-
1.1土木工程新技术丛书
-
1.2总 序
-
1.3前 言
-
1.4目录
-
1.5第一篇 道路工程规划
-
1.5.1第一章 交通与道路规划
-
1.5.1.1第一节 交通运输体系
-
1.5.1.1.1一、各类交通运输方式的特点
-
1.5.1.1.2二、各种运输方式技术经济特性比较
-
1.5.1.2第二节 道路与道路工程
-
1.5.1.2.1一、道路的特点及功能
-
1.5.1.2.2二、道路的组成
-
1.5.1.2.3三、道路工程体系的组成
-
1.5.1.3第三节 交通与道路规划
-
1.5.1.3.1一、交通与道路规划的目的、内容与程序
-
1.5.1.3.2二、交通与道路规划的调查工作
-
1.5.1.3.3三、交通与道路规划的预测工作
-
1.5.1.3.4四、交通与道路网规划方案
-
1.5.1.3.5五、交通与道路规划的评估与效益分析
-
1.5.1.4第四节 道路工程的发展概况
-
1.5.1.4.1一、道路工程的发展概况
-
1.5.1.4.2二、道路工程的发展趋势
-
1.5.1.4.3三、我国道路工程的发展规划
-
1.5.1.5第五节 车辆与车速
-
1.5.1.5.1一、机动车与非机动车设计车辆
-
1.5.1.5.2二、行车速度
-
1.5.1.6第六节 交通量与通行能力
-
1.5.1.6.1一、交通量
-
1.5.1.6.2二、通行能力
-
1.5.1.7第七节 道路的分类分级与技术标准
-
1.5.1.7.1一、道路的分类
-
1.5.1.7.2二、公路与城市道路的分级
-
1.6第二篇 道路工程材料
-
1.6.1第二章 道路建筑材料
-
1.6.1.1第一节 概 述
-
1.6.1.1.1一、道路建筑材料在道路结构物中的作用及其应具备的性质
-
1.6.1.1.2二、材料性能检验工作的重要性及一般方法
-
1.6.1.1.3三、道路建筑材料质量的标准化和国家标准与技术规范
-
1.6.1.1.4四、道路建筑材料及其分类
-
1.6.1.2第二节 路用土石材料
-
1.6.1.2.1一、路用土石材料的工程分类
-
1.6.1.2.2二、路用土石材料的工程性质
-
1.6.1.3第三节 路用基垫层材料
-
1.6.1.3.1一、砂石材料
-
1.6.1.3.2二、无机结合料
-
1.6.1.3.3三、路用工业废渣
-
1.6.1.4第四节 沥青与沥青混合料
-
1.6.1.4.1一、沥青材料
-
1.6.1.4.2二、沥青混合料
-
1.6.1.5第五节 路用水泥混凝土
-
1.6.1.5.1一、普通水泥混凝土
-
1.6.1.5.2二、纤维增强混凝土
-
1.6.1.5.3三、碾压式水泥混凝土
-
1.7第三篇 道路线形设计
-
1.7.1第三章 横断面设计
-
1.7.1.1第一节 道路横断面组成
-
1.7.1.1.1一、公路横断面组成
-
1.7.1.1.2二、城市道路横断面组成
-
1.7.1.2第二节 行车道宽度
-
1.7.1.2.1一、行车道宽度的确定
-
1.7.1.2.2二、平曲线加宽及其过渡
-
1.7.1.3第三节 路肩、中间带与人行道
-
1.7.1.3.1一、路肩的作用及其宽度
-
1.7.1.3.2二、分隔带的作用及其宽度
-
1.7.1.3.3三、城市道路路侧带的组成及其宽度
-
1.7.1.3.4四、路缘石
-
1.7.1.4第四节 道路路拱、边沟、边坡
-
1.7.1.4.1一、道路路拱
-
1.7.1.4.2二、曲线超高
-
1.7.1.4.3三、边沟
-
1.7.1.4.4四、边坡坡度
-
1.7.1.5第五节 道路建筑限界与道路用地
