型抑郁或焦虑性抑郁。亦可用于小儿遗尿症。严重心脏病、青光眼、排尿困难、支气管哮喘、癫痫、甲状腺功能亢进、谵妄、粒细胞减少、肝功能损害者禁用。对三环类药过敏者禁用。

本品与乙醇合用,可使中枢神经的抑制作用增强;与抗惊厥药合用,可降低抗惊厥药的作用;与抗组胺药或抗胆碱药合用,药效相互加强;与雌激素或含雌激素的避孕药合用,可增加本品的不良反应;与肾上腺素受体激动药合用,可引起严重高血压与高热;与甲状腺抑制剂合用,可互相增效,导致心律失常;与单胺氧化酶合用,有发生高血压的危险。

使用本品的治疗初期可能出现失眠与抗胆碱能反应,如多汗、口干、震颤、眩晕、心动过速、视物模糊、排尿困难、便秘或麻痹性肠梗阻等。大剂量可发生心脏传导阻滞、心律失常、焦虑等。其他有皮疹,体位性低血压。偶见癫痫发作和骨髓抑制或中毒性肝损害。

图2-13 丙咪嗪的降解过程

本品口服吸收好,生物利用度为29%~77%,蛋白结合率76%~95%,半衰期(t1/2)为9~24小时,分布容积(Vd)为15~30L/kg。主要在肝脏代谢,活性代谢产物为去甲丙咪嗪。自肾脏排泄,可分泌人乳汁,老年病人对本品的代谢与排泄能力下降,敏感性增强,应减少用量(图2-14)。

图2-14 丙咪嗪的代谢途径

本品的制备是以亚氨基联苄为原料,经过烷基化及成盐等过程而制得。产品中的主要杂质为原料中带入的亚氨基联苄(图2-15)。

图2-15 丙咪嗪的合成路线