1
药物化学
1.6.1.3.4 四、二苯并氮杂䓬类
四、二苯并氮杂䓬类

二苯并氮杂䓬类(Dibenzoazepines)中的卡马西平(Carbamazepine,CBZ,酰胺咪嗪)是该类药物中第一个上市的药物。最初用于治疗三叉神经痛,它的化学结构与三环类的抗抑郁药有相似性,后来发现有很强的抗癫痫作用。主要用于苯妥英钠等其他药物难以控制的癫痫大发作、复杂的部分性发作或其他全身性发作。

卡马西平的10-酮基衍生物是奥卡西平(Oxcarbazepine),可以阻断脑内电压依赖性的钠通道,也有很强的抗癫痫活性。

卡马西平(Carbamazepine)

化学名为5H-二苯并[b,f]氮䓬-5-甲酰胺;5H-dibenzo[b,f]azepine-5-carboxamide。本品为白色或类白色结晶性粉末,mp.189~193℃。易溶于三氯甲烷,在乙醇中微溶,几乎不溶于水和乙醚。

本品在干燥状态及室温下较稳定。片剂在潮湿环境中可生成二水合物使片剂硬化,导致溶解和吸收差,使药效降至原来的1/3。长时间光照,固体表面由白色变橙黄色,部分环化形成二聚体和氧化成10,11-环氧化物。故本品需避光密闭保存。

本品的作用机制是对外周苯二氮䓬受体有激活作用,阻断Na+通道而产生抗癫痫作用。本品对精神运动性发作最有效,对大发作、局限性发作和混合型癫痫也有效。

卡马西平是由两个苯环与七元氮杂环并合而成的二苯并氮杂䓬类化合物。三个环通过烯键相连形成共轭体系。

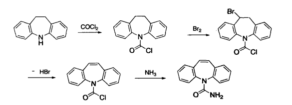
卡马西平的合成有两条路线,其中一条以5H-10,11-二氢二苯并[b,f]氮䓬为原料,用光气进行5位氯甲酰化,用溴对10位溴代,再脱溴化氢形成双键,最后用氨水胺化得到卡马西平。本路线的最大缺点是需要使用会造成窒息的剧毒光气。路线1:

另一条路线是以5H-二苯并[b,f]氮䓬为原料,在氰酸钠和乙酸的作用下直接反应得到。氰酸钠是无毒的盐,工业生成比较安全。

路线2:

卡马西平在肝脏内代谢,生成有抗癫痫活性的10,11-环氧卡马西平(Carbamazepine 10,11-epoxide),但此活性代谢产物有一定的副作用和毒性。最终代谢生成没有活性的10,11-二羟基卡马西平(图1-12)。

图1-12 卡马西平在肝脏的代谢过程

奥卡西平(Oxcarbazepine),又称氧代卡马西平,是卡马西平的10-酮基衍生物,它的理化性质、药理作用与卡马西平相同,但易从胃肠道吸收,临床用途同卡马西平。在体内几乎全部还原代谢成10,11-二氢-10羟基卡马西平(10,11-dihydro-10-hydroxy-Carbamazepine)(图1-12),该代谢物具有很强的抗癫痫作用,而且血浆浓度高,半衰期可达9个小时。由于奥卡西平不代谢成10,11-环氧物,所以副作用和不良反应低,毒性小。