-
1.7.1.5.1一、道路建筑限界
-
1.7.1.5.2二、道路用地
-
1.7.1.6第六节 横断面设计方法
-
1.7.1.6.1一、公路横断面
-
1.7.1.6.2二、城市道路横断面设计
-
1.7.1.7第七节 路基土石方数量计算及调配
-
1.7.1.7.1一、横断面面积的计算
-
1.7.1.7.2二、土石方数量计算
-
1.7.1.7.3三、路基土石方调配
-
1.7.2第四章 平面设计
-
1.7.2.1第一节 概 述
-
1.7.2.1.1一、路线
-
1.7.2.1.2二、平面线形设计的基本要求
-
1.7.2.2第二节 直线
-
1.7.2.2.1一、直线的特点
-
1.7.2.2.2二、设计标准
-
1.7.2.2.3三、直线的运用
-
1.7.2.3第三节 圆曲线
-
1.7.2.3.1一、圆曲线公式推导
-
1.7.2.3.2二、圆曲线半径
-
1.7.2.4第四节 缓和曲线
-
1.7.2.4.1一、缓和曲线的作用和性质
-
1.7.2.4.2二、回旋线作为缓和曲线
-
1.7.2.4.3三、缓和曲线的长度及参数
-
1.7.2.5第五节 平面线形设计
-
1.7.2.5.1一、平面线形设计一般原则
-
1.7.2.5.2二、平面线形的组合类型
-
1.7.2.6第六节 行车视距
-
1.7.2.6.1一、停车视距
-
1.7.2.6.2二、超车视距
-
1.7.2.6.3三、会车视距
-
1.7.2.6.4四、各级公路对视距的要求
-
1.7.2.6.5五、平面视距的保证
-
1.7.2.7第七节 道路平面设计成果
-
1.7.2.7.1一、直线、曲线及转角表
-
1.7.2.7.2二、路线平面设计图
-
1.7.2.7.3三、其他成果
-
1.7.2.7.4四、城市道路平面设计图
-
1.7.3第五章 纵断面设计
-
1.7.3.1第一节 纵断面及设计标高
-
1.7.3.1.1一、纵断面
-
1.7.3.1.2二、路基设计标高
-
1.7.3.2第二节 纵坡及坡长设计
-
1.7.3.2.1一、纵坡设计的一般要求
-
1.7.3.2.2二、最大纵坡
-
1.7.3.2.3三、最小纵坡
-
1.7.3.2.4四、桥上及桥头路线的纵坡
-
1.7.3.2.5五、隧道纵坡
-
1.7.3.2.6六、合成坡度
-
1.7.3.2.7七、缓和坡段
-
1.7.3.2.8八、平均纵坡
-
1.7.3.2.9九、坡长限制
-
1.7.3.3第三节 竖曲线
-
1.7.3.3.1一、竖曲线要素的计算公式
-
1.7.3.3.2二、竖曲线的最小半径
-
1.7.3.4第四节 爬坡车道
-
1.7.3.4.1一、设置爬坡车道的条件
-
1.7.3.4.2二、爬坡车道的设计
-
1.7.3.5第五节 平、纵组合设计
-
1.7.3.5.1一、概述
-
1.7.3.5.2二、平、纵组合设计
-
1.7.3.5.3三、直线与纵断面的组合
-
1.7.3.5.4四、平、纵线形组合与景观的协调配合
-
1.7.3.6第六节 纵断面设计方法及纵断面图
-
1.7.3.6.1一、纵断面设计要点
-
1.7.3.6.2二、纵断面设计方法步骤及注意问题
-
1.7.3.6.3三、纵断面图的绘制
-
1.7.3.7第七节 桥梁隧道的线形
-
1.7.3.7.1一、桥位与线形
-
1.7.3.7.2二、桥、隧道的纵断面线形
-
1.7.3.8第八节 城市道路纵断面设计要求及锯齿形街沟设计
-
1.7.3.8.1一、城市道路纵断面设计要求
-
1.7.3.8.2二、锯齿形街沟设计
-
1.8第四篇 道路工程结构
