1
药物化学
1.6.2.2 第二节 非经典抗精神病药物
第二节 非经典抗精神病药物

非经典抗精神病药(atypical antipsychotic drugs)又称第二代抗精神病药,其发展见于近20年,该类药物的作用机制是拮抗5-羟色胺受体和多巴胺受体,但是与多巴胺受体结合后快速解离。有研究者提出假说,认为非经典抗精神病药物的非经典性就在于能否在与多巴胺受体结合后快速解离。与其他抗精神病药相比,思瑞康(Seroquel)之所以较少引起锥体外系综合征(EPS),不升高催乳素水平,原因就在于与该药与多巴胺受体结合后解离速度较快。非经典抗精神病药物化学结构具多样性,而作用靶位趋于专一性,不良反应相对减弱,在整体上能改善精神病者的认知功能,安全性和耐受性好,成为治疗精神分裂症和精神病的有效首选药物。在美国,非经典抗精神病药物的处方量约占精神分裂症总处方量的95%,德国和法国约为70%。在日本、新加坡、中国大陆和中国香港进行的统计发现,在单药治疗的患者中,使用经典和非经典药物的患者比例相当。在非经典药物中,中国大陆最常用的药物为氯氮平,香港为奥氮平,但人们目前已越来越多地注意到氯氮平和奥氮平对心血管系统的危害,处方时越来越慎重,不良反应较少的思瑞康处方量正在逐渐升高。

非经典抗精神病药的进展与作用特点主要体现在以下几方面。

(1)非典型抗精神病药与多巴胺D2受体的亲和力相对较低,而与其他神经受体的亲和力相对较高。决定非经典抗精神病药作用的药理学特征是阻断D2/5-羟色胺2α亚型(5-HT)受体比例较低。

(2)非经典抗精神病药的作用还具有一定程度的解剖学区域性,能够改变边缘系统和额叶皮质的神经化学活动,而对纹状体的作用非常小。迄今为止,所有有效的抗精神病药都与D2受体有一定程度的亲和力,尚未发现与D2受体无亲和力的抗精神病药。

(3)非经典抗精神病药的化学结构具多样性,其疗效与药理学特征有关。近期研究表明,非经典抗精神病药在产生临床疗效与发生锥体外综合征(EPS)之间具有较大剂量空间。奥氮平、喹硫平与氯氮平作用类似;利培酮、舍吲哚、齐拉西酮与氯氮平作用有所不同;而氨磺必利既不同于其他第二代药,也不同于第一代药。因此,第二代药可能具有不同的作用机制。

(4)非经典抗精神病药的安全性好,且产生EPS的危险性较小,极少有导致迟发性运动障碍的倾向(甚至对先前存在的迟发性运动障碍有所帮助),其耐受性总体上也较第一代好。可作为治疗精神分裂症的一线药,且在患者初次发病时首选。

(5)研究显示,非经典抗精神病药能改善患者认知功能,改善情感症状,尤其是抑郁症状。由于精神分裂症者的抑郁和自杀发生率较高,此项作用显得很重要。

(6)非经典抗精神病药具有较少的镇静作用且较少抑制精神运动性行为,但对急性起病、有攻击性的患者疗效欠佳。

第一个被发现的非经典抗精神病药物是氯氮平(Clozapine),于1989年被批准上市。1994年利培酮(Risperidone)的使用标志着非经典抗精神病药物的使用向前进了一步。之后,奥氮平(Olanzapine)和喹硫平(Quetiapine)也投入使用。舍吲哚(Sertindole)和齐拉西酮(Ziprasidone)的也应用于临床。

