1
道路工程
1.9.1.7.1 一、环形交叉口设计的主要内容
一、环形交叉口设计的主要内容

(一)中心岛的形状

环形交叉口的组成如图9-32所示。

图9-32 环形交叉口的组成

中心岛的形状应根据交通流的特性、相交道路的等级和地形地物等条件确定。原则上应保证车辆能以一定速度顺利完成交织运行,有利于主要道路方向车辆行驶方便,应满足交叉所在地的地形、地物和用地条件的限制。

中心岛的形状一般多用圆形,有时也可用圆角方形和菱形;主次道路相交时宜采用椭圆形;交角不等的畸形交叉可采用复合曲线形。此外,结合地形、地物和交角等也可采用其他规则或不规则几何形状的中心岛。

(二)中心岛的半径

中心岛的半径首先应满足计算行车速度的要求,然后按相交道路的条数和宽度,验算相邻道口之间的距离是否符合车辆交织行驶的要求。下面以圆心岛为例,介绍中心岛半径的计算方法。

1.按计算行车速度的要求

按计算行车速度要求的中心岛半径R仍然用平曲线半径计算公式,但绕岛车辆是在紧靠中心岛、宽度为b的车道中间行驶,距中心岛边缘b/2,故实际采用的中心岛半径按式(9-24)计算:

式中 R——中心岛半径,m;

   b——紧靠中心岛的车道宽度,m;

   μ——横向力系数;建议大客车μ=0.10~0.15,小客车μ=0.15~0.20;

   ih——环岛横坡度,%;一般采用1.5%;

   v——环岛计算行车速度,km/h;国外一般采用路段计算行车速度的0.7倍;我国实测资料:公共汽车为0.5倍,载重车0.6倍,小客车0.65倍,供参考。

2.按交织段长度要求

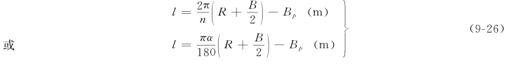
所谓交织就是两条车流汇合交换位置后又分离的过程。进环和出环的两辆车,在环道行驶时相互交织,交换一次车道位置所行驶的距离,称为交织长度。交织长度的大小主要取决于车辆在环道上行驶的速度。当相邻路口之间有足够的距离,使进环和出环的车辆在环道上均可在合适的机会相互交织连续行驶,则该段距离称为交织段长度。其位置大致可取相邻道路机动车道外侧边缘延长线与环道中心线交叉点之间的弧长,如图9-33所示。

图9-33 交织段长度

表9-16 最小交织段长度

中心岛半径必须满足两个路口之间最小交织段长度的要求,否则,在环道上行驶中需要相互交织的车辆,就要停车等候,不符合环形交叉连续行驶的交通特征。环道上不同车速所需要的最小交织段长度见表9-16。

按交织段长度所要求的中心岛半径Rd,近似地按交织段长度所围成的圆周大小来推导,计算公式为

式中 n——相交道路的条数;

   l——相邻路口之间的交织段长度,m;

   B——环道长度,m;

   Bp——相交道路的平均路宽,m;中心岛为圆形,交汇道路为十字正交时,Bp=(B1+B2)/2,其中B1和B2分别为相邻车行道宽度。

由式(9-25)可知,交叉口相交的道路条数越多,为保证最小交织段长度的要求,则中心岛的半径就越大,这将会大大增加交叉口的道路用地面积和车辆在环道上的绕行距离,这样既不经济也不合理。因此,环形交叉口的相交道路以不多于六条为宜。

对四路相交的环形交叉口,以可用式(9-24)和式(9-25)分别计算中心岛半径,然后选取较大者。对中心线夹角差别较大或多路交叉口,也可以先按(9-24)确定中心岛的半径R,然后再按下式验算其交织长度是否符合要求:

式中 α——相交道路中心线的夹角,(°),当夹角不等时用最小夹角验算。

当用公式计算的值大于最小交织段长度时,符合要求;否则,增大R重新验算,直至符合要求为止。根据实践经验,中心岛最小半径见表9-17,可供参考。

表9-17 中心岛最小半径