-
1.8.1第六章 路基路面工程概述
-
1.8.1.1第一节 路基路面的作用及基本要求
-
1.8.1.1.1一、对路基的基本要求
-
1.8.1.1.2二、路面的作用及基本要求
-
1.8.1.2第二节 路基路面的结构
-
1.8.1.2.1一、路基结构
-
1.8.1.2.2二、路面结构
-
1.8.1.3第三节 路面的分级与分类
-
1.8.1.3.1一、路面的分级
-
1.8.1.3.2二、路面分类
-
1.8.1.4第四节 影响路基路面稳定的因素与公路自然区划
-
1.8.1.4.1一、影响路基路面稳定的因素
-
1.8.1.4.2二、公路自然区划
-
1.8.1.5第五节 路基湿度状况及干湿类型
-
1.8.1.5.1一、路基湿度的来源
-
1.8.1.5.2二、路基干湿类型和填土高度
-
1.8.1.6第六节 行车荷载分析
-
1.8.1.6.1一、车辆的种类与轴型
-
1.8.1.6.2二、汽车荷载作用力
-
1.8.1.6.3三、交通分析
-
1.8.1.7第七节 环境因素对路基路面体系的影响
-
1.8.1.7.1一、季节性冰冻地区路基的水温状况
-
1.8.1.7.2二、自然环境对路面结构的影响
-
1.8.1.8第八节 路基路面工程的特点及内容
-
1.8.1.8.1一、工程特点
-
1.8.1.8.2二、设计与建筑的内容
-
1.8.2第七章 道路路基
-
1.8.2.1第一节 路基的病害防治与受力强度
-
1.8.2.1.1一、路基的主要病害
-
1.8.2.1.2二、路基病害防治
-
1.8.2.1.3三、路基的受力
-
1.8.2.1.4四、路基工作区
-
1.8.2.1.5五、路基土的应力—应变特性
-
1.8.2.1.6六、重复荷载对路基土的影响
-
1.8.2.1.7七、路基的强度
-
1.8.2.2第二节 一般路基设计
-
1.8.2.2.1一、路基横断面
-
1.8.2.2.2二、路基的基本构造
-
1.8.2.2.3三、路基工程附属设施
-
1.8.2.3第三节 路基排水设计
-
1.8.2.3.1一、排水系统设计
-
1.8.2.3.2二、地面排水设施
-
1.8.2.3.3三、地下排水设施
-
1.8.2.3.4四、明渠水力计算
-
1.8.2.4第四节 路基稳定性设计
-
1.8.2.4.1一、概述
-
1.8.2.4.2二、边坡稳定性验算
-
1.8.2.4.3三、浸水路堤边坡稳定性验算
-
1.8.2.5第五节 路基的防护与加固
-
1.8.2.5.1一、坡面防护
-
1.8.2.5.2二、堤岸防护
-
1.8.2.5.3三、软土地基加固方法
-
1.8.2.6第六节 挡土墙设计
-
1.8.2.6.1一、挡土墙的种类与构造
-
1.8.2.6.2二、挡土墙的施工图设计
-
1.8.2.6.3三、挡土墙土压力计算
-
1.8.2.6.4四、挡土墙稳定性验算
-
1.8.2.7第七节 路基修筑
-
1.8.2.7.1一、路基施工的准备工作及基本方法
-
1.8.2.7.2二、土质路基施工方法
-
1.8.2.7.3三、土基压实
-
1.8.2.7.4四、石方路基建筑
-
1.8.3第八章 道路路面
-
1.8.3.1第一节 路面基(垫)层
-
1.8.3.1.1一、碎(砾)石类基垫层
-
1.8.3.1.2二、结合料稳定类基(垫)层
-
1.8.3.2第二节 沥青路面
-
1.8.3.2.1一、沥青路面的特点与类型
-
1.8.3.2.2二、沥青路面材料的力学特性与温度稳定性
-
1.8.3.2.3三、沥青混合料的组成设计
-
1.8.3.2.4四、沥青路面的施工
-