氯氮平具有广谱的抗精神病作用。其机制可能是阻断边缘系统中的多巴胺受体,而对纹状体中的多巴胺受体影响很小,因而保留了地西泮的作用,且仅有极少EPS和高泌乳素血症。近期研究更显示其对难治性精神分裂症的疗效优于第一代抗精神病药物。除对阳性症状有疗效外,对阴性症状、特殊认知缺陷、自杀行为也疗效明确,且能有效改善迟发性运动障碍、迟发性肌张力障碍和难治性双相情感障碍。氯氮平的优点在于对神经中枢黑质纹状体多巴胺受体的阻断程度小于第一代抗精神病药物。然而氯氮平具有血液毒性,可导致白细胞减少和粒细胞缺乏症,使其应用受到限制,精神科医生也不推荐其作为一线药。

利培酮是苯并异噁唑类衍生物,为氟哌啶醇与利色林的化学结构组合而成,于1996年上市。利培酮的致EPS作用介于氯氮平和第一代抗精神病药物之间,与剂量相关。利培酮还可减少老年痴呆者中迟发性运动障碍的发生率。利培酮合并氯硝西泮治疗精神分裂症急性期中度兴奋的效果与氟哌啶醇(肌内注射)及氯氮平的效果相当,但不良反应少,可作为精神分裂症急性兴奋治疗的首选药。利培酮有助于改善抑郁症状,也可以改善某些特殊的认知症状。经利培酮治疗的精神分裂症患者更易接受社会心理治疗。

奥氮平是苯二氮䓬类化合物,其化学结构与药理特征与氯氮平都很相似,但不引起粒细胞缺乏症。一项在2000例精神分裂症和分裂情感障碍患者中进行的为期6周的多中心研究显示,奥氮平组(10~15mg/日)的简明精神病评定量表(BPRS)及PANSS评分显著优于氟哌啶醇组;对阴性症状和抑郁症状的改善也优于氟哌啶醇。但对难治性精神分裂症疗效不佳。与其他二代抗精神病药物相比,奥氮平可致显著体重增加。美国FDA药物指南认为,本品可使体重较基线值增加7%。奥氮平所致高泌乳素血症的不良反应低于利培酮;除了静坐不能外,其他EPS均少于安慰剂组;迟发性运动障碍的发生率显著低于氟哌啶醇。奥氮平在一些国家被定为治疗急性双相躁狂的法定药。另外对痴呆者的行为异常也有效。

喹硫平与5-HT2、D1和D2受体有亲和力,与毒蕈碱样胆碱受体无亲和力。与其他第二代抗精神病药物相比,对阳性症状的控制更好,对住院精神分裂症急性恶化者的敌对、激越有效,但对阴性症状疗效较差。喹硫平在耐受性上更具优势,有良好的耐受性,平均日剂量为600mg/日,不会导致持续性高泌乳素血症,较少致迟发性运动障碍,EPS发生率低于安慰剂。本品也可引起血糖增高和体重增加,但程度较氯氮平和奥氮平轻。治疗早期可致一过性肝酶升高、眩晕和体位性低血压,因而治疗初始剂量需小。对老年精神障碍、帕金森病者和药物诱发的精神障碍者,喹硫平具有更多的优点。但喹硫平在剂量上的个体差异较大。

舍吲哚的剂量研究显示,16~24mg/日(相当于10mg/日的氟哌啶醇)的疗效显著优于8mg/日,且能有效对抗阴性症状。长期研究显示,使用本品治疗的再住院率显著低于应用氟哌啶醇者。其罕见不良反应为勃起功能障碍,可能由较强的抗肾上腺素能作用所致。偶可致体重增加和心电图Q-T间期延长,其中QT延长较其他第二代抗精神病药物更为常见,程度也较重,因而在美国暂缓上市,而在欧洲则继续应用。

齐拉西酮为5-HT2A受体和D2受体阻断剂,能有效改善阴、阳性症状,尤其对阴性症状的效果更好。不良反应尤其是锥体外系反应大为减轻。最新研究显示,齐拉西酮尚可改善患者的健康状况。与其他第二代药相比,较少导致体重增加、血糖升高、2型糖尿病和血脂升高,迄今也未见有关帕金森病不良反应的报道,同时尚可用于帕金森病者的精神病的治疗。

氯氮平(Clozapine)

