1
药物化学
1.6.1.1.1 一、苯二氮䓬类药物的发展
一、苯二氮䓬类药物的发展

1,4-苯二氮䓬类药物是属于偶然发现的新镇静催眠药物。20世纪50年代,当时的研究生Stembach设计了苯并庚噁二嗪为催眠类化合物。但合成路线没有打通,多次合成实验反应仅得到六元环的拼合物喹唑啉N-氧化物,对其进行药理活性测定,没有预想的安定作用。两年后他在清洗当时做药理实验的药物容器时,发现瓶中析出一些白色结晶,Stembach没有当废物丢弃,而是重新测定了活性。发现这种结晶有很好的安定作用,经结构测定,确定是七环的拼合产物,这就是氯氮革(Chlordiazepoxide,利眠宁,Librium)。他推测这种结构变化是喹唑啉N-氧化物在放置中经历了分子内亲核反应并扩环的过程,于是开发了新的一类1,4-苯二氮革类的镇静催眠药物。

进一步的研究发现,氯氮䓬分子中的脒基及氮上的氧并非生理活性所必需,于是制得同型物地西泮(Diazepam,安定),作用较氯氮䓬强,不仅能治疗神经官能症如紧张、焦虑和失眠,也是控制癫痫持续状态的较好药物。

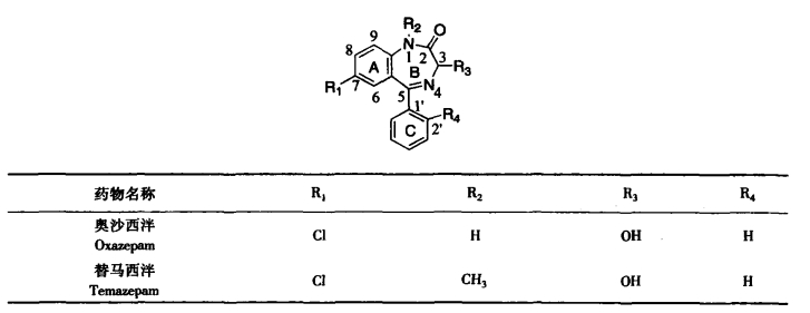
在对地西泮的代谢研究中发现,其代谢产物奥沙西泮(Oxazepam,去甲羟安定)和替马西泮(Temazepam,羟安定)具有很好的镇静催眠活性,而且毒副作用较小,从而开发为临床上使用的药物。

通过对该类药物的构效关系研究,合成许多同型物和类似物,得到一系列临床用药,如硝西泮(Nitrazepam)、氯硝西泮(Clonazepam)、氟西泮(Flurazepam)、氟地西泮(Fludiazepam)、氟托西泮(Flutoprazepam)等。表1-1中列出了部分苯二氮䓬类药物的结构。

表1-1 1,4-苯二氮䓬类镇静催眠药的结构

续表

在苯二氮䓬环1,2位并合三氮唑,可增加化合物的稳定性,提高与受体的亲和力,从而生物活性明显增加。如艾司唑仑(Estazolam)、阿普唑仑(Alprazolam)和三唑仑(Triazolam)等,已成为临床常用的有效的镇静、催眠和抗焦虑药。

在1,2位并合咪唑环,如咪达唑仑(Midazolam)作用强度与安定相似,但起效快,作用时间短。由于其碱性较强,其盐可形成稳定水溶液,制成注射剂可用于抗惊厥、诱导麻醉和麻醉前给药。

在4,5位并入四氢噁唑环获得前体药物,在体内可代谢除去含氧环得原药,由此可避免4,5位的开环代谢。这类药物包括镇静催眠药卤噁唑仑(Haloxazolam),及抗焦虑药噁唑仑(Oxazolam)、美沙唑仑(Mexazolam)等,其中含氧环可在代谢过程中除去。

将苯二氮䓬的苯核由噻唑置换,仍保留苯二氮䓬类的安定作用,如依替唑仑(Etizolam)和溴替唑仑(Brotizolam)。前者主要作为抗焦虑药而后者用作镇静催眠药。

将苯二氮革类2位氧由硫取代,1位氮上引入—CH2CF3可得夸西泮(Quazepam),其半衰期为41小时,是长效的抗焦虑、镇静催眠药,同时可抗惊厥、抗癫痫及具有中枢性肌松作用。其体内代谢产物α-氧夸西泮和N-脱烷基-α-氧夸西泮仍有活性。