1.8.3.2.5五、沥青路面质量控制
-
1.8.3.3第三节 水泥混凝土路面
-
1.8.3.3.1一、水泥混凝土路面构造
-
1.8.3.3.2二、水泥混凝土路面施工工艺
-
1.8.3.4第四节 沥青类(柔性)路面设计方法
-
1.8.3.4.1一、绪论
-
1.8.3.4.2二、柔性路面的力学特性与计算理论
-
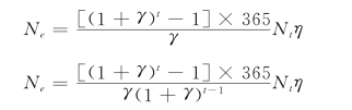
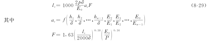
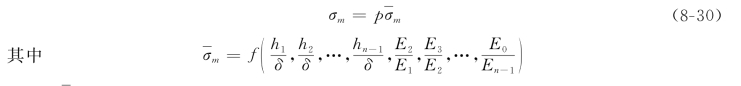
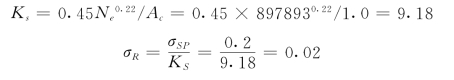
1.8.3.4.3三、公路沥青路面结构组合设计
-
1.8.3.4.4四、公路沥青路面设计方法
-
1.8.3.4.5五、改建路面设计(柔性路面补强设计)
-
1.8.3.4.6六、柔性路面设计程序使用说明
-
1.8.3.5第五节 刚性路面设计方法
-
1.8.3.5.1一、水泥混凝土路面的力学特性与计算理论
-
1.8.3.5.2二、水泥混凝土路面结构构造与组合设计
-
1.8.3.5.3三、普通水泥混凝土路面设计
-
1.8.3.6第六节 路面的养修与管理
-
1.8.3.6.1一、路面管理系统
-
1.8.3.6.2二、路面的调查与评定
-
1.8.3.6.3三、沥青路面的病害与防治
-
1.8.3.6.4四、水泥混凝土路面病害与养修
-
1.9第五篇 交叉设计
-
1.9.1第九章 道路平面交叉设计
-
1.9.1.1第一节 交叉口交通分析和设计原则
-
1.9.1.1.1一、交叉口设计的内容
-
1.9.1.1.2二、交叉口的交通分析
-
1.9.1.1.3三、交叉口设计原则
-
1.9.1.2第二节 交叉口的型式和选择
-
1.9.1.2.1一、交叉口的型式和适用范围
-
1.9.1.2.2二、交叉口型式的选择和改建
-
1.9.1.2.3三、交叉口的计算行车速度
-
1.9.1.3第三节 交叉口的交通组织设计
-
1.9.1.3.1一、车辆交通组织设计方法
-
1.9.1.3.2二、行人及非机动车交通组织
-
1.9.1.4第四节 交叉口的车道数和通行能力
-
1.9.1.4.1一、交叉口的车道数
-
1.9.1.4.2二、交叉口的通行能力
-
1.9.1.5第五节 交叉口的视距与圆曲线半径
-
1.9.1.5.1一、交叉口的视距
-
1.9.1.5.2二、交叉口的圆曲线半径
-
1.9.1.6第六节 交叉口的拓宽设计
-
1.9.1.6.1一、设置条件
-
1.9.1.6.2二、设置方法
-
1.9.1.6.3三、拓宽车道的长度
-
1.9.1.7第七节 环形交叉口设计
-
1.9.1.7.1一、环形交叉口设计的主要内容
-
1.9.1.7.2二、环道的宽度
-
1.9.1.7.3三、交织角
-
1.9.1.7.4四、环岛外缘线形及进出口半径
-
1.9.1.7.5五、环道的横断面
-
1.9.1.7.6六、环形交叉口的通行能力
-
1.9.1.8第八节 平面交叉口的立面设计
-
1.9.1.8.1一、概述
-
1.9.1.8.2二、交叉口立面设计的几种基本形式
-
1.9.1.8.3三、交叉口立面设计的步骤和方法
-
1.9.2第十章 立体交叉设计
-
1.9.2.1第一节 立体交叉概述
-
1.9.2.1.1一、立体交叉的设置条件
-
1.9.2.1.2二、立体交叉的组成
-
1.9.2.1.3三、公路立交与城市立交的主要区别
-
1.9.2.2第二节 立体交叉的类型和适用条件