化学名为8-氯-11-(4-甲基-1-哌嗪基)-5H-二苯并[b,e][1,4]二氮杂䓬;8-chloro-11-(4-methyl-1-piperazinyl)-5H-dibenzo[b,e][1,4]diazepine。又名氯扎平。

本品为淡黄色结晶性粉末。在三氯甲烷中易溶,在乙醇中溶解,在水中几乎不溶。无臭无味。mp.181~185℃,pKa(HB+)为8.0。

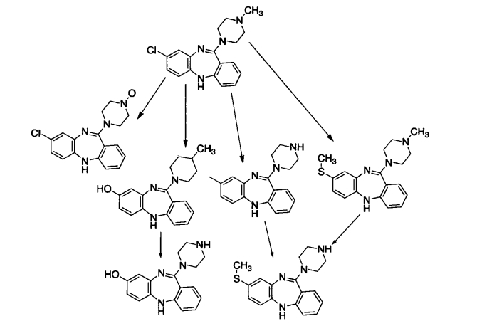
氯氮平口服吸收快而完全,食物对其吸收速率和程度无影响,吸收后迅速广泛分布到各组织,生物利用度个体差异较大,平均约50%~60%,有肝脏首过效应。服药后3.2小时达血浆峰浓度,消除半衰期平均9小时(3.6~14.3小时),表观分布容积(Vd)4.04~13.78L/kg,组织结合率高。本品经肝脏代谢,80%以代谢物形式出现在尿和粪中,主要代谢产物有N-去甲基氯氮平、氯氮平的N-氧化物等。在同等剂量与体重一定的情况下,女性病人的血清药物浓度明显高于男性病人,吸烟可加速本品的代谢,肾清除率及代谢在老年人中明显减低。本品可从乳汁中分泌且可通过血脑屏障(图2-12)。

图2-11 氯氮平的代谢途径

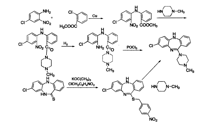
氯氮平的合成方法主要是以4-氯-2-硝基苯胺为原料,也可以8-氯-11-硫代-10,11-二氢-5H-二苯并[b,e]-1,4-二氮杂䓬为原料得到目的产物(图2-12)。

本品不仅对精神病阳性症状有效,对阴性症状也有一定效果。适用于急性与慢性精神分裂症的各个亚型,对幻觉妄想型、青春型效果好。也可以减轻与精神分裂症有关的情感症状(如抑郁、负罪感、焦虑)。对一些用传统抗精神病药治疗无效或疗效不好的病人,改用本品可能有效。本品也用于治疗躁狂症或其他精神病性障碍的兴奋躁动和幻觉妄想。因导致粒细胞减少症,一般不宜作为首选药。

图2-12 氯氮平的合成路线

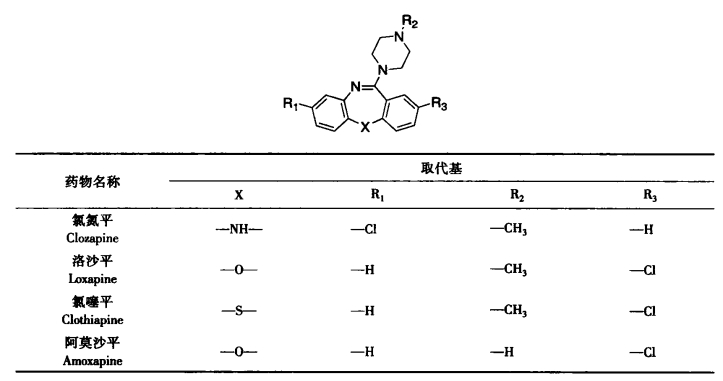
氯氮平作为非经典抗精神病药受到了人们的广泛关注,对此已经做了大量的结构改造研究,主要集中在氯氮平的2,5,8位的取代,由此得到一系列的二苯并氮杂䓬类抗精神病药,见表2-6。

表2-6 二苯并氮杂䓬类抗精神病药