-
1.9.2.2.1一、上跨式和下穿式
-
1.9.2.2.2二、分离式立体交叉
-
1.9.2.2.3三、互通式立体交叉
-
1.9.2.3第三节 立体交叉的形式选择
-
1.9.2.3.1一、影响立交形式选择的因素
-
1.9.2.3.2二、互通式立体交叉间距
-
1.9.2.3.3三、立交形式选择的基本原则
-
1.9.2.3.4四、立交形式选择的步骤和要点
-
1.9.2.3.5五、立交设计资料和设计步骤
-
1.9.2.4第四节 立体交叉设计
-
1.9.2.4.1一、立交的等级
-
1.9.2.4.2二、计算行车速度
-
1.9.2.4.3三、设计交通量
-
1.9.2.4.4四、立体交叉的通行能力
-
1.9.2.4.5五、横断面设计
-
1.9.2.4.6六、立体交叉的纵断面设计
-
1.9.2.4.7七、匝道设计
-
1.9.2.4.8八、匝道端部的设计
-
1.9.2.4.9九、变速车道设计
-
1.9.2.4.10十、辅助车道
-
1.9.2.4.11十一、立交辅助设施设计要点
-
1.9.3第十一章 高架道路设计
-
1.9.3.1第一节 高架道路的设置条件和原则
-
1.9.3.1.1一、设置条件
-
1.9.3.1.2二、选线原则
-
1.9.3.1.3三、高架道路的出入口的设置原则
-
1.9.3.2第二节 高架道路的设计
-
1.9.3.2.1一、计算行车速度
-
1.9.3.2.2二、荷载标准
-
1.9.3.2.3三、建筑限界
-
1.9.3.2.4四、抗震设防标准
-
1.9.3.2.5五、线形标准
-
1.9.3.2.6六、高架道路的横断面组成
-
1.9.3.2.7七、高架道路下的交叉口设计
-
1.9.3.2.8八、高架道路的排水
-
1.9.3.2.9九、高架桥下的空间利用
-
1.10第六篇 高速公路
-
1.10.1第十二章 高速公路
-
1.10.1.1第一节 高速公路的发展概况
-
1.10.1.1.1一、高速公路的概念
-
1.10.1.1.2二、高速公路的类别
-
1.10.1.1.3三、高速公路的产生极其发展
-
1.10.1.2第二节 高速公路的功能与特点
-
1.10.1.2.1一、高速公路的功能
-
1.10.1.2.2二、高等级公路的特征
-
1.10.1.3第三节 高速公路的效益
-
1.10.1.3.1一、经济效益
-
1.10.1.3.2二、社会效益
-
1.10.1.3.3三、高速公路在国防和军事上的作用
-
1.10.1.4第四节 高速公路的技术标准
-
1.10.1.4.1一、等级
-
1.10.1.4.2二、技术标准
-
1.10.1.4.3三、设计区段
-
1.10.1.4.4四、设计水平
-
1.10.1.5第五节 高速公路的规划与选线
-
1.10.1.5.1一、高速公路的规划
-
1.10.1.5.2二、可行性研究与论证
-
1.10.1.5.3三、勘测与选线
-
1.10.1.6第六节 高速公路的设计要点
-
1.10.1.6.1一、线形
-
1.10.1.6.2二、路基工程
-
1.10.1.6.3三、路面工程
-
1.10.1.7第七节 高速公路的交叉
-
1.10.1.7.1一、立体交叉的主要组成
-
1.10.1.7.2二、立体交叉的基本类型
-
1.10.1.8第八节 高速公路沿线设施
-
1.10.1.8.1一、交通安全设施
-
1.10.1.8.2二、交通管理设施
-
1.10.1.8.3三、服务性设施
-
1.10.1.8.4四、环境美化
-
1.11参考文献
















